ГОСТы сталей. ГОСТ 23178-78
ГОСТ 23178-78
Группа В05
ГОСУДАРСТВЕННЫЙ СТАНДАРТ СОЮЗА ССР
ФЛЮСЫ ПАЯЛЬНЫЕ ВЫСОКОТЕМПЕРАТУРНЫЕ
ФТОРБОРАТНО- И БОРИДНО-ГАЛОГЕНИДНЫЕ
Технические условия
High-temperature fluoroborate and boride halogenide fluxes for soldering. Specifications
Дата введения 1980.01.01
ИНФОРМАЦИОННЫЕ ДАННЫЕ
1. УТВЕРЖДЕН И ВВЕДЕН В ДЕЙСТВИЕ Постановлением Государственного комитета СССР по стандартам от 16.07.78 N 1605
2. ССЫЛОЧНЫЕ НОРМАТИВНО-ТЕХНИЧЕСКИЕ ДОКУМЕНТЫ
Обозначение НТД, на который дана ссылка | Номер пункта, подпункта |
ГОСТ 12.0.005-84 | 2а.1, 2а.2 |
ГОСТ 12.1.007-76 | 2а.1 |
ГОСТ 12.4.021-75 | 2а.3 |
ГОСТ 12.4.010-75 | 2а.4 |
ГОСТ 12.4.045-87 | 2а.4 |
ГОСТ 12.4.050-78 | 2а.4 |
ГОСТ 12.4.131-83 | 2а.4 |
ГОСТ 12.4.164-85 | 2а.4 |
ГОСТ 22-78 | 4.3.1 |
ГОСТ 199-78 | 4.5.1 |
ГОСТ 334-73 | 4.6.1 |
ГОСТ 804-72 | 2.1 |
ГОСТ 859-78 | 2.1 |
ГОСТ 892-89 | 4.6.1 |
ГОСТ 1770-74 | 4.3.1, 4.4.1, 4.5.1, 4.6.1, 4.7.1, 4.8.1, 4.9.1 |
ГОСТ 2084-77 | 4.11.1 |
ГОСТ 2603-79 | 4.8.1 |
ГОСТ 2768-84 | 4.11.1 |
ГОСТ 3118-77 | 4.3.1, 4.4.1, 4.7.1, 4.8.1, 4.9.1 |
ГОСТ 3760-79 | 4.7.1, 4.8.1 |
ГОСТ 3773-72 | 4.8.1 |
ГОСТ 3885-73 | 3.1, 4.2.1, 5.1 |
ГОСТ 4174-77 | 4.7.1 |
ГОСТ 4204-77 | 4.3.1, 4.9.1 |
ГОСТ 4212-76 | 4.4.1, 4.6.1, 4.8.1 |
ГОСТ 4233-77 | 4.6.1 |
ГОСТ 4328-77 | 4.3.1, 4.7.1, 4.8.1, 4.9.1 |
ГОСТ 4332-76 | 4.4.1 |
ГОСТ 4461-77 | 4.7.1 |
ГОСТ 4517-87 | 4.3.1 |
ГОСТ 5457-75 | 4.6.1 |
ГОСТ 5632-72 | 4.11.1 |
ГОСТ 5845-79 | 4.8.1 |
ГОСТ 6259-75 | 4.3.1 |
ГОСТ 6563-75 | 4.4.1 |
ГОСТ 6709-72 | 4.4.1, 4.5.1, 4.6.1, 4.7.1, 4.8.1, 4.9.1 |
ГОСТ 7826-82 | 4.6.1 |
ГОСТ 8321-74 | 4.3.1 |
ГОСТ 8429-77 | 2.1 |
ГОСТ 8864-71 | 4.8.1 |
ГОСТ 9078-84 | 5.2 |
ГОСТ 9147-80 | 4.5.1, 4.6.1 |
ГОСТ 9557-87 | 5.2 |
ГОСТ 10054-82 | 4.11.1 |
ГОСТ 10398-76 | 4.7.1 |
ГОСТ 10554-74 | 4.9.1 |
ГОСТ 10652-73 | 4.7.1 |
ГОСТ 10929-76 | 4.9.1 |
ГОСТ 11070-74 | 2.1 |
ГОСТ 14192-77 | 5.1 |
ГОСТ 14261-77 | 4.6.1 |
ГОСТ 14262-78 | 4.6.1 |
ГОСТ 15527-70 | 4.11.1 |
ГОСТ 17065-77 | 5.1 |
ГОСТ 17433-80 | 4.6.1 |
ГОСТ 18300-87 | 4.3.1 |
ГОСТ 18573-86 | 5.1 |
ГОСТ 18704-78 | 2.1 |
ГОСТ 19433-88 | 5.1 |
ГОСТ 19746-74 | 4.11.1 |
ГОСТ 19738-74 | 4.11.1 |
ГОСТ 20292-74 | 4.3.1, 4.4.1, 4.6.1, 4.7.1, 4.8.1, 4.9.1, 5.1 |
ГОСТ 20848-75 | 2.1 |
ГОСТ 21650-76 | 5.2 |
ГОСТ 21929-76 | 5.2 |
ГОСТ 23904-79 | 4.11 |
ГОСТ 24104-88 | 4.3.1, 4.5.1, 4.6.1 |
ГОСТ 24363-80 | 2.1 |
ГОСТ 24597-81 | 5.2 |
ГОСТ 25336-82 | 4.3.1, 4.4.1, 4.5.1, 4.6.1, 4.7.1, 4.8.1, 4.9.1, 4.13.1 |
ГОСТ 26381-84 | 5.2 |
ГОСТ 26663-85 | 5.2 |
3. Ограничение срока действия снято Постановлением Госстандарта СССР от 07.06.89 N 1467
4. ПЕРЕИЗДАНИЕ (август 1989 г.) с Изменениями N 1, 2, 3, утвержденными в январе 1983 г., сентябре 1984 г., июне 1989 г. (ИУС 5-83, 12-84, 9-89)
Настоящий стандарт распространяется на паяльные высокотемпературные фторборатно- и боридно-галогенидные флюсы, предназначенные для пайки конструкционных и нержавеющих сталей, меди, жаропрочных и медных сплавов.
(Измененная редакция, Изм. N 2, 3).
1. МАРКИ
1. МАРКИ
1.1. Флюсы изготовляют следующих марок: ПВ200, ПВ201, ПВ209, ПВ209Х и ПВ284Х. Назначение флюсов приведено в обязательном приложении 1. Соответствие обозначений старых и новых марок флюсов приведено в обязательном приложении 2.
Флюсы марок ПВ200, ПВ201 и ПВ209 получают путем механического смешения компонентов, флюсы марок ПВ209Х и ПВ284Х - путем химического взаимодействия компонентов.
Коды ОКП приведены в обязательном приложении 3.
Примечание. В обозначении марок буквы означают: П - паяльный, В - высокотемпературный, далее цифровое обозначение марки флюса, Х - получен химическим взаимодействием.
(Измененная редакция, Изм. N 1).
2. ТЕХНИЧЕСКИЕ ТРЕБОВАНИЯ
2.1а. Флюсы паяльные должны изготовляться в соответствии с требованиями настоящего стандарта по технологическому регламенту, утвержденному в установленном порядке.
(Введен дополнительно, Изм. N 2).
2.1. Компонентный состав каждой марки флюса должен соответствовать указанному в табл.1.
Таблица 1
Марка флюса | Массовая доля вещества, % | ||||||||
Бура (Na | Калий фтористый (KF) | Кислота борная (H | Бора окись (В | Кальций фтористый (CaF | Калий тетра- фтор- | Калий гидрат окиси (KOH) | Кислота фторис- товодо- родная (HF) | Лигатура (Al-Cu-Mg) | |
ПВ200 | От 18 до 20 | - | - | От 65 | От 14 | - | - | - | - |
ПВ201 | От 11 до 13 | - | - | От 76 | От 9,5 | - | - | - | От 0,9 |
ПВ209 | - | От 41 | - | От 34 | - | От 22 | - | - | - |
ПВ209X | - | - | От 34,8 до 36,8 | - | - | - | От 27,9 до 29,9 | От 34,3 до 36,3 | - |
ПВ284X | - | - | От 29 | - | - | - | От 25 | От 43 | - |
Примечание. Бура по ГОСТ 8429-77, предварительно обезвоженная. Калий фтористый по ГОСТ 20848-75, предварительно обезвоженный. Бора окись получают прокаливанием при температуре 550 °С борной кислоты марки Б по ГОСТ 18704-78 до окиси бора или ангидрид борный гранулированный технический. Кальций фтористый марки ч. Калий тетрафторборат получают химическим взаимодействием калия гидроокиси марки ч. по ГОСТ 24363-80 или импортного, по качественным характеристикам не ниже установленных ГОСТ 24363-80, борной кислоты марки Б по ГОСТ 18704-78 или кислоты фтористоводородной технической марки А. Калия гидроокись марок ч.д.а. и ч. по ГОСТ 24363-80 или импортный, по качественным характеристикам не ниже установленных ГОСТ 24363-80. Кислота борная марки Б по ГОСТ 18704-78. Кислота фтористоводородная 30%-ная техническая марки А. Состав лигатуры Al-Cu-Mg: алюминий марки А0-48% по ГОСТ 11070-74, медь марки M1-48% по ГОСТ 859-78*, магний марки Мг95-4% по ГОСТ 804-72**. | |||||||||
______________
* На территории Российской Федерации действует ГОСТ 859-2001;
** На территории Российской Федерации днйствует ГОСТ 804-93. - Примечание изготовителя базы данных.
(Измененная редакция, Изм. N 1, 3)
2.2. Химический состав флюсов должен соответствовать указанному в табл.2.
Таблица 2
Марка флюса | Массовая доля элемента, % | ||||||||
Бор | Фтор | Калий | Натрий | Кальций | Кислород | Магний | Медь | Алюминий | |
ПВ200 | От 23,9 до 25,3 | От 6,8 | - | От 3,9 до 4,7 | От 7,2 до 8,2 | От 54,0 до 58,2 | - | - | - |
ПВ201 | От 25,8 до 27,2 | От 4,5 | - | От 2,3 до 3,1 | От 4,8 до 5,4 | От 58,1 до 61,7 | От 0,03 до 0,05 | От 0,43 до 0,53 | От 0,43 |
ПВ209 | От 12,3 до 13,3 | От 26,7 до 28,5 | От 33,5 до 36,4 | - | - | От 21,8 до 27,5 | - | - | - |
ПВ209Х | От 12,3 до 13,3 | От 26,7 до 28,5 | От 33,5 до 36,4 | - | - | От 21,8 до 27,5 | - | - | - |
ПВ284Х | От 10,7 до 11,7 | От 34,6 до 36,6 | От 34,0 до 37,0 | - | - | От 14,7 до 20,7 | - | - | - |
Примечание. По требованию потребителя во флюсе ПВ284Х массовая доля фтора должна быть не менее 32,0%. | |||||||||
(Измененная редакция, Изм. N 3).
2.3. Площадь растекания припоя с испытуемым флюсом на нержавеющей стали марки 12Х18Н9Т должна быть не менее:
для флюсов марок ПВ200, ПВ201, ПВ209 и ПВ209Х - 3,5 см;
для флюса марки ПВ284Х - 2 см.
2.4. Флюсы каждой марки изготовляют в виде однородного сыпучего мелкокристаллического порошка белого или сероватого цвета без включений крупинок, комков и инородных частиц.
2.5. Флюсы гигроскопичны. Массовая доля влаги во флюсах не должна быть более 0,5%.
(Измененная редакция, Изм. N 2).
2а. ТРЕБОВАНИЯ БЕЗОПАСНОСТИ
2а.1. Предельно допустимая концентрация (ПДК) компонентов флюса по ГОСТ 12.1.005-84 и перечню ПДК вредных веществ в воздухе рабочей зоны, класс опасности по ГОСТ 12.1.007-76 приведены в табл.2а.
Компоненты флюсов пожаро- и взрывобезопасны.
Таблица 2а
Компонент флюса | ПДК, мг/м | Класс опасности |
Бура | 10 | 3 |
Калий фтористый | 0,2 | 2 |
Калий тетрафторборат | 0,5 | 2 |
Кислота борная | 10 | 3 |
Калия гидроокись | 0,5 | 2 |
Фтористый водород фтористоводородной кислоты | 0,1 | 1 |
Бора окись | 5 | 3 |
Кальций фтористый | 0,5 | 2 |
2а.2. Контроль за содержанием вредных веществ в воздухе рабочей зоны проводят по ГОСТ 12.1.005-84.
2а.З. Производственные помещения, в которых выполняют работы с флюсами, должны быть оборудованы общеобменной приточно-вытяжной вентиляцией по ГОСТ 12.4.021-75.
Рабочие места при использовании флюсов должны быть оборудованы местной вытяжной вентиляцией.
2а.4. Работы с флюсами необходимо выполнять, соблюдая средства индивидуальной защиты: спецодежду - по ГОСТ 12.4.045-87 или ГОСТ 12.4.131-83; спецобувь - по ГОСТ 12.4.164-85 пли ГОСТ 12.4.050-78; средства защиты рук - по ГОСТ 12.4.010-75.
Разд. 2а (Введен дополнительно, Изм. N 3).
3. ПРАВИЛА ПРИЕМКИ
3.1. Правила приемки - по ГОСТ 3885-73. Масса партии не должна превышать 500 кг.
Партия флюсов должна сопровождаться документом о качестве, содержащим:
товарный знак или наименование и товарный знак предприятия-изготовителя;
результаты испытаний;
номер партии;
массу нетто, кг;
количество мест;
дату изготовления;
обозначение настоящего стандарта.
(Измененная редакция, Изм. N 2, 3)
4. МЕТОДЫ ИСПЫТАНИЙ
4.1. (Исключен, Изм. N 2).
4.2. Общие требования к методам аналитического контроля
4.2.1. Отбор проб проводят по ГОСТ 3885-73. Масса средней пробы должна быть не менее 0,5 кг.
4.2.2. Химический состав флюсов определяют параллельно по двум навескам.
4.2.3. (Исключен, Изм. N 2).
4.3. Определение содержания бора
4 3.1. Аппаратура, реактивы, растворы
Глицерин по ГОСТ 6259-75, разбавленный 1:1, нейтрализованный по фенолфталеину раствором гидроокиси натрия концентрации 0,1 моль/дм.
Кальций хлористый 6-водный, х.ч., 25%-ный раствор.
Кислота серная по ГОСТ 4204-77, 15%-ный раствор.
Кислота соляная по ГОСТ 3118-77, х.ч., раствор концентрации 1 моль/дм.
Вода дистиллированная, не содержащая углекислоты, готовят по ГОСТ 4517-87.
Д (-). Маннит по ГОСТ 8321-74.
Метиловый оранжевый парадиметиламиноазобензолсульфокислый натрий, 0,1%-ный раствор.
Натрия гидроокись по ГОСТ 4328-77, растворы концентрации 1 моль/дм, 0,1 моль/дм
и 12%-ный раствор.
Сахар-рафинад по ГОСТ 22-78.
Сахар инвертированный, раствор; готовят следующим образом: 3 кг сахара растворяют в 1 дм воды, осторожно нагревая смесь до начала кипения; к полученному раствору приливают 25 см
раствора серной кислоты, тщательно перемешивают в течение 1 мин и добавляют 1,5 дм
воды, содержащей 25 см
12%-ного раствора гидроокиси натрия. Охлажденный раствор должен быть бесцветным и нейтральным по фенолфталеину.
Спирт этиловый ректификованный технический по ГОСТ 18300-87, высшего сорта.
Фенолфталеин, 1%-ный спиртовой раствор.
Весы лабораторные общего назначения по ГОСТ 24104-88*.
________________
* На территории Российской Федерации действует ГОСТ 24104-2001. Здесь и далее по тексту. - Примечание изготовителя базы данных.
Бюретка 5-2-50 по ГОСТ 20292-74*.
________________
* На территории Российской Федерации действуют ГОСТ 29169-91, ГОСТ 29227-91-ГОСТ 29229-91, ГОСТ 29251-91-ГОСТ 29253-91. Здесь и далее по тексту. - Примечание изготовителя базы данных.
Бюретка 3-2-50 по ГОСТ 20292-74.
Капельница ЗП-150ХС по ГОСТ 25336-82.
Колба Кн-2-250-34 ТХС по ГОСТ 25336-82.
Мензурка 100 по ГОСТ 1770-74.
Стаканчик СВ-14/8 по ГОСТ 25336-82.
(Измененная редакция, Изм. N 3).
4.3.2. Проведение анализа
Около 1 г препарата взвешивают с погрешностью не более 0,0002 г, помещают в коническую колбу вместимостью 250 см. Флюсы марок ПВ200 и ПВ201 растворяют при перемешивании в 70 см
горячей воды, к навескам флюса остальных марок прибавляют по 50 см
раствора хлористого кальция. Соединяют колбу с обратным холодильником и умеренно кипятят содержимое в течение 20 мин, охлаждают, промывают холодильник водой, присоединяя промывные воды к анализируемому раствору.
К раствору с осадком прибавляют одну каплю метилового оранжевого и осторожно, по каплям, нейтрализуют растворы, полученные в результате растворения флюсов марок ПВ200 и ПВ201 1 моль/дм раствором соляной кислоты. Растворы, полученные в результате растворения флюсов остальных марок, нейтрализуют 1 моль/дм
раствором гидроокиси натрия.
К нейтральному раствору прибавляют 40 см раствора сахара или 10,00 г маннита, или 75 см
раствора глицерина, перемешивают и через 10-15 мин прибавляют 5-6 капель раствора фенолфталеина, после чего титруют 1 моль/дм
раствором гидроокиси натрия до появления розовой окраски, затем прибавляют еще 20 см
раствора сахара или 2,00 г маннита, или 25 см
раствора глицерина и в случае обесцвечивания раствора снова титруют до появления розовой окраски. Эту операцию повторяют до тех пор, пока окраска раствора не перестанет исчезать при добавлении новых порций сахара, маннита или глицер
ина.
4.3.3. Обработка результатов
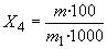
Массовую долю бора () в процентах вычисляют по формуле
,
где - объем точно раствора гидроокиси натрия концентрации 1 моль/дм
, израсходованный на титрование, см
;
- масса анализируемого флюса, г;
0,010811 - количество бора, соответствующее 1 см 1 моль/дм
раствора гидроокиси натрия, г.
За результат анализа принимают среднее арифметическое результатов двух параллельных определений, допускаемые расхождения между которыми, а также между результатами двух анализов при
не должны превышать 0,3%
.
4.3.1-4.3.3. (Измененная редакция, Изм. N 3).
4.4. Определение содержания фтора во флюсах марок ПВ200 и ПВ201.
4.4.1. Аппаратура, реактивы и растворы
Фотоэлектроколориметр типа ФЭК-57 или аналогичный прибор.
Арсеназо-1, ч.д.а., 0,01%-ный водный раствор, годен к употреблению через сутки после приготовления. Срок хранения раствора - 10 суток.
Вода дистиллированная по ГОСТ 6709-72.
Калий углекислый - натрий углекислый по ГОСТ 4332-76, ч.д.а.
Кислота соляная по ГОСТ 3118-77, х.ч.
Раствор, содержащий фтор, готовят и разбавляют по ГОСТ 4212-76.
Цирконил азотнокислый, ч.д.а.
Раствор готовят следующим образом: 0,334 г цирконила азотнокислого помещают в стакан вместимостью 500 см, прибавляют по 150 см
37%-ного раствора соляной кислоты и воды.
Кислоту и воду добавляют порциями по 30 см поочередно, нагревают до полного растворения в течение 20 мин, охлаждают, переносят в мерную колбу вместимостью 1000 см
, доводят объем раствора водой до метки и перемешивают.
Воронка В-36-80 ХС по ГОСТ 25336-82.
Колбы 1-100-2,1-250-2 по ГОСТ 1770-74.
Пипетка 5-2-1, 5-2-2, 7-2-5, 7-2-10 по ГОСТ 20292-74.
Печь муфельная с терморегулятором, обеспечивающим температуру до 1000 °С.
Стакан Н-1-250 ТХС по ГОСТ 25336-82.
Тигель платиновый 100-7 по ГОСТ 6563-75.
Крышка платиновая 101-7 по ГОСТ 6563-75.
Фильтр обеззоленный "синяя лента".
Цилиндр 3-50 по ГОСТ 1770-74.
(Измененная редакция, Изм N 1, 3).
4.4.2. Построение градуировочного графика
В мерные колбы вместимостью 100 см помещают растворы, содержащие 0,02; 0,04; 0,06 и 0,08 мг фтора, 20 см
воды, прибавляют по 0,2 см
раствора соляной кислоты, по 2 см
раствора азотнокислого цирконила, перемешивают, прибавляют по 10 см
раствора арсеназо-1, доводят объемы растворов водой до метки и вновь перемешивают.
Одновременно готовят раствор контрольного опыта, содержащий в том же объеме 0,86 см раствора соляной кислоты и 10 см
раствора арсеназо-1.
Через 20 мин растворы фотометрируют относительно раствора контрольного опыта в кюветах с толщиной поглощающего свет слоя 50 мм при длине волны ~ 597 нм. По полученным данным строят градуировочный график, откладывая на оси абсцисс количество фтора в миллиграммах, а на оси ординат - соответствующие им значения величин светопропускания
.
4.4.3. Проведение анализа
0,05 г флюса взвешивают с погрешностью не более 0,0002 г, помещают в платиновый тигель, прибавляют 1 г калия углекислого - натрия углекислого безводного, взвешенного с погрешностью не более 0,01 г, и сплавляют в муфеле при 850-900 °С в течение 20-25 мин. В охлажденный тигель наливают горячую воду ( объема тигля) и ставят на слабо нагретую плитку; в этом случае плав быстро отделяется от дна тигля.
Содержимое тигля количественно переносят в стакан вместимостью 200 см, выщелачивают плав 100 см
горячей воды. Кусочки плава разбивают стеклянной палочкой. Для переведения фторидов в раствор последний нагревают почти до кипения и после охлаждения переводят в мерную колбу вместимостью 250 см
, затем доводят водой до метки, перемешивают, фильтруют через сухой двойной плотный фильтр в сухую колбу, отбрасывая первые порции фильтрата. 4 см
раствора флюса марки ПВ200 или 5 см
раствора флюса марки ПВ201 помещают в мерную колбу вместимостью 100 см
, прибавляют 20 см
воды, 0,2 см
раствора соляной кислоты, 2 см
раствора азотнокислого цирконила, прибавляют 10 см
раствора арсеназо-1, перемешивают, доводят до метки водой и вновь перемешивают.
Одновременно готовят раствор контрольного опыта и два раствора сравнения, содержащие 0,05 и 0,06 мг фтора (для проверки градуировочного графика). Через 20 мин испытуемый раствор и растворы сравнения фотометрируют относительно раствора контрольного о
пыта.
4.4.2, 4.4.3. (Измененная редакция, Изм. N 1).
4.4.4. Обработка результатов
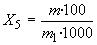
Массовую долю фтора () в процентах вычисляют по формуле
,
где - содержание фтора, найденное по градуировочному графику, мг;
- масса флюса, взятая для фотометрирования, г,
За результат анализа принимают среднее арифметическое результатов двух параллельных определений, допускаемые расхождения между которыми, а также между результатами двух анализов при
не должны превышать 0,3%.
4.5. Определение содержания фтора во флюсах марок ПВ209, ПВ209Х и ПВ284Х
4.5.1. Аппаратура, реактивы, растворы
Вода дистиллированная по ГОСТ 6709-72. Вода дистиллированная, насыщенная кальцием фтористым, готовят растворением 0,20 г фтористого кальция в 1 дм дистиллированной воды. Отстоявшийся раствор фильтруют через фильтрующий тигель.
Кальций хлористый 6-водный, х.ч, 25%-ный раствор.
Натрий уксуснокислый по ГОСТ 199-78, х.ч.
Фильтры стеклянные и изделия с фильтрами по ГОСТ 25336-82, типа ТФ ПОР10 или ПОР16.
Весы лабораторные общего назначения по ГОСТ 24104-88.
Электрошкаф сушильный, обеспечивающий поддержание температуры 105-110 °C.
Кальций фтористый.
Крышка к тиглю 4-1 по ГОСТ 9147-80.
Мензурка 50 по ГОСТ 1770-74.
Стаканы В-1-100 ТХС и СВ-14/8 по ГОСТ 25336-82.
4.5.2. Проведение анализа
Около 0,5 г флюса марки ПВ209 или ПВ209Х или около 0,3 г флюса марки ПВ284Х взвешивают с погрешностью не более 0,0002 г, помещают в стакан вместимостью 100 см, прибавляют 50 см
раствора хлористого кальция и кипятят 15-20 мин, поддерживая первоначальный объем добавлением горячей воды. К кипящему раствору прибавляют 3,00 г уксуснокислого натрия, кипятят 3-5 мин до просветления раствора, снимают стакан с раствором с плитки и отфильтровывают осадок через фильтрующий тигель, предварительно высушенный до постоянной массы и взвешенный с погрешностью не более 0,0002 г. Осадок на фильтре трижды промывают холодной водой, насыщенной кальцием фтористым, обмывая при этом стенки стакана. Тигель помещают в сушильный шкаф и сушат до постоянной массы при 105-110 °С.
4.5.3. Обработка результатов
Массовую долю фтора () в процентах вычисляют по формуле
,
где - масса осадка после высушивания, г;
- масса навески флюса, г;
0,487 - коэффициент пересчета массы фтористого кальция на массу фтора.
За результат анализа принимают среднее арифметическое результатов трех параллельных определений, допускаемое расхождение между которыми, а также между результатами двух анализов при
не должно превышать 0,8%. При этом предельно допускаемое значение результата анализа по фтору для флюсов марок ПВ209 и ПВ209Х должно находиться в интервале 26,7-28,5%, для флюса марки ПВ284Х - в интервале 34,6-36,6%.
4.6. Определение содержание калия, натрия и кальция
Содержание калия, натрия и кальция в флюсах определяют методом фотометрии пламени.
Метод основан на возбуждении и регистрации эмиссионного спектра пробы, вводимой в виде аэрозоля в воздушно-ацетиленовое пламя.
4.6.1. Аппаратура, реактивы, растворы
Спектрограф ИСП-51 с фотоэлектрической приставкой ФЭП-1.
Фотоумножители типа ФЭУ-97 или ФЭУ-62 или другие фотоэлектронные умножители, чувствительные к видимой и инфракрасной области спектра; допускается использование других приборов, обеспечивающих аналогичную чувствительность и точность.
Стабилизатор высоковольтный типа БВ-2 или другой аналогичный прибор.
Потенциометр электронный типа КСП-4.
Ацетилен растворенный и газообразный технический по ГОСТ 5457-75, очищают серной кислотой.
Воздух сжатый по ГОСТ 17433-80.
Вода дистиллированная по ГОСТ 6709-72.
Кислота соляная по ГОСТ 14261-77, особой чистоты.
Кислота серная по ГОСТ 14262-78, особой чистоты.
Натрий хлористый по ГОСТ 4233-77, х.ч., перекристаллизованный, 20 и 2%-ные растворы.
Растворы солей калия, натрия и кальция с содержанием натрия и кальция 0,1 мг/см- раствор А и с содержанием калия 0,1 мг/см
- раствор Б готовят по ГОСТ 4212-76. Все исходные растворы и растворы сравнения хранят в полиэтиленовой посуде.
Весы лабораторные общего назначения по ГОСТ 24104-88.
Колбы мерные 1-(100, 1000)-2 по ГОСТ 1770-74.
Пипетки 4-2-2, 6-2-(5, 10) по ГОСТ 20292-74.
Склянка СПЖ-250 по ГОСТ 25336-82.
Тигли фарфоровые по ГОСТ 9147-80.
Цилиндр 1-(10, 25) по ГОСТ 1770-74.
Бумага масштабно-координатная по ГОСТ 334-73.
Калька бумажная по ГОСТ 892-89.
Лента диаграммная по ГОСТ 7826-82*.
______________
* На территории Российской Федерации действует ГОСТ 7826-93. - Примечание изготовителя базы данных.
4.6.2. Подготовка к анализу
Анализируемые растворы готовят следующим образом: 0,5 г флюса взвешивают с погрешностью не более 0,001 г, помещают в стакан, прибавляют 20 см воды, 5 см
раствора соляной кислоты и растворяют при нагревании в течение 15 мин.
Полученный раствор охлаждают, переводят в мерную колбу вместимостью 100 см, доводят объем раствора водой до метки и тщательно перемешивают. Аликвотные части раствора разбавляют в необходимое число раз (табл.3). Разбавление в 200 раз осуществляют 2%-ным раствором хлористого натрия.
Таблица 3
Определяемый элемент | Марка флюсов | |||
ПВ200 | ПВ201 | ПВ209, ПВ209Х | ПВ284Х | |
Калий | - | - | 200 | 200 |
Натрий | 25 | 25 | - | - |
Кальций | 50 | 50 | - | - |
Примечание. При растворении флюса марки ПВ201 допускается образование в растворе осадка из-за присутствия лигатуры.
Растворы сравнения готовят следующим образом: в пять мерных колб вместимостью 100 см приливают по 25 см
воды и указанные в табл.4 объемы раствора А доводят водой до метки и перемешивают.
Таблица 4
Количество раствора, см | Содержание щелочных металлов | Содержание щелочных металлов в растворе сравнения (в пересчете на флюс), % | |||||
А | Б | Натрий | Кальций | Калий | Натрий | Кальций | Калий |
2,0 | 5,0 | 0,2 | 0,2 | 0,5 | 1,0 | 2,0 | 20,0 |
4,0 | 6,0 | 0,4 | 0,4 | 0,6 | 2,0 | 4,0 | 24,0 |
6,0 | 7,0 | 0,6 | 0,6 | 0,7 | 3,0 | 6,0 | 28,0 |
8,0 | 8,0 | 0,8 | 0,8 | 0,8 | 4,0 | 8,0 | 32,0 |
10,0 | 9,0 | 1,0 | 1,0 | 0,9 | 5,0 | 10,0 | 36,0 |
- | 10,0 | - | - | 1,0 | - | - | 40,0 |
Для определения содержания калия во флюсах марок ПВ209, ПВ209Х, ПВ284Х в шесть мерных колб вместимостью по 100 см приливают по 25 см
воды, по 10 см
20%-ного раствора хлористого натрия и указанные в табл.4 количества раствора Б; доводят водой до метки и перемешивают.
4.4.4, 4.5-4.6.2. (Измененная редакция, Изм. N 3).
4.6.3. Проведение анализа
Сравнивают интенсивность излучения резонансных линий: Na - 589,0-589,6 нм; Са - 422,7 нм; К - 766,6 нм, возникающих в спектре пламени воздух-ацетилен при введении в него анализируемых растворов и растворов сравнения. На подготовленном к работе приборе последовательно фотометрируют воду, применяемую для приготовления растворов, анализируемые растворы и растворы сравнения в порядке возрастания содержания в них калия, натрия, кальция.
Затем растворы фотометрируют в обратной последовательности, начиная с максимального содержания калия, натрия и кальция, учитывая в качестве поправки отсчет, полученный при фотометрировании воды. Вычисляют среднее арифметическое значение интенсивности излучения для каждого раствора.
4.6.4. Обработка результатов
По полученным данным для растворов сравнения строят градуировочные графики, откладывая на оси ординат значения интенсивности излучения, на оси абсцисс - процентное содержание калия (натрия и кальция).
Содержание калия, натрия, кальция в анализируемых флюсах находят по градуировочным графикам. За результат анализа принимают среднее арифметическое результатов двух параллельных определений, допускаемые расхождения между результатами параллельных определений и результатами двух анализов при
не должны превышать значений, указанных в табл.5.
Таблица 5
Определяемый элемент | Интервал определяемых массовых долей | Допускаемое расхождение, % |
Калий | 33,5-37,0 | 3 |
Натрий | 2,3-4,7 | 0,6 |
Кальций | 4,8-8,2 | 0,6 |
Предельно допустимые значения результатов анализа по каждому элементу для флюсов всех марок должны находиться в пределах, указанных в табл.2.
(Измененная редакция, Изм. N 3).
4.7. Определение содержания алюминия
4.7.1. Реактивы и растворы
Бумага индикаторная универсальная, рН 1-10.
Буферные растворы с величиной рН 5,5-6,0 готовят по ГОСТ 10398-76.
Вода дистиллированная по ГОСТ 6709-72.
Ксиленоловый оранжевый, индикатор, 0,1%-ный раствор.
Кислота соляная по ГОСТ 3118-77, 25%-ный раствор.
Натрия гидроокись по ГОСТ 4328-77, х.ч., 20 и 2%-ные растворы.
Соль динатриевая этилендиамин-N, N, N', N' - тетрауксусной кислоты, 2-водная (трилон Б) по ГОСТ 10652-73, раствор концентрации 0,05 моль/дм (0,1 н). Коэффициент молярности раствора определяют по цинку гранулированному следующим образом: 0,0700-0,0800 г цинка гранулированного помещают в коническую колбу, растворяют в 2 см
азотной кислоты, разбавляют водой до 100 см
, раствором аммиака устанавливают рН 4-5 (по индикаторной бумаге), прибавляют 10 см
буферного раствора, 0,5 см
раствора ксиленолового оранжевого и титруют с объемом капли 0,01-0,02 см
раствором динатриевой соли этилендиамин-N, N, N', N' -тетрауксусной кислоты до перехода малиновой окраски раствора в лимонно-желтую.
Коэффициент молярности раствора динатриевой соли этилендиамин-N, N, N', N' - тетрауксусной кислоты вычисляют по формуле
,
где - масса навески цинка гранулированного, г;
- объем раствора динатриевой соли этилендиамин-N, N, N', N' - тетрауксусной кислоты концентрации 0,05 моль/дм
,
0,005741 - количество цинка, соответствующее 1 см раствор динатриевой соли 0,05 моль/дм
.
Цинк сернокислый по ГОСТ 4174-77, х.ч., раствор концентрации 0,05 моль/дм.
Бюретка 5-2-50 по ГОСТ 20292-74.
Микробюретка 6-2-5 по ГОСТ 20292-74.
Воронка В-36-80ХС по ГОСТ 25336-82.
Капельница ЗП-15,0 ХС по ГОСТ 25336-82.
Колба Кн-2-500-34ТХС, Кн-2-250-34ТХС по ГОСТ 25336-82.
Мензурка 100 по ГОСТ 1770-74.
Стакан Н-1-250 ТХС по ГОСТ 25336-82.
Фильтр обеззоленный "белая лента".
Аммиак водный по ГОСТ 3760-79, раствор с массовой долей 10%.
Цинк гранулированный.
Кислота азотная по ГОСТ 4461-77, раствор с массовой долей 38%.
(Измененная редакция, Изм. N 3).
4.7.2. Проведение анализа
1 г флюса марки ПВ201 взвешивают с погрешностью не более 0,0002 г, помещают в стакан вместимостью 250 см, приливают 40 см
раствора 20%-ного гидроокиси натрия и в течение 3 ч периодически перемешивают содержимое стакана, затем подогревают и продолжают растворение до прекращения выделения пузырьков водорода, после чего приливают 100 см
горячей воды, нагревают раствор до кипения и оставляют на 15 мин для отстаивания. Нерастворившийся остаток отфильтровывают через два беззольных фильтра "белая лента" в коническую колбу вместимостью 700 см
и промывают 5-6 раз 2%-ным раствором гидроокиси натрия. (Фильтр с осадком и стакан сохраняют для определения магния). Фильтрат и промывные воды нейтрализуют раствором соляной кислоты до рН 2,5-3,0, прибавляют 10 см
раствора трилона Б, 10 см
буферного раствора, 0,5 см
раствора ксиленолового оранжевого и кипятят 5 мин, после чего раствор охлаждают и титруют из микробюретки раствором сернокислого цинка до начала изменения желтой окраски раствора в оранжевую
.
4.7.3. Обработка результатов
Массовую долю алюминия () в процентах вычисляют по формуле
,
где - объем точно раствора динатриевой соли этилендиамин-N, N, N', N' - тетрауксусной кислоты (2-водной) концентрации 0,05 моль/дм
, см
;
- объем точно раствора сернокислого цинка концентрации 0,05 моль/дм
, израсходованного на титрование, см
;
- масса навески флюса, г;
0,001349 - количество алюминия, соответствующее 1 см раствора трилона Б.
За результат анализа принимают среднее арифметическое результатов двух параллельных определений, допускаемые расхождения между которыми, а также между результатами двух анализов при
не должны превышать 0,05%.
(Измененная редакция, Изм. N
3).
4.8. Определение содержания магния
4.8.1. Реактивы и растворы,
Аммиак водный по ГОСТ 3760-79, 20%-ный раствор.
Аммоний хлористый по ГОСТ 3773-72, 10%-ный раствор.
Ацетон по ГОСТ 2603-79.
Бумага индикаторная универсальная, рН 1-10.
Вода дистиллированная по ГОСТ 6709-72.
Диэтилдитиокарбамат натрия по ГОСТ 8864-71, ч.д.а., 5%-ный раствор.
Калий-натрий виннокислый по ГОСТ 5845-79, ч.д.а., 50%-ный раствор.
Кислота соляная по ГОСТ 3118-77, х.ч., 20%-ный раствор.
Магнезон ХС, 0,01%-ный раствор в ацетоне.
Натрия гидроокись по ГОСТ 4328-77, х.ч., 20%-ный раствор.
Раствор, содержащий магний, готовят по ГОСТ 4212-76 и разбавляют до концентрации 0,01 мг/см.
Воронка В-36-80ХС по ГОСТ 25336-82.
Колба 1-100-2 по ГОСТ 1770-74.
Пипетка 5-2-1, 5-2-2 по ГОСТ 20292-74.
Пробирка П2-14-100ХС по ГОСТ 25336-82.
Фильтр обеззоленный "синяя лента".
Цилиндр 1-10 по ГОСТ 1770-74.
4.8.2. Проведение анализа
Осадок на фильтре, оставшийся после отделения алюминия, растворяют в 20 см раствора горячей соляной кислоты, промывают фильтр 4-5 раз небольшими порциями воды. Солянокислый раствор и промывные воды собирают в стакан, где растворялась навеска, фильтр отбрасывают. Фильтрат нейтрализуют раствором гидрата окиси натрия до рН 4-4,5, приливают 20 см
раствора диэтилдитиокарбамата натрия, переводят содержимое стакана в мерную колбу вместимостью 100 см
, доводят до метки водой и перемешивают. Отстоявшийся раствор фильтруют через сухой плотный фильтр в сухую колбу, отбрасывая первые порции фильтрата.
2 см фильтрата (0,02 г) помещают в пробирку диаметром 15 мм, прибавляют 1 см
воды и при перемешивании прибавляют 0,5 см
раствора хлористого аммония, 0,2 см
раствора виннокислого калия-натрия, 1 см
ацетона, 0,4 см
раствора аммиака и 0,6 см
раствора магнезона.
Одновременно готовят шкалу стандартных растворов, содержащих в том же объеме 0,006; 0,007; 0,008; 0,009 и 0,010 мг магния, 0,5 см раствора хлористого аммония, 0,2 см
раствора виннокислого калия-натрия, 1 см
ацетона, 0,4 см
раствора аммиака и 0,6 см
раствора магнезона.
Через 10 мин растворы колори
метрируют.
4.8.3. Обработка результатов
Массовую долю магния () в процентах вычисляют по формуле
,
где - количество магния в стандартном растворе, интенсивность окраски которого совпадает с окраской испытуемого раствора, мг;
- масса навески флюса, г.
За результат анализа принимают среднее арифметическое результатов двух параллельных определений, допускаемое расхождение между которыми, а также между результатами двух анализов при
не должно превышать 0,004%.
4.9. Определение содержания меди
4.9.1. Аппаратура, реактивы и растворы
Спектрофотометр или фотоэлектроколориметр.
Бумага индикаторная универсальная, рН 1-10.
Вода дистиллированная по ГОСТ 6709-72.
Водорода перекись по ГОСТ 10929-76, 30%-ный раствор.
Диэтилдитиокарбамат свинца, 0,025%-ный раствор в хлороформе.
Кислота серная по ГОСТ 4204-77, раствор концентрации 0,05 моль/дм.
Кислота соляная по ГОСТ 3118-77, х.ч., 20%-ный раствор.
Натрия гидроокись по ГОСТ 4328-77, х.ч., раствор концентрации 1 моль/дм.
Хлороформ.
Воронка делительная ВД-1-50ХС по ГОСТ 25336-82.
Колба 1-100-2, 1-250-2 по ГОСТ 1770-74.
Пипетка 5-2-1, 2-2-5, 2-2-10 по ГОСТ 20292-74.
Пробирка П-2-20-14/23ХС по ГОСТ 1770-74.
Стакан H-1-250, Н-1-50 по ГОСТ 25336-82.
Цилиндр 3-25 по ГОСТ 1770-74.
4.9.2. Проведение анализа
Определение проводят по ГОСТ 10554-74 диэтилдитиокарбаматным методом. При этом 1 г флюса марки ПВ201 взвешивают с погрешностью не более 0,0002 г, помещают в стакан вместимостью 250 см, приливают 20 см
раствора соляной кислоты, 3-4 капли раствора перекиси водорода, закрывают стакан часовым стеклом и слегка нагревают до полного растворения флюса. Содержимое стакана количественно переносят в мерную колбу вместимостью 250 см
, доводят водой до метки и перемешивают. 10 см
полученного раствора помещают в мерную колбу вместимостью 100 см
, доводят объем водой до метки и перемешивают. 5 см
(0,002 г) полученного раствора помещают в стакан вместимостью 50 см
, прибавляют 15 см
воды, устанавливают pH 6-7 при помощи раствора гидроокиси натрия, переносят раствор в делительную воронку, доводят объем водой до 25 см
, прибавляют четыре капли раствора серной кислоты и 5 см
0,025%-ного раствора диэтилдитиокарбамата свинца. Далее анализ ведут по ГОСТ 10554-74.
Для построения градуировочного графика готовят растворы, содержащие 0,000; 0,008; 0,009; 0,010; 0,011 мг меди.
4.9.3. Обработка результатов
Массовую долю меди () в процентах вычисляют по формуле
,
где - количество меди, найденное по градуировочному графику, мг;
- масса флюса, взятая для анализа, г.
За результат анализа принимают среднее арифметическое результатов двух параллельных определений, допускаемое расхождение между которыми, а также между результатами двух анализов при
не должно превышать 0,05%.
4.8.1-4.9.3. (Измененная редакция, Изм. N 3).
4.10. Определение содержания кислорода
Содержание кислорода определяют по разности между 100% и суммой контролируемых элементов в процентах.
4.11. Определение площади растекания припоя (п.2.3) проводят по ГОСТ 23904-79. Допускается измерять площадь растекания припоя методами, приведенными в приложении ГОСТ 21073.4-75.
(Измененная редакция, Изм. N 1).
4.11.1. Материалы
Нержавеющая сталь марки 12Х18Н9Т по ГОСТ 5632-72.
Латунь марки Л-63 по ГОСТ 15527-70*.
______________
* На территории Российской Федерации действует ГОСТ 15527-2004. - Примечание изготовителя базы данных.
Проволока из серебряных припоев по ГОСТ 19746-74, марки по ГОСТ 19738-74.
Наждачная бумага М40-П по ГОСТ 10054-82.
Ацетон по ГОСТ 2768-79.
Бензин по ГОСТ 2084-77.
4.11.2. Проведение испытания
Отрихтованные пластины зачищают наждачной бумагой до полного удаления окислов и других загрязнений и обезжиривают ацетоном или бензином.
Пластину, в центре которой помещают припой и испытуемый флюс массой 0,5 г, насыпанный на припой в виде горки, помещают в печь, предварительно разогретую до температуры, превышающей температуру плавления соответствующего припоя на (90±10) °C, и выдерживают 1 мин после полного расплавления припоя. Испытания проводят в печи без защитной среды.
Для испытания флюсов марок ПВ200 и ПB201 применяют в качестве припоя латунь.
Для испытания флюсов марок ПВ209 и ПВ209Х применяют серебряный припой марки ПСр-45.
Для испытания флюса марки ПВ284Х применяют серебряный припой марки ПСр-40.
4.12. Определение внешнего вида и однородности
Цвет и однородность (п.2.4) определяют путем визуального осмотра.
4.13. Определение содержания влаги
4.13.1. Проведение анализа
2 г флюса взвешивают с погрешностью не более 0,0002 г в доведенной до постоянной массы бюксе и высушивают в сушильном шкафу при температуре 105-110 °С до постоянной массы и снова взвешивают.
4.13.2. Обработка результатов
Содержание влаги () в процентах вычисляют по формуле
,
где - масса флюса после высушивания, г;
- масса навески флюса до высушивания, г.
За результат анализа принимают среднее арифметическое результатов двух параллельных определений, допустимое расхождение между которыми, а также между результатами двух анализов при
, не должно превышать 10% относительно определяемого содержания.
4.13.1, 4.13.2. (Измененная редакция, Изм. N 3).
5. МАРКИРОВКА, УПАКОВКА, ТРАНСПОРТИРОВАНИЕ И ХРАНЕНИЕ
5.1. Флюсы упаковывают и маркируют по ГОСТ 3885-73. Группа фасовки: V, VI. Вид тары: 2-4, 2-7, 2-9. По требованию потребителя допускается вид тары 6-1, 11-6 (мешки-вкладыши до 50 кг). На банку с продуктом дополнительно к этикетке наклеивают знак опасности по ГОСТ 19433-81*, класс 9, подкласс 9.2.
________________
* На территории Российской Федерации действует ГОСТ 19433-88. Здесь и далее по тексту. - Примечание изготовителя базы данных.
Банки и пакеты с флюсами помещают в ящики типа II-1 N 15-1, N 24-1, типа III-1 N 19-1, N 25-1 по ГОСТ 18573-86. Масса брутто ящика должна быть не более 50 кг.
Мешки-вкладыши помещают в фанерно-штампованные бочки или картонно-навивные барабаны по ГОСТ 17065-77*.
______________
* На территории Российской Федерации действует ГОСТ 17065-94. - Примечание изготовителя базы данных.
Транспортную маркировку груза проводят по ГОСТ 14192-77* с нанесением манипуляционных знаков: "Верх, не кантовать!", "Боится сырости!", "Осторожно, хрупкое!", а также знаков опасности по ГОСТ 19433-81, класс 9, подкласс 9.2, категория 9.2.2.
______________
* На территории Российской Федерации действует ГОСТ 14192-96. - Примечание изготовителя базы данных.
5.2. Флюсы транспортируют железнодорожным и автомобильным транспортом в соответствии с правилами перевозки грузов, действующими на данном виде транспорта, или почтовыми посылками.
При транспортировании грузы пакетируют по ГОСТ 21929-76 и по ГОСТ 26663-85 на поддонах по ГОСТ 9078-84, ГОСТ 9557-87 или ГОСТ 26381-84 с помощью средств крепления по ГОСТ 21650-76.
5.3. Флюсы хранят в упаковке изготовителя в крытых складских помещениях.
Разд.5. (Измененная редакция, Изм. N 3).
6. ГАРАНТИИ ИЗГОТОВИТЕЛЯ
6.1. Готовая продукция должна быть принята техническим контролем предприятия-изготовителя. Изготовитель должен гарантировать соответствие всей поставляемой продукции требованиям настоящего стандарта при соблюдении условий хранения, установленных стандартом.
6.2. Гарантийный срок хранения продукции - один год со дня изготовления.
(Измененная редакция, Изм. N 2)
ПРИЛОЖЕНИЕ 1 (обязательное). Назначение флюсов
ПРИЛОЖЕНИЕ 1
Обязательное
Марки флюсов | Температурный интервал активности флюсов, °С | Паяемый материал | Применяемый припой |
ПВ200 | 800-1200 | Нержавеющие и конструкционные стали, жаропрочные сплавы | Высоко- и среднеплавкие припои |
ПВ201 | 800-1200 | ||
ПВ209 | 700-900 | Нержавеющие и конструкционные стали, медь и ее сплавы | Среднеплавкие припои |
ПВ209Х | 700-900 | ||
ПВ284Х | 600-800 |
ПРИЛОЖЕНИЕ 2 (обязательное). Соответствие обозначений старых и новых марок флюсов
ПРИЛОЖЕНИЕ 2
Обязательное
Старое обозначение | Новое обозначение |
200 | ПВ200 |
201 | ПВ201 |
209 | ПВ209 |
209 | ПВ209Х |
284 | ПВ284Х |
ПРИЛОЖЕНИЕ 3 (обязательное). Коды ОКП, присвоенные маркам флюсов
ПРИЛОЖЕНИЕ 3
Обязательное
Таблица 3
Марка флюса | Код ОКП |
ПВ200 | 17 1821 0100 08 |
ПВ201 | 17 1821 0200 05 |
ПВ209 | 17 1821 0300 02 |
ПВ209Х | 17 1822 0100 03 |
ПВ284Х | 17 1822 0200 00 |
(Измененная редакция, Изм. N 3)
Электронный текст документа
подготовлен АО "Кодекс" и сверен по:
официальное издание
М.: Издательство стандартов, 1989
Разместите заказ
сами сделают вам предложение
