ГОСТы сталей. ГОСТ 21910-76
ГОСТ 21910-76
Группа В00
ГОСУДАРСТВЕННЫЙ СТАНДАРТ СОЮЗА ССР
МЕТАЛЛЫ
Характеристики жаростойкости.
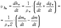
Наименования, определения, расчетные формулы и единицы величин
Metals. Heat-resistance characteristics. Names, definitions, formulae
for calculations and units of quantities
Срок действия с 01.07.1977
до 01.07.1982*
________________________________
* Ограничение срока действия снято
постановлением Госстандарта СССР от 16.03.82 N 1035
(ИУС N 6, 1982 год). - Примечание изготовителя базы данных.
РАЗРАБОТАН Центральным научно-исследовательским и проектно-конструкторским котлотурбинным институтом им. И.И.Ползунова (ЦКТИ)
Директор Н.М.Марков
Исполнители: В.И.Никитин, И.П.Комиссарова, А.Н.Митюков
ВНЕСЕН Министерством энергетического машиностроения
Начальник Технического управления член Коллегии В.П.Пластов
ПОДГОТОВЛЕН К УТВЕРЖДЕНИЮ Всесоюзным научно-исследовательским институтом классификации и кодирования (ВНИИКИ)
Директор Е.А.Панфилов
УТВЕРЖДЕН И ВВЕДЕН В ДЕЙСТВИЕ Постановлением Государственного комитета стандартов Совета Министров СССР от 3 июня 1976 г. N 1368
Стандарт устанавливает наименования, определения, расчетные формулы и единицы величин характеристик жаростойкости металлов.
Установленные настоящим стандартом наименования, определения, расчетные формулы и единицы величин обязательны для применения в используемой в народном хозяйстве документации всех видов (включая унифицированные системы документации, общесоюзные классификаторы технико-экономической информации, тезаурусы и дескрипторные словари), научно-технической, учебной и справочной литературе.
Приведенные определения можно при необходимости изменять по форме изложения, не допуская нарушения границ понятий.
Для каждой характеристики установлено одно наименование. Применение синонимов стандартизованного наименования запрещается.
В стандарте в качестве справочных приведены основные буквенные обозначения и размерности характеристик жаростойкости.
В обязательном приложении 1 приведена классификация характеристик жаростойкости, а в справочном приложении 2 - дополнительные буквенные обозначения, используемые в расчетных формулах.
Наименование | Основ- | Определение | Расчетная формула | Размерность | Единицы величин |
1. Удельная потеря массы металла | Уменьшение массы металла за рассматриваемый интервал времени, отнесенное к единице площади его поверхности |
|
| кг/м | |
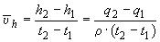
2. Глубина равномерной коррозии металла | Средняя толщина поверхностного слоя металла, удаленного вследствие коррозии за рассматриваемый интервал времени |
|
| м (мм, мкм) | |
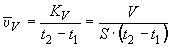
3. Удельный прирост массы металла | Увеличение массы металла за рассматриваемый интервал времени, отнесенное к единице площади его поверхности |
|
| кг/м | |
4. Толщина окисной пленки (пленки продуктов коррозии) на поверхности металла | Средняя толщина окисной пленки (пленки продуктов коррозии), образовавшейся на поверхности металла за рассматриваемый интервал времени |
|
| м (мм, мкм) | |
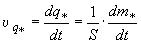
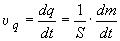
5. Истинная скорость потери массы металла | Значение первой производной по времени от удельной потери массы металла, определенное для данного момента времени |
|
| кг/(м | |
6. Истинная скорость проникновения коррозии в металл | Значение первой производной по времени от глубины равномерной коррозии металла, определенное для данного момента времени |
|
| м/с (мм/год, мкм/ч) | |
7. Истинная скорость прироста массы металла | Значение первой производной по времени от удельного прироста массы металла, определенное для данного момента времени |
|
| кг/(м | |
8. Истинная скорость роста окисной пленки (пленки продуктов коррозии) на поверхности металла | Значение первой производной по времени от толщины окисной пленки (пленки продуктов коррозии) на поверхности металла, определенное для данного момента времени |
|
| м/с (мм/год, мкм/ч) | |
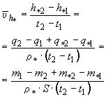
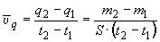
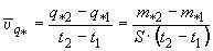
9. Средняя скорость потери массы металла | Отношение разности удельных потерь массы металла, соответствующих концу и началу рассматриваемого интервала времени, к величине этого интервала |
|
| кг/(м | |
10. Средняя скорость проникновения коррозии в металле | Отношение разности глубин равномерной коррозии металла, соответствующих концу и началу рассматриваемого интервала времени, к величине этого интервала |
|
| м/с (мм/год, мкм/ч) | |
11. Средняя скорость прироста массы металла | Отношение разности удельных приростов массы металла, соответствующих концу и началу рассматриваемого интервала времени, к величине этого интервала |
|
| кг/(м | |
12. Средняя скорость роста окисной пленки (пленки продуктов коррозии) на поверхности металла | Отношение разности толщин окисной пленки (пленки продуктов коррозии) на поверхности металла, соответствующих концу и началу рассматриваемого интервала времени, к величине этого интервала |
|
| м/с (мм/год, мкм/ч) | |
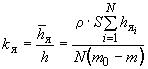
13. Максимальная глубина коррозионных язв на поверхности металла | Наибольшее значение глубины коррозионных язв из всей совокупности значений глубин измеренных коррозионных язв на поверхности металла |
|
| м (мм, мкм) | |
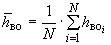
14. Средняя глубина коррозионных язв на поверхности металла | Среднее арифметическое значений глубин измеренных коррозионных язв на поверхности металла |
|
| м (мм, мкм) | |
15. Степень язвенной коррозии металла | Отношение средней глубины коррозионных язв к глубине равномерной коррозии металла |
| - | - | |
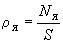
16. Плотность коррозионных язв на поверхности металла | Отношение числа коррозионных язв на поверхности металла к площади его поверхности |
|
| 1/м | |
17. Максимальная глубина межкристаллитной коррозии металла |
| Максимальное значение глубины межкристаллитной коррозии из всей совокупности определенных значений глубин межкристаллитной коррозии металла |
|
| м (мм, мкм) |
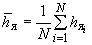
18. Средняя глубина межкристаллитной коррозии металла | Среднее арифметическое определенных значений глубин межкристаллитной коррозии металла |
|
| м (мм, мкм) | |
19. Средняя скорость роста максимально глубоких коррозионных язв на поверхности металла | Отношение разности максимальных глубин коррозионных язв металла, соответствующих концу и началу рассматриваемого интервала времени, к величине этого интервала |
|
| м/с (мм/год, мкм/ч) | |
20. Средняя скорость роста коррозионных язв на поверхности металла | Отношение разности средних глубин коррозионных язв металла, соответствующих концу и началу рассматриваемого интервала времени, к величине этого интервала |
|
| м/с (мм/год, мкм/ч) | |
21. Средняя скорость роста максимально глубоких очагов межкристаллитной коррозии металла |
| Отношение разности максимальных глубин межкристаллитной коррозии металла, соответствующих концу и началу рассматриваемого интервала времени, к величине этого интервала |
|
| м/с (мм/год, мкм/ч) |
22. Средняя скорость роста зоны межкристаллитной коррозии металла | Отношение разности средних глубин межкристаллитной коррозии металла, соответствующих концу и началу рассматриваемого интервала времени, к величине этого интервала |
|
| м/с (мм/год, мкм/ч) | |
23. Средняя толщина подокисного слоя металла, обедненного легирующими элементами | Среднее арифметическое значений измеренных толщин обедненного легирующими элементами подокисного слоя металла |
|
| м (мм, мкм) | |
24. Средняя толщина слоя внутреннего окисления металла | Среднее арифметическое значений измеренных толщин слоя внутреннего окисления металла |
|
| м (мм, мкм) | |
25. Средняя скорость роста | Отношение разности значений толщин обедненного легирующими элементами подокисного слоя металла, соответствующих концу и началу рассматриваемого интервала времени, к величине этого интервала |
|
| м/с (мм/год, мкм/ч) | |
26. Средняя скорость роста слоя внутреннего окисления металла | Отношение разности средних толщин слоя внутреннего окисления металла, соответствующих концу и началу рассматриваемого интервала времени, к величине этого интервала |
|
| м/с (мм/год, мкм/ч) | |
27. Относительное изменение временного сопротивления металла | Отношение разности значений временного сопротивления металла до и после коррозионного испытания за рассматриваемый интервал времени к исходному значению временного сопротивления |
| - | - | |
28. Относительное изменение предела текучести металла | Отношение разности значений пределов текучести металла до и после коррозионного испытания за рассматриваемый интервал времени к исходному значению предела текучести |
| - | - | |
29. Относительное изменение удлинения металла после разрыва | Отношение разности значений относительных удлинений после разрыва металла до и после коррозионного испытания за рассматриваемый интервал времени к исходному значению относительного удлинения после разрыва |
| - | - | |
30. Относительное изменение сужения металла после разрыва | Отношение разности значений относительных сужений после разрыва металла до и после коррозионного испытания за рассматриваемый интервал времени к исходному значению относительного сужения после разрыва |
| - | - | |
31. Относительное изменение ударной вязкости металла | Отношение разности значений ударной вязкости металла до и после коррозионного испытания за рассматриваемый интервал времени к исходному значению ударной вязкости |
| - | - | |
32. Удельный объем выделившегося (поглощенного) газа при коррозии металла | Отношение объема газа, выделившегося (поглощенного) в процессе коррозии за рассматриваемый интервал времени, к площади корродирующей поверхности металла |
|
| м (см | |
33. Средняя скорость выделения (поглощения) газа при коррозии металла | Отношение удельного объема газа, выделившегося (поглощенного) из металла (металлом) в процессе коррозии, к величине рассматриваемого интервала времени |
|
| м/с [см | |
34. Относительное изменение электрического сопротивления металла | Отношение разности значений электрического сопротивления металла после коррозионного испытания за рассматриваемый интервал времени и его исходного электрического сопротивления к значению исходного электрического сопротивления |
| - | - | |
35. Средняя скорость изменения электрического сопротивления металла | Относительное изменение значения электрического сопротивления металла, деленное на интервал времени коррозии, в течение которого произошло это изменение |
|
| 1/с (1/ч, 1/сут) | |
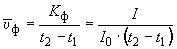
36. Изменение отражательной способности поверхности | Отношение силы фототока, измеренного фотометром на металле после коррозии за рассматриваемый интервал времени, к силе фототока для стандартного зеркала |
| - | - | |
37. Средняя скорость изменения отражательной способности поверхности металла | Отношение изменения отражательной способности поверхности металла к интервалу времени коррозии, в течение которого произошло это изменение |
|
| 1/с (1/ч, 1/сут) |
ПРИЛОЖЕНИЕ 1 (обязательное). КЛАССИФИКАЦИЯ ХАРАКТЕРИСТИК ЖАРОСТОЙКОСТИ МЕТАЛЛОВ
ПРИЛОЖЕНИЕ 1
Обязательное
1. КЛАССИФИКАЦИЯ ХАРАКТЕРИСТИК ЖАРОСТОЙКОСТИ МЕТАЛЛОВ
1.1. Характеристики равномерной коррозии
1.1.1. Характеристики степени равномерной коррозии:
удельная потеря массы металла;
глубина равномерной коррозии металла;
удельный прирост массы металла;
толщина окисной пленки (пленки продуктов коррозии) на поверхности металла.
1.1.2. Характеристики интенсивности равномерной коррозии
Характеристики истинной скорости коррозии:
истинная скорость потери массы металла;
истинная скорость проникновения коррозии в металл;
истинная скорость прироста массы металла;
истинная скорость роста окисной пленки (пленки продуктов коррозии) на поверхности металла.
Характеристики средней скорости коррозии:
средняя скорость потери массы металла;
средняя скорость проникновения коррозии в металл;
средняя скорость прироста массы металла;
средняя скорость роста окисной пленки (пленки продуктов коррозии) на поверхности металла.
1.2. Характеристики местной коррозии
1.2.1. Характеристики степени местной коррозии:
максимальная глубина коррозионных язв на поверхности металла;
средняя глубина коррозионных язв на поверхности металла;
степень язвенной коррозии металла;
плотность коррозионных язв на поверхности металла;
максимальная глубина межкристаллитной коррозии металла;
средняя глубина межкристаллитной коррозии металла.
1.2.2. Характеристики интенсивности местной коррозии:
средняя скорость роста максимально глубоких коррозионных язв на поверхности металла;
средняя скорость роста коррозионных язв на поверхности металла;
средняя скорость роста максимально глубоких очагов межкристаллитной коррозии металла;
средняя скорость роста зоны межкристаллитной коррозии металла.
1.3. Характеристики повреждения подокисного слоя
1.3.1. Характеристики степени повреждения подокисного слоя:
средняя толщина подокисного слоя металла, обедненного легирующими элементами;
средняя толщина слоя внутреннего окисления металла.
1.3.2. Характеристики интенсивности повреждения подокисного слоя:
средняя скорость роста подокисного слоя металла, обедненного легирующими элементами;
средняя скорость роста слоя внутреннего окисления металла.
1.4. Специальные характеристики коррозии
1.4.1. Механические характеристики коррозии:
относительное изменение временного сопротивления металла;
относительное изменение предела текучести металла;
относительное изменение удлинения металла после разрыва;
относительное изменение сужения металла после разрыва;
относительное изменение ударной вязкости металла.
1.4.2. Объемные характеристики коррозии:
удельный объем выделившегося (поглощенного) газа при коррозии металла;
средняя скорость выделения (поглощения) газа при коррозии металла.
1.4.3. Резистометрические характеристики коррозии:
относительное изменение электрического сопротивления металла;
средняя скорость изменения электрического сопротивления металла.
1.4.4. Оптические характеристики коррозии:
изменение отражательной способности поверхности металла;
средняя скорость изменения отражательной способности поверхности металла.
ПРИЛОЖЕНИЕ 2 (справочное). ДОПОЛНИТЕЛЬНЫЕ БУКВЕННЫЕ ОБОЗНАЧЕНИЯ
ПРИЛОЖЕНИЕ 2
Справочное
| масса металла до коррозионного испытания; |
| масса металла без продуктов окисления (коррозии) после испытания в течение заданного интервала времени; |
| масса металла с продуктами окисления (коррозии) после испытания в течение заданного интервала времени; |
| продолжительность коррозионного испытания; |
| площадь окисляемой (корродирующей) поверхности металла; |
| плотность металла, подвергающегося коррозии; |
| плотность слоя окислов (продуктов коррозии) на поверхности металла; |
| глубина отдельной коррозионной язвы на поверхности металла; |
| число измерений; |
| число коррозионных язв на поверхности металла; |
| глубина межкристаллитной коррозии металла по результатам отдельных измерений; |
| толщина подокисного слоя металла, обедненного легирующими элементами, вычисленная по результатам отдельных измерений; |
| толщина слоя внутреннего окисления металла, вычисленная по результатам отдельных измерений; |
| временное сопротивление до и после коррозионного испытания металла; |
| предел текучести до и после коррозионного испытания металла; |
| относительное удлинение после разрыва до и после коррозионного испытания металла; |
| относительное сужение после разрыва до и после коррозионного испытания металла; |
| ударная вязкость до и после коррозионного испытания металла; |
| объем газа, выделившегося (поглощенного) при коррозии металла; |
| сила фототока, измеренного фотометром, при отражении светового луча от поверхности металла, подвергнутого коррозии; |
| сила фототока, измеренного фотометром, при отражении светового луча от поверхности стандартного зеркала. |
Электронный текст документа
подготовлен ЗАО "Кодекс" и сверен по:
официальное издание
М.: Издательство стандартов, 1976
Разместите заказ
сами сделают вам предложение













