ГОСТы сталей. ГОСТ 931-90
ГОСТ 931-90
Группа В53
МЕЖГОСУДАРСТВЕННЫЙ СТАНДАРТ
ЛИСТЫ И ПОЛОСЫ ЛАТУННЫЕ
Технические условия
Brass sheets and strips. Specifications
МКС 77.150.30
ОКП 18 4520
Дата введения 1992-01-01
ИНФОРМАЦИОННЫЕ ДАННЫЕ
1. РАЗРАБОТАН И ВНЕСЕН Министерством металлургии СССР
2. УТВЕРЖДЕН И ВВЕДЕН В ДЕЙСТВИЕ Постановлением Государственного комитета СССР по управлению качеством продукции и стандартам от 20.07.90 N 2224
3. Стандарт полностью соответствует СТ СЭВ 957-89
4. ВЗАМЕН ГОСТ 931-78
5. ССЫЛОЧНЫЕ НОРМАТИВНО-ТЕХНИЧЕСКИЕ ДОКУМЕНТЫ
Обозначение НТД, на который дана ссылка | Номер пункта, подпункта |
ГОСТ 166-89 | 3.4 |
ГОСТ 427-75 | 3.4 |
ГОСТ 1497-84 | 3.8 |
ГОСТ 1652.1-77-ГОСТ 1652.13-77 | 3.1 |
ГОСТ 2228-81 | 1.5.1 |
ГОСТ 2991-85 | 1.5.1 |
ГОСТ 3282-74 | 1.5.1, 1.5.3 |
ГОСТ 3560-73 | 1.5.1, 1.5.3 |
ГОСТ 4381-87 | 3.3 |
ГОСТ 6507-90 | 3.3 |
ГОСТ 7502-98 | 3.4 |
ГОСТ 9557-87 | 1.5.3 |
ГОСТ 9716.1-79-ГОСТ 9716.3-79 | 3.1 |
ГОСТ 10198-78 | 1.5.1 |
ГОСТ 11701-84 | 3.8 |
ГОСТ 14019-80 | 3.6 |
ГОСТ 14192-96 | 1.4.2 |
ГОСТ 15527-70 | 1.3.1, 1.3.6.7 |
ГОСТ 15846-79 | 1.5.1 |
ГОСТ 18242-72 | 2.3 |
ГОСТ 18321-73 | 2.3 |
ГОСТ 18477-79 | 1.5.1, 4.1 |
ГОСТ 21140-88 | 1.5.1 |
ГОСТ 21650-76 | 1.5.2 |
ГОСТ 24047-80 | 3.8 |
ГОСТ 24231-80 | 3.1 |
ГОСТ 24597-81 | 1.5.2 |
ГОСТ 25086-87 | 3.1 |
ГОСТ 26663-85 | 1.5.3 |
ГОСТ 26877-86 | 3.4, 3.5, 3.7 |
6. Ограничение срока действия снято по протоколу N 7-95 Межгосударственного Совета по стандартизации, метрологии и сертификации (ИУС 11-95)
7. ИЗДАНИЕ (декабрь 2002 г.) с Поправкой (ИУС 9-98)
Настоящий стандарт распространяется на латунные горячекатаные и холоднокатаные листы и холоднокатаные полосы общего назначения.
1. ТЕХНИЧЕСКИЕ ТРЕБОВАНИЯ
1. ТЕХНИЧЕСКИЕ ТРЕБОВАНИЯ
1.1. Листы изготовляют в соответствии с требованиями настоящего стандарта по технологическому регламенту, утвержденному в установленном порядке.
1.2. Основные параметры и размеры
1.2.1. Толщина горячекатаных листов и предельные отклонения по толщине должны соответствовать приведенным в табл.1.
Таблицa 1
мм
Толщина | Предельное отклонение по толщине при ширине | ||||
500, 550, 600, 710 | 1000 | 1250 | 1500 | 2000, 2500 | |
5,00 | -0,45 | -0,50 | -0,60 | -0,80 | -1,00 |
6,00 | |||||
7,00 | -0,50 | -0,60 | |||
8,00 | -0,80 | -1,00 | -1,20 | ||
9,00 | -0,60 | -0,70 | |||
10,00 | |||||
11,00 | -0,70 | ||||
12,00 | -0,80 | -1,00 | -1,20 | -1,40 | |
13,00 | |||||
14,00 | |||||
15,00 | -0,80 | -1,00 | -1,20 | -1,40 | -1,60 |
16,00 | |||||
17,00 | -1,20 | ||||
18,00 | |||||
19,00 | |||||
20,00 | -1,00 | -1,40 | -1,40 | -1,60 | -1,80 |
21,00 | |||||
22,00 | |||||
24,00 | -1,20 | -1,60 | -1,60 | -1,80 | -2,00 |
25,00 | |||||
1.2.2. Ширина горячекатаных листов и предельные отклонения по ширине должны соответствовать приведенным в табл.2.
Таблица 2
мм | |
Ширина листа | Предельное отклонение по ширине |
500, 550, 600 | -15 |
710 | |
1000 | |
1250 | -20 |
1500 | |
2000 | |
2500 | |
Примечание. Каждому размеру по ширине может соответствовать любая длина из приведенных в табл.3 при условии, что длина превышает ширину.
1.2.3. Длина горячекатаных листов и предельные отклонения по длине должны соответствовать приведенным в табл.3.
Таблица 3
мм | |
Длина листа | Предельное отклонение по длине |
1000 | -20 |
1410 | |
1500 | |
2000 | |
2500 | -30 |
3000 | |
4000 | |
1.2.4. Толщина холоднокатаных листов и предельные отклонения по толщине должны соответствовать приведенным в табл.4.
Таблица 4
Размеры, мм
Марка латуни | Толщина холоднокатаных | Предельное отклонение по толщине при ширине | ||
500, 550, 600 | 710, 800 | 1000 | ||
Л90, Л85, Л80, Л68, Л63 | 0,40 | -0,06 | -0,09 | - |
0,50 | ||||
0,60 | -0,08 | -0,10 | ||
0,70 | -0,16 | |||
0,80 | ||||
0,90 | -0,09 | -0,12 | ||
Л90, Л85, Л80, Л68, Л63 | 1,00 | -0,10 | ||
1,10 | ||||
1,20 | -0,12 | -0,14 | ||
1,30 | ||||
1,40 | ||||
ЛМц58-2, ЛО62-1 | 1,50 | -0,14 | -0,16 | -0,20 |
1,60 | ||||
1,80 | ||||
2,00 | -0,15 | -0,18 | -0,22 | |
2,20 | ||||
2,50 | -0,18 | -0,20 | -0,24 | |
Л90, Л85, Л80, Л68, Л63, ЛМц58-2, ЛО62-1, ЛС59-1 | 3,00 | |||
3,50 | -0,20 | -0,24 | -0,28 | |
4,00 | ||||
4,50 | -0,22 | -0,27 | -0,32 | |
5,00 | ||||
5,50 | -0,25 | -0,30 | -0,36 | |
6,00 | ||||
6,50 | ||||
7,00 | -0,27 | -0,36 | -0,40 | |
8,00 | ||||
9,00 | -0,30 | -0,40 | -0,43 | |
10,00 | ||||
11,00 | -0,36 | -0,50 | -0,60 | |
12,00 | ||||
1.2.5. Ширина холоднокатаных листов и предельные отклонения по ширине должны соответствовать приведенным в табл.5.
Таблицa 5
Размеры, мм
Марка латуни | Ширина при длине | Предельное отклонение по ширине | |||
1410 | 1500 | 2000 | до 3 включ. | св. 3 | |
ЛС59-1 | - | 500 | - | -5 | -10 |
550 | |||||
600 | |||||
Л90, Л85, Л80, Л68, Л63, ЛМц58-2, ЛО62-1 | 710 | 600 | 800 | ||
1000 | |||||
1.2.6. Длина холоднокатаных листов и предельные отклонения по длине должны соответствовать приведенным в табл.6.
Таблица 6
Размеры, мм
Марка латуни | Длина | Предельное отклонение по длине | |
до 3 включ. | св. 3 | ||
ЛС59-1 | 1500 | -10 | -20 |
Л90, Л85, Л80, Л68, Л63, | 1410 | ||
1500 | |||
2000 | |||
1.2.7. Допускаются короткомерные горячекатаные и холоднокатаные листы в количестве не более 15% массы партии. Размеры короткомерных листов должны быть не менее 500х1000 мм.
1.2.8. Толщина и предельные отклонения по толщине холоднокатаных полос должны соответствовать приведенным в табл.7.
Таблица 7
Размеры, мм
Предельное отклонение по толщине полос при ширине | ||||
Марка латуни | Толщина полос | Нормальной точности | Повышенной точности | |
от 40 до 300 включ. | св. 300 до 600 включ. | |||
Л90, Л85, Л80, Л68, Л63 | 0,40 | -0,06 | -0,04 | - |
0,50 | -0,05 | |||
0,60 | -0,07 | |||
0,70 | -0,08 | -0,06 | ||
0,80 | ||||
0,90 | -0,09 | -0,08 | ||
Л90, Л85, Л80, Л68, Л63, ЛМц58-2, ЛС59-1, ЛО62-1 | 1,00 | -0,07 | ||
1,10 | -0,10 | -0,09 | ||
1,20 | ||||
1,30 | ||||
1,40 | -0,09 | |||
1,50 | ||||
1,60 | -0,12 | -0,10 | ||
1,80 | ||||
2,00 | - | |||
2,20 | ||||
2,50 | ||||
3,00 | -0,16 | -0,12 | -0,12 | |
3,50 | ||||
4,00 | ||||
4,50 | -0,20 | -0,14 | -0,14 | |
5,00 | ||||
5,50 | ||||
6,00 | -0,25 | -0,16 | -0,16 | |
6,50 | ||||
7,00 | ||||
8,00 | ||||
9,00 | -0,30 | -0,18 | -0,18 | |
10,00 | ||||
Л90, Л85, Л80, Л68, Л63 | 11,00 | -0,36 | - | - |
12,00 | ||||
1.2.9. Ширина и предельные отклонения по ширине холоднокатаных полос нормальной точности должны соответствовать приведенным в табл.8.
Таблица 8
мм
Ширина полос | Предельное отклонение по ширине нормальной точности при толщине | ||||
до 1,0 | св. 1,0 | св. 2,0 | св. 4,0 | св. 6,0 | |
40, 50, 60, 70, 80, 90, 100 | -0,7 | -0,8 | -2,0 | - | - |
150, 200, 250, 300 | -1,5 | -1,5 | -3,0 | -3,5 | -7,0 |
350, 400, 450, 500, 550, 600 | -2,0 | -3,0 | -4,0 | ||
1.2.10. Ширина и предельные отклонения по ширине холоднокатаных полос повышенной точности должны соответствовать приведенным в табл.9.
Таблица 9
мм
Ширина полос | Предельное отклонение по ширине повышенной точности | |
до 1,0 включ. | св. 1,0 до 2,0 включ. | |
40, 50, 60, 70, 80, 90, 100, 150 | -0,5 | - |
-0,8 | ||
200, 250, 300 | -1,0 | -1,3 |
350, 400, 450, 500, 550, 600 | -1,2 | -1,6 |
1.2.11. Полосы изготовляют длиной от 500 до 2000 мм мерной, кратной мерной с интервалом 500 мм и немерной длины.
Предельное отклонение по длине мерной и кратной мерной длине - минус 10 мм.
1.2.12. Теоретическая масса 1 мгорячекатаных и холоднокатаных листов и полос приведена в приложении 1.
1.2.13. Размеры, точность изготовления, состояние материала, марку латуни листов и полос потребитель указывает в заказе. При отсутствии требований в заказе точность изготовления определяет изготовитель.
Условные обозначения представляют по схеме:
при следующих сокращениях:
Способ изготовления:
горячекатаный - Г;
холоднокатаный - Д.
Форма сечения:
прямоугольный (ая) - ПР.
Точность изготовления (для полос):
нормальная по толщине и ширине - Н;
повышенная по толщине и ширине - П;
нормальная по толщине и повышенная по ширине - К;
повышенная по толщине и нормальная по ширине - И.
Точность изготовления по длине холоднокатаных листов:
нормальная - Н;
повышенная - П;
высокая - В.
Состояние:
мягкое - М;
полутвердое - П;
твердое - Т;
особотвердое - О.
Длина (мерность):
немерная - НД;
мерная - МД;
кратная мерной - КД.
Особые условия:
антимагнитная - AM.
Мерность указывается только для полос.
Вместо отсутствующих данных ставится знак X, кроме обозначения длины (мерности) и особых условий.
Примеры условных обозначений:
Лист горячекатаный размером 5х600х1500 мм из латуни марки Л63:
Лист ГПPXX 5х600х1500 Л63 ГОСТ 931-90
Лист холоднокатаный, повышенной точности изготовления по длине, мягкий, размером 4х1000х2000 мм из латуни марки ЛМц58-2:
Лист ДПРПМ 4х1000х2000 ЛМц 58-2 ГОСТ 931-90
Полоса холоднокатаная, нормальной точности изготовления по толщине и ширине, твердая, размером 2,5х400х1000 мм, мерной длины, из латуни марки ЛО62-1:
Полоса ДПРНТ 2,5х400х1000 МД ЛО62-1 ГОСТ 931-90
(Поправка).
1.3. Характеристики
1.3.1. Листы и полосы изготовляют из латуней марок по ГОСТ 15527*:
горячекатаные листы изготовляют из латуней марок Л63, ЛО62-1, ЛС59-1 и ЛМц58-2;
холоднокатаные листы и полосы - из латуней марок Л90, Л85, Л80, Л68, Л63, ЛМц58-2, ЛО62-1 и ЛС59-1.
_______________
* Действует ГОСТ 15527-2004. - Примечание "КОДЕКС".
1.3.2. Пo состоянию материала листы и полосы изготовляют:
мягкими - из латуней марок Л90, Л85, Л80, Л68, Л63, ЛМц58-2 и ЛС59-1;
полутвердыми - из латуней марок Л90, Л85, Л80, Л68, Л63, ЛС59-1 и ЛМц58-2;
твердыми - из латуней марок Л90, Л85, Л80, Л68, Л63, ЛС59-1, ЛМц58-2 и ЛО62-1;
особотвердыми из латуней марок Л68 и Л63;
пружинно-твердыми - из латуни марки Л63.
Особотвердые листы и полосы изготовляют толщиной до 2 мм включительно.
1.3.3. Поверхность листов и полос должна быть гладкой, чистой, свободной от загрязнений, затрудняющих визуальный осмотр.
Допускаются отдельные мелкие поверхностные дефекты, не выводящие листы и полосы при контрольной зачистке за предельные отклонения по толщине.
Допускаются для мягких листов и полос малозначительные местные потемнения, покраснения и цвета побежалости.
1.3.4. Мягкие листы и полосы должны быть протравлены.
После безокислительного отжига мягкие листы и полосы травлению не подлежат.
1.3.5. Характеристики базового исполнения
1.3.5.1. Листы и полосы должны быть плоскими.
Прогиб не должен превышать 1,0 мм на каждые 100 мм ширины и 20 мм на каждые 1000 мм длины.
1.3.5.2. Листы и полосы должны быть ровно обрезаны и не должны иметь значительных заусенцев.
Заворот кромки, волнистая и рваная кромка не допускаются.
Косина реза не должна превышать предельные отклонения по ширине и длине.
1.3.5.3. Серповидность полос толщиной до 4 мм не должна превышать 5 мм на 1 м длины, толщиной свыше 4 мм - 8 мм на 1 м длины.
1.3.5.4. Механические свойства листов и полос должны соответствовать приведенным в табл.10.
Таблица 10
Способ изготов- ления | Марка латуни | Состо- | Толщина, | Ширина, | Временное сопротивление | Относи- тельное удлинение | ||
листа | полосы | листа | полосы | |||||
Холодно- катаные | Л90 | Мягкий | От 0,40 | От 0,40 | До 800 | До 600 | От 230(24) | 36 |
От 0,70 | До 600 | |||||||
Полу- твердый | От 0,40 | От 0,40 | До 800 | До 600 | От 290(30) | 10 | ||
От 0,70 | До 1000 | |||||||
Твердый | От 0,40 | От 0,40 | До 800 | До 600 | Не менее | 3 | ||
От 0,70 | До 1000 | |||||||
Л85 | Мягкий | От 0,40 | От 0,40 | До 800 | До 600 | От 250 (26) | 38 | |
От 0,70 | До 1000 | |||||||
Полу- твердый | От 0,40 | От 0,40 | До 800 | До 600 | От 320 (33) | 12 | ||
От 0,70 | До 1000 | |||||||
Твердый | От 0,40 | От 0,40 | До 800 | До 600 | Не менее | 3 | ||
От 0,70 | До 1000 | |||||||
Л80 | Мягкий | От 0,40 | От 0,40 | До 800 | До 600 | От 260 (27) | 40 | |
От 0,70 | До 1000 | |||||||
Полу- твердый | От 0,40 | От 0,40 | До 800 | До 600 | От 330(34) | 15 | ||
От 0,70 | До 1000 | |||||||
Твердый | От 0,40 | От 0,40 | До 800 | До 600 | Не менее | 3 | ||
От 0,70 | До 1000 | |||||||
Л68 | Мягкий | От 0,40 | От 0,40 | До 800 | До 600 | От 290(30) | 42 | |
От 0,70 | До 1000 | |||||||
Полу- твердый | От 0,40 | От 0,40 | До 800 | До 600 | От 340(35) | 20 | ||
От 0,70 | До 1000 | |||||||
Твердый | От 0,40 | От 0,40 | До 800 | До 600 | От 430 (44) | 10 | ||
От 0,70 | До 1000 | |||||||
Особо- твердый | От 0,40 | От 0,40 | До 600 | До 600 | Не менее | - | ||
Л63 | Мягкий | От 0,40 | От 0,40 | До 800 | До 600 | От 290(30) | 38 | |
От 0,70 | До 1000 | |||||||
Полу- твердый | От 0,40 | От 0,40 | До 800 | До 600 | От 340(35) | 20 | ||
От 0,70 | До 1000 | |||||||
Твердый | От 0,40 | От 0,40 | До 800 | До 600 | От 410(42) | 8 | ||
От 0,70 | До 1000 | |||||||
Особо- твердый | От 0,40 | От 0,40 | До 600 | До 600 | От 510(52) | 4 | ||
Пружинно- твердый | От 0,40 | От 0,40 | До 800 | До 600 | Не менее | - | ||
От 0,70 | До 1000 | |||||||
ЛС59-1 | Мягкий | От 3,00 | От 1,00 | До 600 | До 600 | От 340(35) | 25 | |
Твердый | От 3,00 | От 1,00 | До 600 | До 600 | От 460(47) | 5 | ||
ЛМц58-2 | Мягкий | От 1,00 | От 1,00 | До 1000 | До 600 | От 380(39) | 30 | |
Полу- твердый | От 1,00 | От 1,00 до 10,00 | До 1000 | До 600 | От 420(43) | 15 | ||
Твердый | От 1,00 | От 1,00 | До 1000 | До 600 | Не менее | 3 | ||
ЛО62-1 | Твердый | От 1,00 | От 1,00 | До 1000 | До 600 | Не менее | 5 | |
Горяче- катаные | Л63 | - | От 5,00 | - | От 600 | - | От 290(30) | 30 |
ЛО62-1 | - | От 5,00 | - | От 600 | - | От 340(35) | 20 | |
ЛС59-1 | - | От 5,00 | - | От 600 | - | От 360(37) | 18 | |
ЛМц58-2 | - | От 5,00 | - | От 600 | - | Не менее | 25 | |
Примечания:
1. Верхний предел временного сопротивления может быть выше, но не более чем на 20 Н/мм (2 кгс/мм
) при сохранении относительного удлинения не менее приведенного в табл.10.
2. Значения твердости указаны в приложении 2.
3. Глубина выдавливания при испытании на вытяжку сферической лунки приведена в приложении 3.
1.3.5.5. Холоднокатаные листы и полосы толщиной 1,0-10,0 мм должны выдерживать испытание на изгиб в холодном состоянии вдоль прокатки:
мягкие - на 180°,
полутвердые - на 90°
вокруг оправки с радиусом закругления, равным толщине листа или полосы. Появление следов надрывов и трещин не допускается.
1.3.6. Характеристики исполнения, устанавливаемые по требованию потребителя
1.3.6.1. Листы горячекатаные изготовляют промежуточных размеров по толщине, ширине, длине с предельными отклонениями по ближайшему большему размеру, приведенными в табл.1, 2, 3.
1.3.6.2. Листы холоднокатаные изготовляют промежуточных размеров по толщине, ширине, длине с предельными отклонениями по ближайшему большему размеру, приведенными в табл.4, 5 и 6.
1.3.6.3. Листы холоднокатаные изготовляют повышенной точности по длине с предельным отклонением для листов толщиной до 3 мм включительно - минус 5 мм, толщиной свыше 3 мм - минус 10 мм.
1.3.6.4. Листы холоднокатаные изготовляют высокой точности по длине с предельным отклонением для листов толщиной свыше 3 мм - минус 6 мм.
1.3.6.5. Полосы изготовляют промежуточных размеров по толщине, ширине, длине с предельными отклонениями по ближайшему большему размеру, приведенными в табл.7, 8 и 9.
При этом полосы повышенной точности по ширине изготовляют:
толщиной до 1 мм включ. - шириной до 100 мм включ.;
толщиной до 2 мм включ. - шириной от 150 до 600 мм включ.
Полосы мерной и кратной мерной длины изготовляют с предельным отклонением по длине - минус 10 мм.
1.3.6.6. Листы и полосы изготовляют повышенной точности по прогибу - не более 0,8 мм на каждые 100 мм ширины и не более 15 мм на каждые 1000 мм длины.
1.3.6.7. Листы и полосы изготовляют антимагнитными в соответствии с ГОСТ 15527.
1.3.6.8. Листы и полосы в полутвердом состоянии из латуни марки Л63 изготовляют с временным сопротивлением от 380 (39) до 470 (48) Н/мм
(кгс/мм
).
1.3.6.9. Холоднокатаные листы и полосы изготовляют с механическими свойствами, приведенными в табл.11.
Таблицa 11
Способ изготовления | Марка латуни | Состояние материала | Временное сопротивление | Относительное удлинение |
Холоднока- таные | Л90 | Мягкий | От 230(24) | 36 |
Полутвердый | Oт 290(30) | 10 | ||
Л68 | Мягкий | От 280(29) | 42 | |
Л63 | Мягкий | От 290(30) | 40 | |
Полутвердый | От 350(35) | 22 | ||
Твердый | От 430(42) | 8 |
1.3.7. Характеристики исполнения, устанавливаемые по согласованию потребителя и изготовителя
1.3.7.1. Допускается требования к качеству поверхности устанавливать по эталонам, утвержденным в установленном порядке.
1.3.7.2. Горячекатаные и холоднокатаные листы толщиной свыше 4 мм изготовляют с обкатанной кромкой без обрезки.
1.3.7.3. Холоднокатаные листы и полосы толщиной 1-10 мм, прошедшие испытания на изгиб вдоль направления прокатки, испытаниям на растяжение не подвергают.
1.3.7.4. Допускается для испытания на растяжение и изгиб отбирать два листа или две полосы от партии.
1.4. Маркировка
1.4.1. На конце каждого листа или полосы на прочно прикрепленном бумажном ярлыке должны быть нанесены не смываемой водой краской:
товарный знак или товарный знак и наименование предприятия-изготовителя;
условное обозначение листов или полос;
номер партии;
штамп или клеймо отдела технического контроля.
При отгрузке листов и полос, связанных в пачки, приведенные данные наносят на ярлык, прикрепляемый к пачке, или наклеенный на верхнюю полосу или верхний лист пачки.
1.4.2. Транспортная маркировка, место нанесения, способ исполнения транспортной маркировки, способ крепления ярлыка - по ГОСТ 14192 с нанесением манипуляционного знака "Беречь от влаги".
При транспортировании грузов воздушным транспортом ярлыки должны быть деревянными или металлическими и крепиться с двух сторон.
1.5. Упаковка
1.5.1. Упаковка должна обеспечивать защиту листов и полос от механических повреждений, воздействия влаги и активных химических веществ в процессе транспортирования и хранения.
Листы и полосы толщиной до 1,5 мм должны быть упакованы в плотные дощатые или решетчатые ящики.
Допускается упаковывать листы и полосы толщиной до 1,5 мм в пачки. Пачки должны быть обернуты в два слоя бумагой и защищены сверху и снизу досками (только для полос) или деревянными щитами, размеры которых соответствуют ширине и длине пачки, и перевязаны не менее чем в двух местах или крестообразно лентой размером не менее 0,3х20 мм или проволокой толщиной не менее 2 мм.
Листы и полосы толщиной от 1,5 мм и более должны быть упакованы в пачки с односторонней защитой перевязанными щитами по размерам пачки, как указано выше.
Допускается листы и полосы толщиной от 1,5 мм и более, массой каждого листа или полосы, превышающей 30 кг, укладывать в контейнеры по ГОСТ 18477 или в универсальные или специализированные контейнеры по нормативно-технической документации без упаковки и без защиты деревянными щитами.
При этом листы и полосы должны быть уложены и укреплены таким образом, чтобы не перемещались при транспортировании и погрузочно-разгрузочных работах. В качестве упаковочных средств и материалов и средств скрепления должны применяться:
ящики типов I, II-1, II-2, III-3, V-1, V-2, VI-1, VI-3 по ГОСТ 2991 и типов I-1, I-2 по ГОСТ 10198*;
_______________
* Действует ГОСТ 10198-91. - Примечание "КОДЕКС".
размеры ящиков по ГОСТ 21140 или по нормативно-технической документации;
доски и щиты по нормативно-технической документации;
бумага марок В-70, В-78 или Б по ГОСТ 2228;
лента пo ГОСТ 3560;
проволока по ГОСТ 3282.
Упаковка и транспортирование листов и полос для районов Крайнего Севера или приравненных к ним районов - по ГОСТ 15846*.
_______________
* Действует ГОСТ 15846-2002. - Примечание "КОДЕКС".
1.5.2. Грузовые места должны быть сформированы в транспортные пакеты. Габаритные размеры пакетов - по ГОСТ 24597.
Средства скрепления в транспортные пакеты - по ГОСТ 21650.
Масса грузового места или транспортного пакета не должна превышать 1250 кг.
1.5.3. Пакетирование проводят на поддонах по ГОСТ 9557 или с использованием брусков размером не менее 50х50 мм и длиной, равной ширине грузового места, в соответствии с требованиями ГОСТ 26663.
Транспортные пакеты должны быть обвязаны не менее чем в двух местах или крестообразно проволокой диаметром не менее 3 мм по ГОСТ 3282 или лентой размером не менее 0,5х30 мм по ГОСТ 3560.
Концы обвязочной проволоки скрепляют скруткой не менее пяти витков, лентой - в замок.
1.5.4. В каждый контейнер должен быть вложен упаковочный лист с указанием данных, приведенных в п.1.4.1, и массы партии (нетто).
2. ПРИЕМКА
2.1. Листы и полосы принимают партиями. Партия должна состоять из листов и полос одного размера, одного способа изготовления, одной марки латуни, одного состояния материала, одной точности изготовления и сопровождаться одним документом о качестве, содержащим:
товарный знак или товарный знак и наименование предприятия-изготовителя;
условное обозначение листов или полос;
результаты испытаний;
номер партии;
массу нетто партии.
2.2. Химический состав определяют на двух листах или двух полосах от партии.
Допускается на предприятии-изготовителе отбор проб проводить от расплавленного металла.
2.3. Для контроля толщины листов и полос от партии отбирают листы и полосы "вслепую" (методом наибольшей объективности) по ГОСТ 18321. План контроля - по ГОСТ 18242*.
________________
* На территории Российской Федерации действует ГОСТ Р 50779.71-99.
Количество контролируемых листов и полос отбирают в соответствии с табл.12.
Таблица 12
Количество листов или полос в партии | Количество контролируемых листов или полос | |||
От | 2 | до | 8 | 2 |
" | 9 | " | 15 | 3 |
" | 16 | " | 25 | 5 |
" | 26 | " | 50 | 8 |
" | 51 | " | 90 | 13 |
" | 91 | " | 150 | 20 |
" | 151 | " | 280 | 32 |
" | 281 | " | 500 | 50 |
" | 501 | " | 1200 | 80 |
" | 1201 | " | 3200 | 125 |
При контроле толщины количество контролируемых точек на каждом отобранном листе или полосе определяют в зависимости от общего числа участков длиной 100 мм по периметру листа или полосы по табл.13.
Tаблица 13
Количество участков в листе | Количество контролируемых точек в листе или полосе | Браковочное число | |||
От | 2 | до | 8 | 3 | 1 |
" | 9 | " | 15 | 5 | 1 |
" | 16 | " | 25 | 8 | 2 |
" | 26 | " | 50 | 8 | 2 |
" | 51 | " | 90 | 13 | 2 |
" | 91 | " | 150 | 20 | 3 |
" | 151 | " | 280 и более | 32 | 4 |
При периметре, не кратном 100 мм, конечный участок длиной свыше 50 мм, но не более 100 мм принимается за один участок.
Отобранные листы и полосы считают годными по толщине, если число результатов измерений, не соответствующих предельным отклонениям, приведенным в табл.1, 4, 7, менее браковочного числа, приведенного в табл.13.
2.3.1. Для контроля ширины, длины и косины реза листов и полос от партии отбирают листы и полосы в соответствии с табл.14.
Таблица 14
Количество листов | Количество контролируемых листов или полос | Браковочное число | |||
От | 2 | до | 8 | 2 | 1 |
" | 9 | " | 15 | 3 | 1 |
" | 16 | " | 25 | 5 | 2 |
" | 26 | " | 50 | 8 | 2 |
" | 51 | " | 90 | 13 | 2 |
" | 91 | " | 150 | 20 | 3 |
" | 151 | " | 280 | 32 | 4 |
" | 281 | " | 500 | 50 | 4 |
" | 501 | " | 1200 | 80 | 4 |
" | 1201 | " | 3200 | 125 | 4 |
Партия считается годной, если число листов или полос, не соответствующих требованиям табл.2, 3, 5, 8, 9 и пп.1.2.11 и 1.3.5.2, менее браковочного числа, приведенного в табл.14.
Допускается изготовителю при получении неудовлетворительного результата на одном из отобранных листов или на одной из отобранных полос контролировать каждый лист или каждую полосу партии.
Допускается изготовителю проводить контроль листов и полос в процессе производства.
2.4. Проверке качества поверхности подвергают каждый лист или полосу партии.
2.5. Проверке прогиба подвергают два листа или две полосы от партии.
2.6. Для испытаний на растяжение (временное сопротивление и относительное удлинение) и изгиб отбирают по два листа или по две полосы от каждых полных 1000 кг и менее.
Для листов и полос толщиной более 8 мм для испытаний на растяжение и изгиб отбирают по два листа или по две полосы от каждых полных 3000 кг или менее.
Относительное удлинение определяют для листов и полос толщиной от 0,5 мм и более.
Испытание листов и полос из латуни марки ЛС59-1 на изгиб проводят по требованию потребителя.
2.7. При получении неудовлетворительных результатов испытания хотя бы по одному из показателей по нему проводят повторные испытания на удвоенной выборке, взятой от той же партии.
Результаты повторного испытания распространяют на всю партию.
3. МЕТОДЫ КОНТРОЛЯ
3.1. Для анализа химического состава листов и полос от каждого отобранного листа или от каждой отобранной полосы вырезают по одному образцу.
Отбор и подготовку проб для химического анализа проводят по ГОСТ 24231.
Анализ химического состава проводят по ГОСТ 25086, ГОСТ 1652.1-ГОСТ 1652.13 и ГОСТ 9716.1-ГОСТ 9716.3 или другими методами, не уступающими по точности указанным.
При разногласиях анализ химического состава проводят по ГОСТ 25086, ГОСТ 1652.1-ГОСТ 1652.13.
3.2. Проверку качества поверхности и кромки листов и полос проводят осмотром без применения увеличительных приборов.
3.3. Толщину листов и полос измеряют микрометром по ГОСТ 6507 или по ГОСТ 4381.
Измерение толщины листов и полос проводят на расстоянии не менее 100 мм от вершины угла и не менее 15 мм от края листа или 10 мм от края полосы.
Контроль толщины листов или полос проводят с приемочным уровнем дефектности =4%.
Толщину листов и полос измеряют на каждом отобранном листе или на каждой отобранной полосе в точках, расположенных равномерно-случайно по периметру листа или полосы.
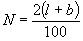
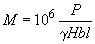
Число листов или полос в партии (), шт., вычисляют по формуле
,
где - масса партии, кг;
- плотность материала, г/см
;
- толщина листа (полосы), мм;
- ширина листа (полосы), мм;
- длина листа (полосы), мм.
Количество контролируемых участков в листе или полосе (), шт., вычисляют по формуле
.
Результаты измерения толщины листов или полос, не соответствующие предельным отклонениям, приведенным в табл.1, 4, 7, не должны отличаться от допускаемых более чем на половину поля допуска.
3.4. Измерение ширины, длины и косины реза листов, ширины и длины полос проводят металлической линейкой по ГОСТ 427 или рулеткой измерительной металлической по ГОСТ 7502, или штангенциркулем по ГОСТ 166. Измерение ширины проводят на одном месте на расстоянии 100 мм от края листа или полосы.
Измерение косины реза проводят по ГОСТ 26877*.
_______________
* Действует на ГОСТ 26877-91. - Примечание "КОДЕКС".
3.5. Измерение прогиба листов и полос проводят по ГОСТ 26877.
3.6. Испытание на изгиб проводят по ГОСТ 14019*.
_______________
* Действует ГОСТ 14019-2003. - Примечание "КОДЕКС".
3.7. Серповидность измеряют по ГОСТ 26877.
3.8. Для испытаний нa растяжение от каждого отобранного листа или каждой отобранной полосы вырезают по одному образцу. Отбор образцов - по ГОСТ 24047.
Испытание на растяжение листов и полос толщиной от 0,4 до 3 мм проводят по ГОСТ 11701 на образцах типа I или II с начальной расчетной длиной =11,3
, шириной 20 или 15 мм.
Испытание на растяжение листов и полос толщиной 3 мм и более проводят по ГОСТ 1497 на образцах типа I или II шириной 20 мм для листов и полос толщиной до 7 мм включительно и шириной 30 мм для листов и полос толщиной более 7 мм. Начальная расчетная длина образцов равна 11,3.
3.9. Допускается изготовителю применять другие средства измерений и методы испытаний, обеспечивающие необходимую точность, установленную в настоящем стандарте.
В случае разногласий применяют средства измерения и методы контроля, установленные в пп.3.2-3.8.
4. ТРАНСПОРТИРОВАНИЕ И ХРАНЕНИЕ
4.1. Листы и полосы транспортируют всеми видами транспорта в крытых транспортных средствах в соответствии с правилами перевозки грузов, действующими на транспорте данного вида, и условиями погрузки и крепления грузов, утвержденными Министерством путей сообщения СССР.
Транспортирование листов и полос железнодорожным транспортом проводят мелкими, малотоннажными и повагонными отправками.
При длине листов или полос свыше 3 м и массы грузового места более 1250 кг транспортирование осуществляется в крытых вагонах или на открытом подвижном составе в контейнерах по ГОСТ 18477 или по нормативно-технической документации.
При отсутствии перегрузки в пути допускается листы и полосы транспортировать в контейнерах по ГОСТ 18477 или по нормативно-технической документации в пакетированном виде без упаковки в ящики и без защиты деревянными щитами.
4.2. Листы хранят в крытых помещениях. При хранении листы и полосы должны быть защищены от действия влаги, механических повреждений и воздействия активных химических реагентов. При соблюдении указанных условий хранения потребительские свойства листов и полос при хранении не изменяются.
ПРИЛОЖЕНИЕ 1 (справочное). ТЕОРЕТИЧЕСКАЯ МАССА 1 кв.м ГОРЯЧЕКАТАНЫХ И ХОЛОДНОКАТАНЫХ ЛИСТОВ И ПОЛОС
ПРИЛОЖЕНИЕ 1
Справочное
ТЕОРЕТИЧЕСКАЯ МАССА 1 м ГОРЯЧЕКАТАНЫХ И ХОЛОДНОКАТАНЫХ
ЛИСТОВ И ПОЛОС
Таблицa 15
Толщина полосы | Теоретическая масса 1 м | |
Л90, Л85, Л80 | Л68, Л63, ЛС59-1, ЛМц58-2, ЛО62-1 | |
0,4 | 3,48 | 3,40 |
0,5 | 4,35 | 4,25 |
0,6 | 5,22 | 5,10 |
0,7 | 6,09 | 6,05 |
0,8 | 6,96 | 6,80 |
0,9 | 7,83 | 7,65 |
1,0 | 8,70 | 8,50 |
1,1 | 9,57 | 9,35 |
1,2 | 10,44 | 10,20 |
1,3 | 11,31 | 11,05 |
1,35 | 11,75 | 11,48 |
1,4 | 12,18 | 11,90 |
1,5 | 13,05 | 12,75 |
1,6 | 13,92 | 13,60 |
1,65 | 14,36 | 14,03 |
1,8 | 15,66 | 15,30 |
2,0 | 17,40 | 17,00 |
2,2 | 19,14 | 18,70 |
2,25 | 19,58 | 19,13 |
2,5 | 21,75 | 21,25 |
2,75 | 23,93 | 23,38 |
3,0 | 26,10 | 25,50 |
3,5 | 30,45 | 29,75 |
4,0 | 34,80 | 34,00 |
4,5 | 39,15 | 38,15 |
5,0 | 43,50 | 42,50 |
5,5 | 47,85 | 46,75 |
6,0 | 52,20 | 51,00 |
6,5 | 56,55 | 55,25 |
7,0 | 60,90 | 59,50 |
7,5 | 65,25 | 63,75 |
8,0 | 69,60 | 68,00 |
9,0 | 78,30 | 76,50 |
10,0 | 87,00 | 85,00 |
11,0 | 95,70 | 93,50 |
12,0 | 104,40 | 110,50 |
13,0 | 113,10 | 102,00 |
14,0 | 121,80 | 119,00 |
15,0 | 130,50 | 127,00 |
16,0 | 139,20 | 136,00 |
17,0 | 147,90 | 144,50 |
18,0 | 156,60 | 153,00 |
19,0 | 165,30 | 161,50 |
20,0 | 174,00 | 170,00 |
21,0 | 182,70 | 178,50 |
22,0 | 191,40 | 187,00 |
25,0 | 217,50 | 212,50 |
Примечание. При вычислении теоретической массы плотность латуни марок Л90, Л85, Л80 принята равной 8,7 г/см, а латуни марок Л68, Л63, ЛС59-1, ЛМц58-2 и ЛО62-1 - равной 8,5 г/гм
.
ПРИЛОЖЕНИЕ 2 (справочное). ТВЕРДОСТЬ ХОЛОДНОКАТАНЫХ ЛИСТОВ И ПОЛОС
ПРИЛОЖЕНИЕ 2
Справочное
Таблица 16
Марка латуни | Состояние материала | Твердость по Бринеллю |
Л90 | Мягкий | 60 |
Полутвердый | 85 | |
Твердый | 110 | |
Л85 | Мягкий | 65 |
Полутвердый | 95 | |
Твердый | 110 | |
Л80 | Мягкий | 65 |
Полутвердый | 95 | |
Твердый | 120 | |
Л68 | Мягкий | 70 |
Полутвердый | 105 | |
Твердый | 125 | |
Особотвердый | 155 | |
Л63 | Мягкий | 70 |
Полутвердый | 105 | |
Твердый | 135 | |
Особотвердый | 160 | |
Пружинно-твердый | 180 | |
ЛС59-1 | Мягкий | 100 |
Твердый | 200 | |
ЛМц58-2 | Мягкий | 85 |
Полутвердый | 100 | |
Твердый | 120 | |
ЛО62-1 | Твердый | 145 |
ПРИЛОЖЕНИЕ 3 (справочное). ГЛУБИНА ВЫТЯЖКИ ПРИ ИСПЫТАНИИ НА ВЫТЯЖКУ СФЕРИЧЕСКОЙ ЛУНКИ ПРИ РАДИУСЕ ПУАНСОНА 10 мм
ПРИЛОЖЕНИЕ 3
Справочное
Таблица 17
Размеры, мм
Состояние | Марка | Глубина выдавливания при толщине листа или полосы | |||
0,40-0,45 | 0,50 | 0,60-1,0 | 1,2-1,5 | ||
Мягкий | Л68 | Не менее 10,0 | Не менее 11,0 | Не менее 11,5 | Не менее 12,0 |
Л63 | Не менее 9,5 | Не менее 9,5 | Нe менее 10,0 | Не менее 10,5 | |
Полутвердый | Л68 | 8,0-10,0 | 9,0-11,0 | 9,5-11,5 | 11,0-13,0 |
Л63 | 7,0-9,0 | 7,0-9,0 | 7,5-9,5 | 8,0-10,0 | |
Текст документа сверен по:
официальное издание
М.: ИПК Издательство стандартов, 2003
Разместите заказ
сами сделают вам предложение

