ГОСТы сталей. ГОСТ 7667-80
ГОСТ 7667-80
Группа В75
МЕЖГОСУДАРСТВЕННЫЙ СТАНДАРТ
КАНАТ ДВОЙНОЙ СВИВКИ ТИПА ЛК-3 КОНСТРУКЦИИ 6х25(1+6; 6+12)+7х7(1+6)
Сортамент
Two lay rope type ЛК-3 construction 6х25(1+6; 6+12)+7х7(1+6)
Dimensions
МКС 77.140.65
ОКП 12 5100, 12 5200
Дата введения 1982-01-01
Постановлением Государственного комитета СССР по стандартам от 23 апреля 1980 г. N 1835 дата введения установлена 01.01.82
Ограничение срока действия снято Постановлением Госстандарта от 22.11.91 N 1790
ВЗАМЕН ГОСТ 7667-69
Издание (май 2011 г.) с Изменениями N 1, 2, утвержденными в ноябре 1986 г., ноябре 1991 г. (ИУС 2-87, 2-92), Поправкой ИУС 4-2005)
1. Настоящий стандарт распространяется на стальные канаты двойной свивки с линейным касанием проволок в прядях типа ЛК-3 с металлическим сердечником МС.

2. Канаты подразделяются по признакам
по назначению:
грузолюдские - ГЛ,
грузовые - Г;
по механическим свойствам марок; ВК, В, 1;
по виду покрытия поверхности проволок в канате:
из проволоки без покрытия,
из оцинкованной проволоки в зависимости от поверхностной плотности цинка: С, Ж, ОЖ;
по направлению свивки:
правой,
левой - Л;
по сочетанию направлений свивки элементов каната:
крестовой,
односторонней - О;
по способу свивки:
нераскручивающиеся - Н,
раскручивающиеся;
по точности изготовления:
нормальной,
повышенной - Т;
по степени уравновешенности:
рихтованные - Р,
нерихтованные.
Примеры условных обозначений
Канат диаметром 9,5 мм, грузолюдского назначения, из проволоки без покрытия, марки В, правой крестовой свивки, нераскручивающийся, нерихтованный, повышенной точности, маркировочной группы 1770 Н/мм (180 кгс/мм
):
Канат 9,5-ГЛ-В-Н-Т-1770 ГОСТ 7667-80
То же, диаметром 34,0 мм, грузового назначения, марки I, оцинкованный по группе Ж, левой односторонней свивки, раскручивающийся, рихтованный, нормальной точности, маркировочной группы 1370 Н/мм (140 кгс/мм
):
Канат 34-Г-I-Ж-Л-О-Р-1370 ГОСТ 7667-80
(Поправка).
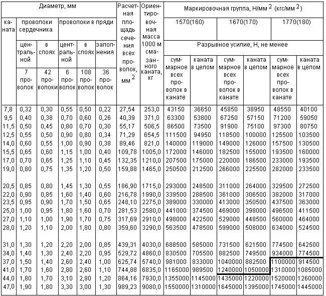
3. Диаметр каната и основные параметры его должны соответствовать указанным в таблице.
Диаметр, мм | Расчетная площадь | Ориентировочная | Маркировочная группа, Н/мм | ||||||||
ка- | проволоки сердечника | проволоки | 1370 (140) | 1470 (150) | |||||||
цент- раль- ной | в слоях | цент- раль- ной | в слоях | запо- | Разрывное усилие, Н, | ||||||
7 | 42 про- воло- | 6 | 108 про- во- | 36 про- во- | суммар- | каната в целом | суммар- | каната | |||
7,8 | 0,32 | 0,30 | 0,55 | 0,50 | 0,22 | 27,54 | 253,0 | - | - | - | - |
9,5 | 0,40 | 0,38 | 0,70 | 0,60 | 0,26 | 40,39 | 371,0 | - | - | - | - |
11,5 | 0,50 | 0,45 | 0,80 | 0,70 | 0,30 | 55,17 | 506,5 | - | - | - | - |
12,5 | 0,55 | 0,50 | 0,90 | 0,80 | 0,34 | 71,29 | 654,5 | - | - | - | - |
14,0 | 0,60 | 0,55 | 1,00 | 0,90 | 0,38 | 89,46 | 821,0 | - | - | - | - |
15,5 | 0,65 | 0,60 | 1,15 | 1,00 | 0,40 | 109,78 | 1005,0 | - | - | - | - |
17,0 | 0,70 | 0,65 | 1,25 | 1,10 | 0,45 | 132,35 | 1210,0 | - | - | - | - |
19,0 | 0,80 | 0,75 | 1,35 | 1,20 | 0,50 | 159,88 | 1465,0 | 219000 | 186000 | 235000 | 199000 |
20,5 | 0,85 | 0,80 | 1,45 | 1,30 | 0,55 | 186,90 | 1715,0 | 256000 | 217500 | 274500 | 233000 |
22,0 | 0,90 | 0,85 | 1,60 | 1,40 | 0,60 | 216,78 | 1990,0 | 297000 | 252000 | 318500 | 270000 |
23,5 | 0,95 | 0,90 | 1,70 | 1,50 | 0,65 | 248,10 | 2275,0 | 340000 | 288500 | 364500 | 309500 |
25,0 | 1,00 | 0,95 | 1,80 | 1,60 | 0,70 | 281,53 | 2580,0 | 386000 | 327500 | 413500 | 351000 |
27,0 | 1,10 | 1,00 | 1,90 | 1,70 | 0,75 | 317,69 | 2910,0 | 435500 | 369500 | 467000 | 396500 |
28,0 | 1,20 | 1,10 | 2,00 | 1,80 | 0,80 | 359,60 | 3290,0 | 493000 | 418500 | 528500 | 448500 |
31,0 | 1,30 | 1,20 | 2,20 | 2,00 | 0,85 | 439,31 | 4030,0 | 602500 | 512000 | 645500 | 548000 |
34,0 | 1,40 | 1,30 | 2,40 | 2,20 | 0,95 | 529,72 | 4860,0 | 726500 | 617000 | 778500 | 661500 |
37,0 | 1,50 | 1,40 | 2,60 | 2,40 | 1,00 | 625,74 | 5740,0 | 858500 | 729500 | 919500 | 781500 |
41,0 | 1,70 | 1,60 | 2,80 | 2,60 | 1,10 | 744,88 | 6835,0 | 1020000 | 866000 | 1090000 | 928500 |
44,0 | 1,80 | 1,70 | 3,10 | 2,80 | 1,20 | 864,16 | 7930,0 | 1185000 | 999500 | 1270000 | 1075000 |
47,0 | 1,90 | 1,80 | 3,30 | 3,00 | 1,30 | 989,23 | 9080,0 | 1355000 | 1145000 | 1450000 | 1225000 |
Продолжение
Продолжение

Примечания:
1. Канаты, разрывное усилие которых приведено слева от жирной линии, изготовляют из проволоки без покрытия и оцинкованной. Канаты из оцинкованной проволоки групп Ж и ОЖ диаметрами 44,0 и 47,5 мм маркировочной группы 1470 Н/мм (150 кгс/мм
), 31,0-47,5 мм маркировочной группы 1570 Н/мм
(160 кгс/мм
), 31,0-41,0 мм маркировочной группы 1670 Н/мм
(170 кгс/мм
), 20,5-34,0 мм маркировочной группы 1770 Н/мм
(180 кгс/мм
), 11,5-15,5 мм маркировочной группы 1960 Н/мм
(200 кгс/мм
) изготовляют по согласованию изготовителя с потребителем.
Канаты, разрывное усилие которых приведено справа от жирной линии, изготовляют из проволоки без покрытия. Допускается по согласованию изготовителя с потребителем изготовление канатов из оцинкованной проволоки.
2. Диаметры канатов более 10 мм округлены до целых чисел или до 0,5 мм.
2, 3. (Измененная редакция, Изм. N 1, 2).
4. Технические требования, правила приемки, методы испытаний, упаковка, маркировка, транспортирование и хранение по ГОСТ 3241-91.
Электронный текст документа
подготовлен АО "Кодекс" и сверен по:
официальное издание
Канаты стальные. Сортамент: Сб.ГОСТов. -
М.: Стандартинформ, 2011
Разместите заказ
сами сделают вам предложение

