ГОСТы сталей. ГОСТ 2715-75
ГОСТ 2715-75
Группа B76
МЕЖГОСУДАРСТВЕННЫЙ СТАНДАРТ
СЕТКИ МЕТАЛЛИЧЕСКИЕ ПРОВОЛОЧНЫЕ
Типы, основные параметры и размеры
Metal wire screens. Types, basic parameters and dimensions
МКС 77.140.65
ОКП 12 0100
Дата введения 1977-01-01
ИНФОРМАЦИОННЫЕ ДАННЫЕ
1. РАЗРАБОТАН Научно-исследовательским институтом метизной промышленности (НИИМЕТИЗ)
ВНЕСЕН Министерством черной металлургии СССР
2. УТВЕРЖДЕН И ВВЕДЕН В ДЕЙСТВИЕ Постановлением Государственного комитета стандартов Совета Министров СССР от 24.12.75 N 3986
3. ВЗАМЕН ГОСТ 2715-44
4. Ограничение срока действия снято по протоколу N 7-95 Межгосударственного Совета по стандартизации, метрологии и сертификации (ИУС N 11-95)
5. ИЗДАНИЕ с Изменением N 1, утвержденным в июне 1986 г. (ИУС 9-86)
Настоящий стандарт распространяется на металлические проволочные сетки и устанавливает типы, параметры и основные предельные размеры.
1. ТИПЫ
1. ТИПЫ
1.1. По способу изготовления сетки подразделяют на:
- тканую - образованную перекрестным переплетением проволок (прядей) основы (проволок, проходящих вдоль полотна сетки) с проволоками утка (проволоками, проходящими поперек полотна сетки) (черт.1);
Черт.1. Тканая

Черт.1
- плетеную - из круглых или плоских спиралей, образованную вплетением последующей спирали в предыдущую (черт.2);
Черт.2. Плетеная

Черт.2
- крученую - образованную путем попеременного скручивания каждой проволоки с одной из двух рядом расположенных (черт.3);
Черт.3. Крученая

Черт.3
- щелевую из колосников фасонного сечения, собранную из отдельных проволочных колосников фасонного сечения, скрепленных между собой соединительными шпильками, расположенными на определенном расстоянии друг от друга (черт.4);
Черт.4. Щелевая

Черт.4
- сварную - образованную из проволок, расположенных в двух взаимно перпендикулярных направлениях и сваренных в местах их пересечения (черт.5);
Черт.5. Сварная

Черт.5
- сборную - из предварительно деформированной проволоки, образованную перекрестным переплетением гладких или предварительно деформированных проволок (прядей) основы с предварительно деформированными проволоками утка (черт.6);
Черт. 6. Сборная

Черт.6
1.2. По форме ячеек в свету сетки подразделяют:
- с квадратными ячейками;
- с прямоугольными ячейками;
- с ромбическими ячейками;
- с шестигранными ячейками;
- с трапециевидными ячейками;
- с нулевыми ячейками.
1.3. По размерам ячеек в свету сетки подразделяют на:
- наимельчайшую | - | площадью | ячейки | в | свету | до | 0,025 мм | |||
- мельчайшую | - | " | " | " | " | св. | 0,025 до 0,25 мм | |||
- мелкую | - | " | " | " | " | " | 0,25 " 1 мм | |||
- среднюю | - | " | " | " | " | " | 1 " 25 мм | |||
- крупную | - | " | " | " | " | " | 25 " 625 мм | |||
- особо крупную | - | " | " | " | " | " | 625 мм | |||
1.4. По живому сечению сетки подразделяют:
- с малым живым сечением - до 25% всей площади сетки;
- с нормальным живым сечением - от 25 до 50% " " "
- с большим живым сечением - " 50 " 75% " " "
- с особо большим живым сечением - св. 75% " " ".
Живое сечение сетки определяется отношением площади ячеек в свету ко всей площади сетки, выраженным в процентах.
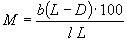
1.4.1. Живое сечение сетки тканой, сварной и сборной из предварительно деформированной проволоки () в процентах вычисляют по формуле
,
где - размер ячейки в свету между проволоками основы, мм;
- размер ячейки в свету между проволоками утка, мм;
- диаметр проволоки основы, мм;
- диаметр проволоки утка, мм.
1.4.2. Живое сечение плетеной сетки () в процентах вычисляют по формуле
,
где - размер ячейки в свету, мм;
- диаметр проволоки, мм;
- угол ячейки ромба, град.
1.4.3. Живое сечение крученой сетки () в процентах вычисляют по формуле
,
где - размер ячейки в свету, мм;
- диаметр проволоки, мм.
1.4.4. Живое сечение щелевой сетки из колосников фасонного сечения () в процентах вычисляют по формуле
,
где - ширина щели, мм;
- расстояние между осями проволочных колосников, мм;
- внешний диаметр петли, состоящий из диаметра соединительной шпильки и двух диаметров исходной проволоки, мм;
- расстояние между осями соединительных шпилек, мм.
1.5. По виду металлов и сплавов применяемой проволоки сетки подразделяют:
- из углеродистой (низкоуглеродистой, среднеуглеродистой и высокоуглеродистой) стали;
- из высоколегированной стали;
- из цветных металлов и сплавов.
1.6. По состоянию металла применяемой проволоки сетки подразделяют:
- из нагартованной проволоки,
- из отожженной проволоки.
1.7. По форме поперечного сечения проволоки сетки подразделяют:
- из круглой проволоки;
- из квадратной проволоки;
- из трапециевидной проволоки;
- из Т-образной проволоки;
- из плоской проволоки;
- из проволоки периодического профиля.
1.8. По виду поверхности применяемой проволоки сетки подразделяют:
- из светлой стальной проволоки,
- из темной стальной проволоки,
- из травленой стальной проволоки,
- из оцинкованной стальной проволоки,
- из луженой стальной проволоки,
- из проволоки, покрытой пластиком.
1.9. По виду поверхности полотна сетки подразделяют на:
- непокрытые,
- покрытые в полотне.
1.9.1. Сетки, покрытые в полотне, подразделяют на:
- оцинкованные в полотне,
- луженые в полотне,
- окрашенные в полотне,
- покрытые пластиком.
2. ОСНОВНЫЕ ПАРАМЕТРЫ И РАЗМЕРЫ
2.1. Параметры и основные предельные размеры сеток должны соответствовать указанным в таблице.
Наименование сетки | Чертеж | Конструктивные особенности | Размерная характеристика | Размер ячейки в свету, мм | Диаметр проволоки или сторона квадрата, мм | Материал сетки | Основное назначение | |||||
Сетки тканые | ||||||||||||
Сетка тканая полотняного переплетения с квадратными ячейками |
| Переплетение проволок основы и утка через одну проволоку | Сетка характеризуется размером стороны ячейки в свету и диаметром проволоки. | От 0,04 до 20,0 | От 0,03 до 3,0 | Стальная термически обработанная низкоуглеродистая (светлого и черного отжига, оцинкованная, луженая), термически обработанная высоколегированная (травленая, светлого отжига) проволока. | Для разделения сыпучих тел по крупности и для фильтрации | |||||
Сетка тканая полотняного переплетения с прямоугольными ячейками |
| Переплетение проволок основы и утка через одну проволоку. | Сетка характеризуется размерами стороны ячейки в свету и диаметрами проволок основы и утка. | Между проволоками основы - от 0,14 до 3,0, | Диаметр проволоки основы от 0,1 до 0,7, утка - от 0,1 до 1,0 | Стальная термически обработанная низкоуглеродистая (светлого и черного отжига, оцинкованная, луженая), термически обработанная высоколегированная (светлого отжига) проволока. | Для обезвоживания и фильтрации | |||||
Сетка тканая саржевого переплетения с квадратными ячейками |
| Переплетение проволок основы и утка через две проволоки. | Сетка характеризуется размером стороны ячейки в свету и диаметрами проволок основы и утка. | От 0,04 до 1,0 | От 0,03 до 0,55 | Стальная термически обработанная | Для разделения материала по крупности и для фильтрации | |||||
Сетка тканая полотняного переплетения "Семянка" |
| Каждая проволока из пряди трех рядом расположенных проволок основы переплетается с каждой проволокой утка. | Сетка характеризуется размером стороны ячейки в свету и диаметрами проволок основы и утка. | Между прядями основы - от 10,0 до 22,0, | Диаметр проволоки в пряди основы от 0,4 до 0,8, утка - от 0,4 до 2,0 | Стальная термически обработанная низкоуглеродистая (светлого и черного отжига, луженая, оцинкованная) проволока | Для разделения сыпучих тел по крупности и форме зерна | |||||
Сетка тканая перевивочного переплетения с прямоугольными ячейками |
| Две проволоки основы, перевитые между собой, переплетаются с проволокой утка. | То же | Между прядями основы из двух перевитых проволок - от 2,0 до 5,0; | Диаметр проволоки основы от 0,5 до 0,8, утка - от 0,6 до 1,0 | Стальная термически обработанная низкоуглеродистая (светлого и черного отжига) проволока | Для ограждения садков при разведении лососевых рыб | |||||
Сетка тканая полотняного переплетения канатиковая |
| Пряди основы из одного или нескольких рядом расположенных канатиков переплетаются с одиночными проволоками утка | Сетка характеризуется размером стороны ячейки в свету, диаметром проволоки канатика основы и проволоки утка, количеством канатиков в пряди основы, количеством проволок в канатике. | Между прядями основы - от 0,8 до 24,0, утка - от 0,8 до 3,6; количество канатиков в пряди основы - от 1 до 4; канатик свит из четырех или семи проволок | Диаметр проволоки канатика пряди основы от 0,22 до 0,3, утка - от 0,6 до 1,5 | Основа - стальная термически необработанная углеродистая, высоколегированная проволока; уток - стальная термически обработанная высоколегированная (светлого отжига, травленая), углеродистая и низкоуглеродистая (светлого и черного отжига) проволока | Для ленточных транспортеров | |||||
Сетка тканая полотняного переплетения фильтровая (с нулевыми ячейками) |
| Проволоки основы, расположенные на определенном расстоянии друг от друга, переплетаются через одну с проволоками утка, расположенными вплотную друг к другу. | Сетка характеризуется числом проволок основы и утка на 1 дм и диаметром проволок основы и утка | Ячейка в свету отсутствует. | Диаметр проволоки основы от 0,18 до 0,7, утка - от 0,12 до 0,4 | Стальная термически обработанная низкоуглеродистая (светлого и черного отжига) и высоколегированная (светлого отжига) проволока. | Для фильтрации, обезвоживания и сушки | |||||
Сетка тканая саржевого переплетения односторонняя фильтровая (с нулевыми ячейками) |
| Проволоки основы, расположенные на определенном расстоянии друг от друга, переплетаются через две с проволоками утка, расположенными вплотную друг к другу. | То же | Ячейки в свету отсутствуют. | Диаметр проволоки основы от 0,05 до 1,2, утка - от 0,032 до 0,7 | Стальная термически обработанная низкоуглеродистая (светлого и черного отжига) и высоколегированная (светлого отжига, травленая) проволока. | То же | |||||
Сетка тканая саржевого переплетения двухсторонняя фильтровая (с нулевыми ячейками) |
| Проволоки основы, расположенные на определенном расстоянии друг от друга, переплетаются поочередно через две с проволоками утка, расположенными вплотную друг к другу. | " | Ячейки в свету отсутствуют. | Диаметр проволоки основы - от 0,2 до 1,0, утка - от 0,14 до 0,6 | Стальная термически обработанная низкоуглеродистая (светлого и черного отжига) и высоколегированная (светлого отжига) проволока. | " | |||||
Сетка тканая саржевого переплетения прядковая фильтровая (мультиплекс) |
| Пряди основы переплетаются с прядями утка вплотную. Пряди из пяти или восьми проволок. | Сетка характеризуется числом прядей основы и утка на 1 дм, числом проволок в пряди основы и утка и диаметром основы и утка | Ячейки в свету отсутствуют. | Диаметр проволоки пряди основы - 0,18, проволоки пряди утка - 0,12 | Проволока из монель-металла | Для фильтрации | |||||
Сетки плетеные | ||||||||||||
Сетка плетеная одинарная с квадратными ячейками из плоских спиралей, правая (левая) |
| Переплетение плоских спиралей, образующих квадратную ячейку | Сетка характеризуется размером стороны ячейки в свету и диаметром проволоки. | От 10 до 100 | От 1,6 до 5,0 | Стальная термически необработанная низкоуглеродистая (без покрытия, оцинкованная, покрытая пластиком) и высоколегированная проволока | Для ограждения, крепления горных выработок, | |||||
Сетка плетеная одинарная с ромбическими ячейками из плоских спиралей, правая (левая) |
| Переплетение плоских спиралей, образующих ромбическую ячейку | То же | От 3,0 до 15,0 | От 1,0 до 3,0 | То же | Для ограждения, крепления горных выработок, разделения сыпучих тел по крупности, для конвейерных сушилок | |||||
Сетка плетеная двойная с квадратной ячейкой, правая (левая) |
| Сплетение плоских спиралей основных с промежуточными, благодаря чему образуется двойное сеточное полотно | Сетка характеризуется шагом основной спирали и диаметром проволоки | Шаг спирали - от 20 до 50 | От 1,0 до 3,6 | Стальная термически необработанная высоколегированная проволока | Для конвейерных сушилок | |||||
Сетка плетеная стержневая секционная |
| Спирали соединены между собой стержнями. | Сетка характеризуется шагом спирали, диаметрами проволоки спирали и стержней | Шаг спирали - от 12 до 20 | Диаметр проволоки спиралей - от 2,2 до 3,0, стержней - от 2,5 | То же | То же | |||||
Сетка плетеная панцирная из круглых спиралей |
| Переплетение круглых спиралей | Сетка характеризуется внутренним диаметром спирали, диаметром проволоки спирали и шагом спирали | Внутренний диаметр спирали - от 9,0 до 12,6, шаг спирали - от 16,0 до 21,0 | От 1,2 до 1,5 | Стальная термически необработанная углеродистая проволока | Для металлических бытовых кроватей | |||||
Сетки крученые | ||||||||||||
Сетка крученая с шестигранными ячейками |
| Свивка проволок, перекрещивающихся под углом 120° | Сетка характеризуется размером ячейки в свету и диаметром проволоки. | От 10,0 до 100,0 | От 0,5 до 2,0 | Стальная термически обработанная низкоуглеродистая (светлого и черного отжига, оцинкованная) и высоколегированная (светлого отжига) проволока. | Для ограждения, изготовления клеток в сельском хозяйстве, армирования стекла и теплоизоляции | |||||
Сетка крученая с трапециевидными ячейками |
| Свивка проволок, перекрещивающихся под углом 120°, с третьей проволокой, образующей большое основание трапеции | То же | 50,0 | 1,6 | Стальная термически обработанная низкоуглеродистая (черного отжига, оцинкованная) проволока. | Для ограждения, изготовления клеток в сельском хозяйстве | |||||
Сетки сварные | ||||||||||||
Сетка сварная с квадратными ячейками |
| Проволоки основы и утка в местах перекрещивания сварены | Сетка характеризуется размером стороны ячейки в свету и диаметром проволоки. | От 12,0 до 200,0 | От 0,5 до 9,0 | Стальная низкоуглеродистая термически обработанная (светлого и черного отжига) и термически необработанная (без покрытия) оцинкованная проволока. | Для армирования стекла, изготовления армоцементных и железобетонных конструкций, клеток в сельском хозяйстве | |||||
Сетка сварная с прямоугольными ячейками |
| Проволоки основы и утка в местах перекрещивания сварены | Сетка характеризуется размером стороны ячейки в свету и диаметром проволоки. | Между проволоками основы - от 12,0 до 250,0, утка - от 16,0 до 250,0 | От 0,5 до 9,0 | Стальная термически обработанная (светлого и черного отжига) и термически необработанная (без покрытия, оцинкованная) низкоуглеродистая, термически обработанная высоколегированная (светлого отжига, травленая) проволока. | Для изготовления клеток в сельском хозяйстве, армоцементных и железобетонных конструкций | |||||
Сетка щелевая из колосников фасонного сечения | ||||||||||||
Сетка щелевая из колосников фасонного сечения |
| Сетки собраны из отдельных колосников фасонного сечения | Сетка характеризуется размером щели в свету и диаметром проволоки заготовки. | Ширина щели - от 0,09 до 20,0 | От 2,2 до 7,5 | Стальная термически обработанная низкоуглеродистая (черного отжига) и высоколегированная проволока (светлого отжига, травленая). | Для классификации, обезвоживания, фильтрации и сушки материала | |||||
Сетки сборные из предварительно деформированной проволокиСетки сборные из предварительно-деформированной проволоки | ||||||||||||
Сетка частично рифленая с квадратными ячейками |
| Проволоки основы (без предварительного рифления) переплетаются с предварительно рифлеными проволоками утка | Сетка характеризуется размером стороны ячейки в свету и диаметром проволоки. | От 1,6 до 25,0 | От 0,9 до 4,5 | Стальная термически необработанная низкоуглеродистая, термически обработанная углеродистая и высоколегированная (травленая) проволока | Для разделения сыпучих тел по крупности | |||||
Сетка рифленая с квадратными ячейками |
| Проволоки основы и утка имеют изгиб рифления в местах переплетения | То же | От 4,0 до 25,0 | От 1,6 до 6,0 | Стальная термически необработанная низкоуглеродистая, углеродистая, высоколегированная и высокомарганцовистая проволока | То же | |||||
Сетка сложно-рифленая с квадратными ячейками |
| Проволоки основы и утка имеют дополнительные изгибы рифления | " | От 20,0 до 100,0 | От 5,0 до 10,0 | Стальная термически необработанная низкоуглеродистая, углеродистая и высокомарганцовистая проволока | " | |||||
Сетка частично рифленая с прямоугольными ячейками |
| Проволоки основы (без предварительного рифления) переплетаются с проволоками утка, имеющими изгибы рифления в местах переплетения | Сетка характеризуется размером стороны ячейки в свету и диаметром проволоки. | Между проволоками основы - от 0,7 до 2,5, утка - от 2,3 до 50,0 | От 0,5 до 1,8 | Стальная термически необработанная и термически обработанная (черного отжига) низкоуглеродистая и термически обработанная высоколегированная (светлого отжига) проволока | Для фильтрации | |||||
Сетка рифленая с прямоугольными ячейками |
| Проволоки основы и утка имеют изгиб рифления в местах переплетения | Сетка характеризуется размером стороны ячейки в свету и диаметром проволоки. | Между проволоками основы - от 12,0 до 70,0, утка - от 6,0 до 9,0 | От 2,2 до 3,5 | Стальная термически необработанная высоколегированная и углеродистая проволока | Для классификации окатышей угля | |||||
Сетка из штампованной проволоки с квадратными ячейками |
| Поперечные и продольные проволоки в местах переплетения отштампованы на глубину, равную диаметру проволоки | Сетка характеризуется размером стороны ячейки в свету и диаметром проволоки. | От 10,0 до 70,0 | От 3,0 до 12,0 | Стальная углеродистая проволока | Для разделения сыпучих тел по крупности | |||||
Сетка из штампованной проволоки щелевая |
| Каждые проволоки из пряди поперечных проволок переплетаются с одиночными продольными проволоками. В местах перекрещивания продольные проволоки отштампованы, а поперечные имеют изгиб рифления | Сетка характеризуется размером стороны ячейки в свету и диаметром проволоки. | Ширина щели от 1,25 до 10,0, длина щели - от 25,0 до 100,0 | От 1,0 до 3,5 | Стальная углеродистая проволока | Для разделения сыпучих тел по крупности | |||||
(Измененная редакция, Изм. N 1).
Текст документа сверен по:
официальное издание
Сетки металлические. Типы.
Технические условия: Сб. ГОСТов. -
М.: ИПК Издательство стандартов, 2003
Разместите заказ
сами сделают вам предложение














