ГОСТы сталей. ГОСТ 12637-67
ГОСТ 12637-67
Группа П99*
__________________________________________
* В указателе "Национальные стандарты" 2008 г.
группа В89. - Примечание изготовителя базы данных.
ГОСУДАРСТВЕННЫЙ СТАНДАРТ СССР
МАТЕРИАЛЫ МАГНИТНОМЯГКИЕ ВЫСОКОЧАСТОТНЫЕ
Методы испытаний в диапазоне частот от 200 до 2000 Мгц
High frequency magnet malleavle materials.
Testing methods at the range from 200 tо 2000 mс
Дата введения 1969-01-01
УТВЕРЖДЕН Комитетом стандартов, мер и измерительных приборов при Совете Министров СССР 16/II 1967 г.
Настоящий стандарт распространяется на высокочастотные магнитномягкие материалы и устанавливает методы определения их магнитных и диэлектрических характеристик в синусоидальных электромагнитных полях с напряженностью магнитного поля не более 0,1 коэрцитивной силы, в диапазоне частот от 200 до 2000 Мгц.
Стандарт устанавливает следующие методы определения магнитных и диэлектрических характеристик материалов:
измерительной линии;
коаксиального резонатора.
Допускается применение полуволнового резонатора для испытаний материалов с известной диэлектрической проницаемостью, удовлетворяющей условию
.
1. ОБЩИЕ УКАЗАНИЯ
1. ОБЩИЕ УКАЗАНИЯ
1.1. Характеристики высокочастотных магнитномягких материалов
1.1.1. Основными характеристиками магнитномягких материалов являются: комплексная магнитная и диэлектрическая проницаемости, тангенс угла магнитных потерь, температурная зависимость магнитной проницаемости, температурный коэффициент магнитной проницаемости.
Перечень основных характеристик материалов, подлежащих определению, значений частот, при которых определяют эти характеристики, а также допустимые погрешности измерения приведены в табл.1, а условные обозначения принятых величин - в приложении 1.
Таблица 1
Определяемая характеристика | Принятое обозна- | Единица изме- | Пределы измеряемых величин | Допус- | Связь с измеряемыми параметрами | Частота |
Вещественная часть магнитной проницаемости | Относит. | От 2 до 20 | 10% |
| От 2·10 | |
Мнимая часть магнитной проницаемости | Относит. | От 2·10 | 10% |
| От 2·10 | |
Температурная зависимость |
| Относит. | От 2 до 20 | 15%** | Кривая зависим. | От 2·10 |
Температурная зависимость |
| Относит. | От 2·10 | 15%** | Кривая зависим. | От 2·10 |
Вещественная часть диэлектрической проницаемости | Относит. | От 2 до 20 | 10% |
| От 2·10 | |
Мнимая часть диэлектрической проницаемости | Относит. | От 2·10 | 10% |
| От 2·10 |
Примечание.
* Данные формулы справедливы при выполнении условия
.
** Погрешность достигает 15% только при предельных температурах.
Диапазон измерения и допустимая погрешность измерения тангенса угла магнитных потерь определяются компонентами магнитной проницаемости. Соотношение компонентов должно быть таким, чтобы тангенс угла магнитных потерь был не менее 2·10.
1.1.2. Комплексная магнитная проницаемость
имеет две составляющие, из которых первая соответствует обратимым квазиупругим процессам, а вторая
- процессам, связанным с рассеиванием энергии.
1.1.3. Комплексная диэлектрическая проницаемость
имеет две составляющие, из которых первая соответствует току смещения, а вторая
- току потерь.
1.1.4. Начальная магнитная проницаемость - предел, к которому стремится
при уменьшении напряженности магнитного поля до нуля. В полях не более 0,1 коэрцитивной силы проницаемость
равна
.
1.1.5. Тангенс угла магнитных потерь определяет энергию, рассеиваемую при необратимых процессах.
1.1.6. Температурная зависимость компонентов магнитной проницаемости выражается в виде графиков или таблиц.
Пределы температур, при которых испытывают образцы, определяются областью применения магнитномягких материалов.
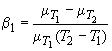
1.1.7. Температурный коэффициент определяют как средний температурный коэффициент в определенном интервале температур.
,
где: - величина начальной магнитной проницаемости при температуре
;
- величина начальной магнитной проницаемости при температуре
;
- температура начала опыта в °К;
- температура конца опыта в °К.
1.1.8. Частотную зависимость компонентов магнитной проницаемости и
выражают в виде графиков или таблиц, измеряя
и
через каждые 100 Мгц.
Примечание. Допускается пользоваться зависимостью тангенса угла магнитных потерь от частоты и температуры.
1.2. Аппаратура для испытаний
1.2.1. Для испытаний магнитномягких материалов в диапазоне частот от 200 до 2000 Мгц применяют следующую аппаратуру:
коаксиальный резонатор переменной длины;
измерительную линию;
генератор высоких и сверхвысоких частот;
гетеродинный частотомер;
измерительный усилитель;
плавный аттенюатор;
фильтр;
термокамеру;
криокамеру;
блок автоматической регулировки температур;
электронный потенциометр;
зонд и калибровочную линию для определения напряженности магнитного поля.
1.2.2. Типы приборов, их технические характеристики и номера чертежей приведены в приложениях 2 и 3.
1.2.3. Проверка измерительных устройств осуществляется по нормальным образцам, аттестованным метрологическими органами Комитета стандартов, мер и измерительных приборов при Совете Министров СССР.
1.3. Требования, предъявляемые к образцам, предназначенным для испытаний
1.3.1. Перед измерениями необходимо провести магнитную подготовку образца в соответствии с требованиями ГОСТ 12635-67 "Материалы магнитномягкие высокочастотные. Методы испытаний в диапазоне частот от 10 кгц до 1 Мгц".
1.3.2. Образцы изготовляют в виде плоских коаксиальных шайб. Размеры образцов для испытаний должны выбираться так, чтобы отношение внешнего диаметра к внутреннему было равно 3,59 или 2,5. Оптимальные размеры: внешний диаметр 24, внутренний - 6,87, высота 5 мм. Для того, чтобы ликвидировать погрешность за счет зазора между образцом и резонатором, а также для надежной фиксации образца в максимуме электрического и магнитного полей, применяют контактные кольца, в которые запрессовывают испытуемый образец. Допускается посадка образца в контактные кольца на клею. Эскиз образца и контактных колец приведен на черт.1.
Черт.1. Эскиз образца и контактных колец

Примечание. Непараллельность плоских поверхностей образца должна быть не более ±0,01 мм.
1 - внешнее контактное кольцо; 2 - образец; 3 - внутреннее контактное кольцо
Черт.1
1.3.3. Толщину образцов определяют по табл.2, исходя из соотношений между действительной и мнимой частями магнитной проницаемости.
Таблица 2
Вещественная часть магнитной проницаемости | Мнимая часть магнитной проницаемости | Толщина образцов |
20 | 10 | 1-2 |
2 | 10 | 5 |
2 | 2·10 | 10 |
1.3.4. Испытания проводят при температуре окружающего воздуха 298±10 °K (25±10 °С), относительной влажности не более 80% и атмосферном давлении 100000±4000 н/м (750±30 мм рт.ст.).
1.3.5. Методы определения характеристик, перечисленных в табл.1, заключаются в измерении изменения модуля и фазы входного сопротивления участка резонатора или коаксиальной линии при внесении образца в электромагнитное поле резонатора (коаксиальной линии) с последующим подсчетом магнитных характеристик по соответствующим формулам.
Блок-схема установки приведена на черт.2.
Черт.2. Блок-схема установки

Черт.2
2. МЕТОДЫ ИСПЫТАНИЙ
2.1. Метод измерительной линии
2.1.1. Серийно выпускаемые промышленностью измерительные линии (например Р1-5А) могут применяться для относительно грубого измерения и
. Погрешность измерений всех компонентов
и
, равная 10%, может быть достигнута на измерительной линии без специальных изменений ее конструкции для образцов, имеющих большие потери (
и
больше 0,05). В связи с этим рекомендуется использовать метод измерительной линии для исследования образцов с
и
больше 0,0
5.
2.1.2. Для испытания образца производят следующие операции:
а) измеряют положение минимума напряжения и ширины резонансной кривой на половинном уровне в короткозамкнутой линии ;
б) помещают образец вплотную к короткозамкнутому концу линии и измеряют смещение минимума от первоначального положения в линии без образца и ширину резонансной кривой с образцом
;
в) сдвигают короткозамыкатель на
от образца и измеряют положение минимума и ширину резонансной кривой без образца ;
г) вставляют образец и измеряют смещение минимума и ширину резонансной кривой
с образцом
.
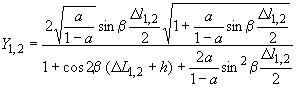
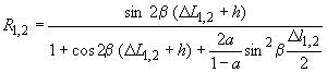
2.1.3. Производят расчет ,
и
,
по формулам:
;
,
;
.
Приведенный расчет справедлив при условии, что
и
, в противном случае необходимо определять входные сопротивления линии с образцом в режимах короткого замыкания и холостого хода.
Расчет магнитной и диэлектрической проницаемостей производят по формулам, приведенным в приложении 5.
2.2. Метод коаксиального резонатора
2.2.1. Определение магнитной проницаемости в режиме короткого замыкания производят следующим образом.
В центральный разъем резонатора помещают латунный короткозамыкатель с петлей связи.
Собирают схему согласно черт.3.
Черт.3. Схема градуировки правой секции резонатора
Схема градуировки правой секции резонатора

Черт.3
Перемещением индикаторного поршня настраивают правую часть резонатора в резонансе, который отмечают по максимуму показаний измерительного усилителя.
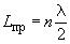
После настройки между индикаторным поршнем и короткозамыкателем устанавливается целое число полуволн. Длина резонатора от короткозамыкателя до поршня определяется геометрическими размерами прибора и рабочим ходом поршня (отсчет по индикаторной линейке) по формуле:
.
Заменяют короткозамыкатель контактными кольцами (черт.4) и настраивают в резонанс левую часть резонатора путем перемещения генераторного поршня.
Черт.4. Схема градуировки резонатора
Схема градуировки резонатора

Черт.4
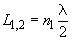
Теперь между генераторным и индикаторным поршнями устанавливается целое число полуволн
.
При такой последовательности работы левая плоскость образца (плоскость ) оказывается расположенной на расстоянии
от генераторного поршня.
Поэтому оба поршня сдвигают влево на толщину образца и ведут отсчет от левой плоскости образца.
2.2.2. Определяют собственные параметры резонатора: его добротность и резонансную длину. Измеряют ширину резонансной кривой на половинном уровне мощности и вычисляют добротность, как отношение длины резонатора к расстройке резонатора по половинному уровню.
.
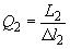
2.2.3. Образец помещают в резонатор и измеряют смещение максимума резонансной кривой ; ширину резонансной кривой на половинном уровне мощности
и вычисляют добротность резонатора с образцом.
.
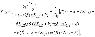
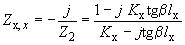
2.2.4. Записывают результат измерения и определяют и
по формулам, приведенным в табл.1.
2.2.5. Определение диэлектрической проницаемости магнитномягких материалов в режиме холостого хода производят следующим образом.
Выполняют операции, перечисленные в п.2.2.1, затем смещают генераторный и индикаторный поршни на четверть длины волны, чем осуществляют перенесение образца в максимум электрического поля и измеряют добротность согласно п.2.2.2.
Образец помещают в резонатор и измеряют смещение максимума резонансной кривой , ширину резонансной кривой
и вычисляют добротность резонатора с образцом по формуле:
.
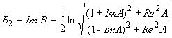
Записывают результат измерения и определяют и
по формулам, приведенным в табл.1.
Для определения и
в образцах с
расчет приведен в приложениях 4 и 6.
2.3. Снятие температурных характеристик магнитномягких материалов
2.3.1. Температурные характеристики снимают в интервале температур от 153 °К до точки Кюри.
2.3.2. Для определения частотной зависимости температурных характеристик измерение производят на двух-трех частотах.
2.3.3. Испытание производят следующим образом:
а) образец помещают в температурную камеру;
б) устанавливают скорость тока воды;
в) настраивают блок регулировки температур на заданную температуру, при достижении которой делают двадцатиминутную выдержку, наблюдают показания приборов через каждую минуту. Температуру считают установившейся, если пять отсчетов, взятых подряд, имеют одинаковую величину.
2.3.4. В интервале температур от 153 до 523 °К параметры резонатора меняются незначительно, и испытание пустого резонатора в этом интервале допускается не проводить. При более высоких температурах изменение собственной длины и добротности резонатора за счет нагревания необходимо учитывать.
2.3.5. Наиболее резкий подъем температурных характеристик ферритов обычно наблюдается в интервале от 273 до 353 °К, поэтому требуется наибольшее число точек снимать в этом интервале (через 5-10°). Затем можно увеличить интервал между точками до 20-50°. Около точки Кюри необходимо снимать температурную характеристику через небольшие промежутки, чтобы не пропускать ее характерный подъем, обычно наблюдающийся перед понижением магнитной проницаемости.
Для испытаний рекомендуется следующий режим: каждый новый материал испытывается на частотах 3·10, 6·10
, 10·10
гц в интервале температур от 153 до 673 °К (верхний предел ограничивается температурой точки Кюри). В интервале температур от 153 до 273 °К через 20°, в интервале от 273 до 353 °К через 10°, в интервале от 373 до 473 °К через 50°, далее до точки Кюри через 10°.
2.4. Определение напряженности магнитного поля высокой частоты
2.4.1. Перед началом цикла измерений магнитной проницаемости оценивают величину напряженности магнитного поля высокой частоты в месте расположения образца.
2.4.2. Оценку величины напряженности магнитного поля высокой частоты производят путем сравнения э.д.с., наводимых на зонде индуктивного типа в испытуемом и образцовом поле одинаковой частоты.
2.4.3. Расположение зонда относительно испытуемого и образцового полей должно быть совершенно одинаковым и определяется по максимуму измерительного усилителя.
2.4.4. Калибровочное образцовое поле создается в коаксиальной короткозамкнутой линии, вход которой согласован с выходом генератора стандартных сигналов.
2.4.5. Волновое сопротивление калибровочной линии и измерительной линии или резонатора, в которых оценивается напряженность магнитного поля, должны быть равны. При их неравенстве обязательно введение поправки.
2.4.6. При выполнении условий пп.2.4.2 и 2.4.4 одинаковым показаниям измерительного усилителя, к которому подключен зонд (при погружении зонда как в измеряемое, так и в калибровочное образцовое поле), соответствуют одинаковые значения амплитуды магнитного поля.
2.4.7. Порядок работы при измерениях следующий:
собирают блок-схему по черт.5 и подготавливают приборы к работе согласно их инструкции по эксплуатации;
помещают в измеряемое поле зонд и устанавливают требуемую глубину его погружения;
снимают отсчет по измерительному усилителю;
помещают зонд в калибровочную линию и регулировкой выхода генератора стандартных сигналов добиваются того же показания измерительного усилителя;
записывают результат измерения.
Черт.5. Блок-схема

Черт.5
2.4.8. Величину напряженности высокочастотного магнитного поля рассчитывают по формуле:
.
Примечание. Формула может быть упрощена, если калибровочная линия имеет подвижный короткозамыкатель, перемещением которого можно добиться условия
, что соответствует максимуму показаний измерительного усилителя.
ПРИЛОЖЕНИЕ 1. Условные обозначения, принятые в формулах для вычислений
ПРИЛОЖЕНИЕ 1 к ГОСТ 12637-67
- относительная комплексная магнитная проницаемость; | |
- действительная составляющая относительной комплексной магнитной проницаемости; | |
- мнимая составляющая относительной комплексной магнитной проницаемости; | |
- относительная комплексная диэлектрическая проницаемость; | |
| - действительная и мнимая части относительной диэлектрической проницаемости; |
- магнитная постоянная, равная 4 | |
- диэлектрическая постоянная, равная 10 | |
- начальная магнитная проницаемость; | |
- тангенс угла магнитных потерь; | |
- тангенс угла диэлектрических потерь; | |
- температура по шкале °К; | |
- температура по шкале °С; | |
- температурный коэффициент магнитной проницаемости, | |
- длина волны, м; | |
- частота, гц, | |
- толщина образца, м; | |
- входное сопротивление в режиме короткого замыкания, ом; | |
- входное сопротивление в режиме холостого хода, ом; | |
- фазовая постоянная 1/м; | |
- фазовая постоянная секции с образцом, 1/м; | |
- волновое сопротивление, ом; | |
| - показание индикатора при измерении резонансной кривой на произвольном уровне, |
| - число полуволн; |
- длина пустого резонатора, м; | |
| - добротность резонатора пустого и с образцом в режимах короткого замыкания и холостого хода; |
- ширина резонансной кривой пустого резонатора, м; | |
| - длина резонатора в режимах холостого хода и короткого замыкания, м; |
| - ширина резонансной кривой резонатора в режимах холостого хода и короткого замыкания, м; |
| - изменение резонансной длины в режимах короткого замыкания и холостого хода, м; |
| - коэффициенты, используемые при составлении программы для ЭВМ; |
- максимальное значение синусоидальной кривой напряженности магнитного поля, а/м; | |
- расстояние от зонда до оси коаксиала, м; | |
| - диаметры внешнего и внутреннего проводников резонатора, м; |
- максимальное значение синусоидальной кривой напряжения генератора, в; | |
- мнимая единица; | |
- расстояние от точки минимума напряжения до входной грани образца в режимах короткого замыкания и холостого хода, м; | |
- коэффициент стоячей волны напряжения в режимах короткого замыкания и холостого хода. |
ПРИЛОЖЕНИЕ 2. Аппаратура для испытания магнитномягких материалов при нормальных условиях
ПРИЛОЖЕНИЕ 2 к ГОСТ 12637-67
Наименование | Погрешность определения измеряемой величины, % | Рекомендуемый тип прибора |
Коаксиальный резонатор переменной длины | 10 | ИПД |
Измерительные линии | 10 | Р1-5А |
Измерители КСВ и фазы | 10 | Р2-26 |
Генераторы стандартных сигналов | 1 | Г4-31 |
1 | Г4-8 | |
Частотомер гетеродинный | 0,05 | Ч4-9 |
Измерительный усилитель | - | У2-4 |
Плавный аттенюатор | - | Д2-13 |
Фиксированный аттенюатор | - | - |
Фильтр | - | ФР-2, ФНЧ |
Зонд и калибровочная линия для определения напряженности магнитного поля | - | - |
Контактные кольца для закрепления образца | - | - |
Контейнер для образца к измерительной линии | - | Чертеж контейнера прилагается |
Примечание. Допускается применение аппаратуры, технические характеристики которой не хуже указанной.
Черт. Контейнер для образца к измерительной линии
Контейнер для образца к измерительной линии

1 - корпус;
2 - стержень для образца; 3 - крышка; 4 - барашек.
ПРИЛОЖЕНИЕ 3. Аппаратура для испытаний магнитных материалов в интервале температур от 153 до 673 °К
ПРИЛОЖЕНИЕ 3 к ГОСТ 12637-67
Наименование | Погрешность измерения | Рекомендуемый тип прибора |
Термокамера | до 5 | Изготовлены в НГИМИП |
Криокамера | до 2 | То же |
Блок автоматической регулировки температуры | - | " |
Электронный потенциометр | - | ЭПП-09 |
ПРИЛОЖЕНИЕ 4. ПОРЯДОК ПОДСЧЕТА МАГНИТНОЙ ПРОНИЦАЕМОСТИ В ОБРАЗЦАХ С БОЛЬШИМИ И МАЛЫМИ ПОТЕРЯМИ
ПРИЛОЖЕНИЕ 4 к ГОСТ 12637-67
1. Если образец обладает большими потерями, необходимо использовать для расчета общие формулы. В этом случае для определения магнитной проницаемости обязательно проводить измерения в двух режимах, так как изменение длины резонатора и ширины резонансной кривой являются функциями как магнитной, так и диэлектрической проницаемостей. Для вычисления четырех параметров материала необходимо четыре измеряемых величины: изменение резонансной длины при расположении образца в режимах короткого замыкания и холостого хода и изменение ширины резонансной кривой в двух указанных режимах.
2. Вместо относительных входных сопротивлений и
введены эквивалентные величины:
,
,
,
.
Это целесообразно сделать по следующим причинам:
а) расчетные формулы режима холостого хода и короткого замыкания становятся при этом симметричными, что позволяет упростить вычисления и составить единую программу для электронно-вычислительной машины;
б) на практике чаще всего встречается случай соизмеримых и
. При использовании величин
и
вычислитель может иметь дело с величинами одного порядка, что существенно при массовой обработке результатов измерения.
3. При очень больших потерях не удается измерить ширину резонансной кривой на половинном уровне, поэтому берется произвольный уровень и вводится коэффициент
, где и
- отсчет по индикатору в максимуме и на том уровне, на котором измеряется ширина. Связь между компонентами величин
и
выражается следующими соотношениями:
, (1)
где: и
- изменения резонансной длины в режимах короткого замыкания и холостого хода;
и
- ширина резонансной кривой в указанных режимах.
4. Если потери в образце велики
, то потерями в резонаторе можно пренебречь. Мнимая часть величин и
выражается по формуле:
. (2)
5. Если потери в образце малы
, то третьим членом знаменателя (формула 2) можно пренебречь. Действительная часть и
определяется:
. (3)
Мнимая часть и
:
(4)
где: - полная длина резонатора;
- расстояние от образца до короткозамыкателя.
Первый член в квадратной скобке учитывает поправку, связанную с потерями в пустом резонаторе. Остальные два члена определяют потери за счет внесения беспотерьного образца с теми же и
, что у реального феррита.
6. При 0,01<,
<0,05 вычисления
производить по формулам (2) или (4).
7. При малых значениях диэлектрических и магнитных потерь, но большого значения одной из проницаемостей ( или
) при расчете параметров образцов следует пользоваться формулами (3) и (4).
8. В большинстве случаев измерения производятся на половинном уровне 0,5. Тогда в формулах 1 и 2 множитель
1.
9. Переход к значениям и
осуществляется следующим путем:
, (5)
. (6)
10. Для вычисления ,
,
и
решения уравнений (5) и (6) производят в следующей последовательности:
а)
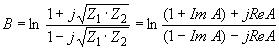
; ![]()
;
,
тогда:
.
Действительная часть этого выражения:
.
Мнимая:
.
б)
,
откуда:
,
.
Эти выражения используются как для вычисления , так и для вычисления
.
в) для вычисления необходимо знать
,
отсюда:
,
.
г) для вычисления определяется:
,
;
.
д) данная схема позволяет по измеренным значениям ,
и
,
найти
,
,
,
с помощью электронно-вычислительной машины по программе, составленной на языке Алгол-60 (приложение 6).
ПРИЛОЖЕНИЕ 5. РАСЧЕТ МАГНИТНОЙ И ДИЭЛЕКТРИЧЕСКОЙ ПРОНИЦАЕМОСТЕЙ
ПРИЛОЖЕНИЕ 5 к ГОСТ 12637-67
1. Измеряемыми величинами в методе измерительной линии являются коэффициент стоячей волны по напряжению (к. с. в. н.) и расстояние от точки минимума напряжения до входной грани образца.
Входное сопротивление выражается формулами:
,
.
2. Расстояние определяют следующим образом: измеряют положение ближайшего к короткозамыкателю минимума; производят по линейке отсчет
в мм; вводят в линию образец и измеряют положение ближайшего к образцу минимума; производят отсчет по линейке
в мм, тогда:
.
При этом величины связаны со смещением минимума соотношением:
,
.
3. Для определения к. с. в. н. при >2 измеряют ширину резонансной кривой методом "вилки" на произвольном уровне мощности и определяют к. с. в. н. по формуле:
,
где: - показание индикатора при измерении ширины резонансной кривой на произвольном уровне;
- показание индикатора в минимуме.
4. При <2 к. с. в. н. определяют методом "максимум-минимум" и подсчитывают по формуле:
.
5. Расчет и
производят по формулам п.1 приложения 5, а
и
- по формулам пп.9 и 10 приложения 4.
ПРИЛОЖЕНИЕ 6. Программа, записанная на языке Алгол-60
ПРИЛОЖЕНИЕ 6 к ГОСТ 12637-67
Программа
для расчета ,
,
,
, записанная на языке Алгол-60
1. Начало вещественные ,
,
,
,
,
,
,
,
;
2. ,
,
,
,
,
,
,
;
3. Вещественные массивы [1:5],
[1:8],
[1:5],
[1:4];
4. :=3,1415, ввод (
,
,
);
5. Начало ![]()
6.
;
7. ![]()
8.
.
9. ![]()
10. ![]()
11.
,
12. Иначе ![]()
13. ![]()
14.
;
15. ![]()
16.
;
17. ![]()
18. ![]()
19. ![]()
20. ![]()
21.
;
22. Иначе ![]()
23. ![]()
24.
;
25.
;
26.
;
27.
;
28.
;
29.
;
30.
;
31.
;
32.
;
33.
;
34.
;
35.
;
36.
;
37.
;
38.
;
39.
;
40.
;
41.
;
42.
;
43.
;
44.
;
45.
;
46. Вывод ; Конец*
Электронный текст документа
подготовлен ЗАО "Кодекс" и сверен по:
официальное издание
М.: Издательство стандартов, 1967
Разместите заказ
сами сделают вам предложение
