ГОСТы сталей. ГОСТ 12635-67
ГОСТ 12635-67
Группа П99
__________________________________________
* В указателе "Национальные стандарты" 2008 г.
группа В89. - Примечание изготовителя базы данных.
ГОСУДАРСТВЕННЫЙ СТАНДАРТ СССР
МАТЕРИАЛЫ МАГНИТНОМЯГКИЕ ВЫСОКОЧАСТОТНЫЕ
Методы испытаний в диапазоне частот от 10 кгц до 1 Мгц
High frequency magnet malleable materials.
Testing methods at the range from 10 kc/s to 1 mс
Дата введения 1969-01-01
УТВЕРЖДЕН Комитетом стандартов, мер и измерительных приборов при Совете Министров СССР 16/II 1967 г.
Настоящий стандарт распространяется на высокочастотные магнитномягкие материалы-магнитодиэлектрики (на основе карбонильного железа и альсиферов) и ферриты и устанавливает методы определения их магнитных характеристик при намагничивании переменным периодическим магнитным полем в диапазоне частот от 10 кгц до 1 Мгц.
Стандарт не устанавливает методов испытаний ферритов с прямоугольной петлей гистерезиса, а также методов испытаний в импульсном режиме.
Устанавливаются следующие методы определений магнитных характеристик:
мостовой,
резонансный,
индукционный,
метод биений (только для определения температурного коэффициента магнитной проницаемости).
Характеристики каждого метода приведены в таблице, а перечень буквенных обозначений в формулах таблицы - в приложении 1.
Выбор метода определения магнитных характеристик предусматривается в стандартах и технической документации на магнитномягкие материалы.
Все величины при подстановке в формулы настоящего стандарта должны быть выражены в единицах Международной системы по ГОСТ 9867-61.
1. ОБЩИЕ УКАЗАНИЯ
1. ОБЩИЕ УКАЗАНИЯ
1.1. Отбор и подготовка образцов к испытаниям.
1.1.1. Образцы для испытаний при определении характеристик ферромагнитных материалов должны иметь кольцевую форму. Размеры колец должны соответствовать чувствительности измерительной аппаратуры.
1.1.2. Перед нанесением обмотки на кольца их диаметр и толщина должны быть измерены с погрешностью измерения не более ±0,1 мм. При определении удельных потерь образец, кроме того, должен быть взвешен с погрешностью не более ±0,5%.
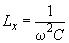
1.1.3. По размерам образцов подсчитывают гармонический и средний
диаметры и площадь поперечного сечения
по формулам:
, (1)
, (2)
а) для образцов прямоугольного сечения:
, (3)
б) для образцов с сердечниками из альсиферов, форма которых изображена на черт.1:
. (4)
Черт.1. Форма образца с сердечниками из альсиферов
Форма образца с сердечниками из альсиферов

Черт.1
Характеристика методов испытаний
Наименование метода | Пределы измерения по | Определяемые величины | Пределы определяемых величин | Погрешности* | |
частоте, кгц | напряженности | ||||
1. Мостовой метод | 10-1000 | 10 |
|
| |
|
|
| |||
| |||||
|
| ||||
| |||||
|
| ||||
|
| ||||
|
| ||||
| |||||
2. Резонанс- ный метод | 10-1000 | Неопределены** |
|
| |
|
|
| |||
|
|
| |||
|
|
| |||
3. Индукцион- | 10-1000 | 1-5000 |
|
| |
|
| ||||
|
|
| |||
4. Метод биений | 100-1000 | Неопределены** |
|
| |
________________
* При многовитковом намагничивании.
** Зависит от типа измерителя, частоты и образца.
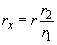
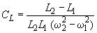
Подсчет магнитных характеристик производят по гармоническому диаметру . В зависимости от требуемой точности измерений и радиальной толщины образца, характеризуемой отношением
, гармонический диаметр может быть заменен средним
. График зависимости отношения среднего диаметра к гармоническому для разных отношений наружного диаметра к внутреннему приведен на черт.2.
Черт.2. График зависимости отношения среднего диаметра к гармоническому от отношения диаметров образцов
График зависимости отношения среднего диаметра к гармоническому от отношения диаметров образцов

Черт.2
Относительную погрешность определения среднего и гармонического диаметров образца подсчитывают по формулам:
, (5)
. (6)
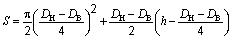
1.1.4. Относительную погрешность определения площади поперечного сечения образца подсчитывают по формулам:
а) для образцов прямоугольного сечения:
, (7)
б) для образцов, форма которых изображена на черт.1:
. (8)
Если размеры образцов соответствуют размерам, приведенным в ГОСТ 8763-58, то при измерении ,
и
с погрешностью, не превышающей 0,1 мм, наибольшая относительная погрешность определения
лежит в пределах от 0,2 до 1%,
- от 1 до 3%, а
- от 2 до 7%.
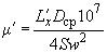
1.1.5. Выбор марки провода для обмотки, наматываемой на образец, зависит от вида определяемой характеристики (магнитная проницаемость, угол потерь, температурный коэффициент магнитной проницаемости и т.п.) и типа испытываемого материала. При определении тангенса угла потерь и коэффициентов потерь сердечников из карбонильного железа, альсиферов и ферритов с низкой магнитной проницаемостью, обладающих малыми потерями при частотах свыше 300 кгц, для того чтобы сопротивление обмотки образца незначительно изменялось с изменением частоты, необходимо обмотку выполнять из многожильного провода (литцендрата) марок ЛЭШО 12х0,07 и ЛЭШО 21х0,05. При частотах до 300 кгц обмотку допускается выполнять одножильным медным проводом диаметром не свыше 0,25 мм.
Примечание. При многовитковом намагничивании во избежание порчи изоляции обмотки на образец после измерения его геометрических размеров и взвешивания наносят слой изоляционного материала (фторопластовую ленту, конденсаторную бумагу) толщиной около 0,1 мм, а поверх этого слоя - обмотку с нужным числом витков.
1.1.6. Перед испытаниями образец подвергают размагничиванию через обмотку, питаемую током частотой 50 гц с постепенно убывающей амплитудой. Начальная амплитуда размагничивающего поля должна превышать коэрцитивную силу материала не менее чем в 50 раз. Минимальная амплитуда размагничивающего поля не должна превышать наименьшего значения напряженности поля, при которой производят измерения магнитных характеристик.
Время выдержки образцов после размагничивания до начала измерений магнитных характеристик устанавливают в зависимости от вида материала и его магнитной проницаемости. Магнитодиэлектрики на основе карбонильного железа выдержке после размагничивания не подвергают, для альсиферов время выдержки должно быть 10 мин. Для марганец-цинковых ферритов марки НМ время выдержки должно быть 24 ч, для никель-цинковых ферритов марки НН - не менее 3 ч.
В особо ответственных случаях измерений рекомендуется размагничивать ферриты марок: 150ВЧ, 100ВЧ, 50ВЧ2, 30ВЧ2 и 20ВЧ нагревом до температуры выше точки Кюри.
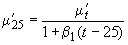
1.2. Условия измерений и аппаратура.
1.2.1. Испытания образцов производят при температуре окружающего воздуха 298±10 °К (25±10 °С), относительной влажности воздуха до 80% и атмосферном давлении 100000±4000 н/м (750±30 мм рт.ст.).
При определении магнитных характеристик материалов, обладающих температурными коэффициентами и
свыше 1·10
1/град, необходимо вносить поправки, вычисленные по формулам:
, (9)
, (10)
где и
- характеристики материала, определенные при температуре 25 °С.
1.2.2. Для испытаний магнитномягких материалов в диапазоне частот от 10 кгц до 1 Мгц используется следующая измерительная аппаратура:
а) мосты (приложение 2);
б) измерители добротности;
в) амперметры, миллиамперметры и микроамперметры (приложение 3);
г) вольтметры и милливольтметры (приложение 4).
1.2.3. В качестве измерительной аппаратуры для измерения характеристик магнитномягких материалов мостовым методом допускается использование мостовых установок, изготовленных по любым схемам или собранных из отдельных элементов, но обеспечивающих возможность производить измерения величин, указанных в таблице.
2. МЕТОДЫ ОПРЕДЕЛЕНИЯ МАГНИТНЫХ ХАРАКТЕРИСТИК
2.1. Мостовой метод
2.1.1. При мостовом методе определения перечисленных в таблице характеристик измеряют индуктивность или взаимную индуктивность
и сопротивление
намагничивающего устройства с кольцевым сердечником из испытываемого ферромагнитного материала и подсчитывают магнитные характеристики по соответствующим формулам.
2.1.2. Для намагничивания применяют многовитковую обмотку. Число витков многовитковой обмотки выбирают в зависимости от марки испытываемого материала, размеров образца, требуемой напряженности магнитного поля и пределов измерения аппаратуры для определения индуктивности по формуле:
, (11)
где - индуктивность обмотки с образцом.
2.1.3. При испытаниях образцов на мосте взаимной индуктивности на образец должны быть нанесены две обмотки, выполняемые двойным проводом. Подсчет числа двойных витков производят по формуле:
, (12)
где - взаимная индуктивность между обмотками образца (выбирается в зависимости от пределов аппаратуры для измерения взаимной индуктивности).
2.1.4. При проведении испытаний обмотку или намагничивающее устройство испытываемого образца присоединяют к мосту и уравновешивают его с помощью регулируемых элементов при заданных нормативными документами на соответствующий ферромагнитный материал значениях напряженности магнитного поля и частоты. Из уравнений равновесия моста определяют индуктивность или взаимную индуктивность между обмотками образца и сопротивление образца. После введения необходимых поправок подсчитывают магнитную проницаемость и тангенс угла потерь материала образца.
2.1.5. Коэффициент потерь на гистерезис определяют измерением тангенса угла потерь при двух-трех значениях напряженности магнитного поля и при одной частоте в области линейной зависимости тангенса угла потерь от напряженности магнитного поля.
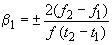
2.1.6. Коэффициент частотных потерь (в том числе на вихревые токи) определяют измерением тангенса угла потерь при двух-трех частотах и при одном и том же значении напряженности магнитного поля в области линейной зависимости тангенса угла потерь от частоты.
Рекомендуется для образцов из карбонильного железа проводить испытания в диапазоне частот от 100 кгц до 1 Мгц; для образцов из альсифера - от 100 до 300 кгц.
2.1.7. Коэффициент дополнительных потерь 1·10
определяют как разность между тангенсом угла потерь материала и суммой тангенсов угла потерь на гистерезис и частотных.
2.1.8. Коэффициент дополнительных потерь материалов с малым его значением (порядка 1·10
) определяют с помощью моста по схеме со взаимной индуктивностью, измеряя тангенс угла потерь образца на двух частотах при одном и том же значении напряженности магнитного поля, и на основании этих двух измерений определяют составляющую тангенса угла потерь, не зависящую от частоты. Вычитая из полученной величины
, обусловленный потерями на гистерезис, определяют коэффициент дополнительных потерь.
2.1.9. Обратимую магнитную проницаемость определяют, нанося на образец дополнительную обмотку намагничивания постоянным током, с которой последовательно включают регулировочные реостаты, амперметр для измерений силы постоянного тока
, дроссель и источник питания.
Число витков обмотки подсчитывают по формуле:
. (13)
2.1.10. Удельные потери материала определяют на основании измерения сопротивления потерь образца с помощью моста и измерения силы тока в намагничивающей обмотке образца.
2.1.11. Температурные коэффициенты магнитной проницаемости и тангенса угла потерь
определяют по изменению индуктивности и сопротивления образца с намагничивающим устройством при изменении его температуры. Для определения
0,5·10
1/град и
2·10
1/град можно использовать любую мостовую схему для измерения индуктивности и сопротивления с погрешностью не выше 1% и термокриостат, позволяющий создавать определенную температуру в заданном интервале с погрешностью не более 0,5 град. Для определения
(0,02-0,5)·10
1/град следует применять метод биений, описанный ниж
е.
2.1.12. Напряженность магнитного поля в испытываемом кольцевом образце подсчитывают по формулам:
(14)
или
,
где - амплитудное значение намагничивающего тока в обмотке образца.
При синусоидальной форме кривой тока 1,41
.
Для сердечников с отношением
от 1,4 до 2,5 различие в значениях напряженности поля, подсчитанных по гармоническому и среднему диаметрам, составляет от 1 до 7%.
2.1.13. Силу тока измеряют с помощью амперметра (милли- или микроамперметра) или определяют путем измерения вольтметром (милливольтметром) падения напряжения на безреактивном сопротивлении. В качестве безреактивного сопротивления следует взять такое, реактивная составляющая которого не превышает 10% от полного сопротивления. При этом параметры измерительного прибора не должны влиять на условия равновесия моста.
Наличие собственной емкости обмотки образца и активная составляющая тока, обусловленная потерями в образце, вносят погрешность и определение намагничивающего тока в обмотке. Поэтому значение намагничивающего тока в обмотке
следует вычислять по формуле:
. (15)
2.1.14. Собственную емкость, если магнитная проницаемость образца не зависит от частоты, определяют путем измерения индуктивности на двух частотах (при которых магнитная проницаемость постоянна) и одной и той же силе тока в обмотке образца и подсчитывают по формуле:
. (16)
Если магнитная проницаемость материала изменяется с частотой, то собственную емкость определяют путем нанесения такой же обмотки, как на испытываемом образце, на сердечник тех же размеров из неферромагнитного и неметаллического материала. Измерения индуктивности производят также на двух частотах и собственную емкость подсчитывают по формуле 16.
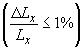
2.1.15. Наибольшую относительную погрешность определения подсчитывают по формуле:
. (17)
При измерении тока приборами класса 0,5; 1,0; 1,5 погрешность
лежит в пределах от 2 до 6%.
2.1.16. Подсчет действительной составляющей относительной магнитной проницаемости материала кольцевого образца производят по формулам:
(18)
или
(19)
(20)
или
, (21)
где - индуктивность (с учетом поправки на собственную емкость) обмотки с образцом.
Индуктивность находят по формуле:
. (22)
2.1.17. Наибольшую относительную погрешность определения магнитной проницаемости находят по формуле:
. (23)
Погрешность определения включает в себя погрешность измерения индуктивности
, обусловленную погрешностью измерительной аппаратуры, и погрешность поправки
за счет влияния собственной емкости обмотки.
Для образцов, проницаемость которых в рассматриваемой области частот не зависит от частоты, при измерении индуктивности с погрешностью не более 0,5% и частоты 0,05% (формула 16) погрешность определения собственной емкости обмотки составляет не более 10%. В противном случае эта погрешность может возрасти примерно до 20%.
Чтобы наибольшая относительная погрешность определения магнитной проницаемости не превысила 5%, погрешность измерения индуктивности должна быть менее 1% и наружный диаметр испытываемых образцов должен быть не менее 24 мм.
2.1.18. Погрешность определения магнитной проницаемости увеличивается за счет погрешности определения напряженности поля до значений
в случаях, когда магнитная проницаемость материала зависит от напряженности магнитного поля и подсчитывается по формуле:
. (24)
2.1.19. Тангенс угла потерь материала подсчитывают по формуле:
(25)
или (в случае многовитковой обмотки)
, (26)
где: - сопротивление потерь, ом,
- сопротивление обмотки с образцом (при заданной частоте с учетом поправки на собственную емкость обмотки), ом,
- активное сопротивление обмотки (измеренное на постоянном токе) с учетом поправки на влияние поверхностного эффекта при заданной частоте, ом.
Значение подсчитывают по формуле:
, (27)
где - сопротивление обмотки с образцом, измеренное при заданной частоте, ом.
Значение сопротивления подсчитывают через измеренное значение сопротивления
по формуле:
, (28)
где - поправочный член на влияние поверхностного эффекта.
Коэффициент со зависит от частоты намагничивающего тока и марки провода. Его величина, т.е. отношение сопротивления провода
при заданной частоте к его сопротивлению
, измеренному на постоянном токе, для литцендрата подсчитывают по формуле:
, (29)
где: и
- коэффициенты, зависящие от
(для медного провода
10,65
); - частота, Мгц;
- диаметр отдельной проволоки литцендрата, мм;
- число проволок провода;
- диаметр всего провода, мм;
- коэффициент, зависящий от
.
В приложении 5 приведены графики зависимости коэффициентов и
от
и от
.
2.1.20. Наибольшую относительную погрешность определения тангенса угла потерь подсчитывают по формуле:
. (30)
2.1.21. Абсолютную погрешность определения сопротивления потерь материала образца находят по формуле:
. (31)
Примечание. Чтобы наибольшая относительная погрешность определения тангенса угла магнитных потерь не превысила 8%, погрешность измерения индуктивности не должна превышать 1%, сопротивления потерь - 5% и частоты - 2%.
2.1.22. Коэффициент потерь на вихревые токи подсчитывают при
по формуле:
, (32)
где и
и
- тангенсы угла потерь и сопротивления потерь соответственно при частотах
и
.
2.1.23. Коэффициент потерь на гистерезис при
подсчитывают по формуле:
, (33)
где и
,
и
- тангенсы угла потерь и сопротивления потерь соответственно при напряженностях магнитного поля
и
.
2.1.24. Коэффициент дополнительных потерь 1·10
подсчитывают по формуле:
. (34)
При измерениях на мосте взаимной индуктивности коэффициент дополнительных потерь 1·10
(п.2.1.8) подсчитывают по формуле:
, (35)
где: и
- тангенсы угла потерь, измеренные соответственно при частотах
и
;
- напряженность поля, при которой проводились измерения, а/м.
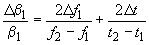
2.1.25. Для получения значений коэффициентов потерь допускается применение графических методов, при этом по оси ординат откладывают значения тангенса угла потерь, а по оси абсцисс - значения частоты или напряженности магнитного поля.
Коэффициент частотных потерь характеризуется тангенсом угла наклона прямой, выражающей зависимость
, к оси абсцисс (черт.3).
Черт.3. График зависимости тангенса угла потерь материала от частоты
График зависимости тангенса угла потерь материала от частоты

Черт.3
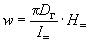
Коэффициент потерь на гистерезис характеризуется тангенсом угла наклона прямой, выражающей зависимость
, к оси абсцисс (черт.4).
Черт.4. График зависимости тангенса угла потерь материала от напряженности магнитного поля
График зависимости тангенса угла потерь материала от напряженности магнитного поля

Черт.4
Коэффициент дополнительных потерь графически выражается отрезком на оси ординат, соответствующим при
0 и
0 и отсекаемым при экстраполяции прямых
или
.
2.1.26. Наибольшую относительную погрешность определения коэффициента частотных потерь (пренебрегая погрешностью измерения частоты) подсчитывают по формуле:
. (36)
Наибольшую относительную погрешность определения коэффициента потерь на гистерезис подсчитывают по формуле:
, (37)
где и
, - сопротивления потерь, измеренные соответственно при напряженностях поля
и
.
Наибольшая относительная погрешность определения коэффициента дополнительных потерь, подсчитываемого по формуле (34), выражается формулой:
. (38)
При определении коэффициента с помощью моста взаимной индуктивности подсчет погрешности производят по формуле:
. (39)
Погрешность члена
подсчитывают по формуле:
, (40)
где: - абсолютная погрешность емкости
, уравновешивающей сопротивление потерь (приложение 2), ф;
- сопротивление одного из плеч моста взаимной индуктивности (приложение 2), ом;
- абсолютная погрешность напряженности магнитного поля, а/м.
2.1.27. Для того, чтобы погрешность определения коэффициентов потерь (особенно при их значениях 1·10
1/гц,
1·10
м/а,
1·10
) не превышала 20%, погрешность измерения сопротивления должна быть не более 1% (см. таблицу).
Для снижения погрешности определения коэффициента частотных потерь (особенно при его численном значении порядка 1·10 1/гц) определение его должно производиться при частотах
и
, отличающихся друг от друга не менее чем в три раза.
Для снижения погрешности определения коэффициента потерь на гистерезис (особенно при его численном значении порядка 1·10 м/а) определение его должно производиться при напряженностях магнитного поля
, и
, отличающихся друг от друга не менее чем в три
раза.
2.1.28. Удельные потери в материале на основании результатов измерений мостовым методом подсчитывают по формуле:
. (41)
2.1.29. Наибольшую относительную погрешность определения удельных потерь подсчитывают по формуле:
. (42)
Если измерять ток прибором класса 1,5, сопротивление потерь с погрешностью не выше 5% (см. таблицу) и взвешивать образец с погрешностью не более 0,5%, то
не превысит 10%.
2.1.30. Подсчет температурного коэффициента магнитной проницаемости производят по формуле:
, (43)
где: и
- действительные составляющие относительной комплексной магнитной проницаемости испытываемого образца соответственно при температурах
и
, подсчитываемые на основании измерения индуктивности при температурах
и
;
- то же, при температуре 25 °С
.
2.1.31. Наибольшую относительную погрешность определения температурного коэффициента магнитной проницаемости подсчитывают по формуле:
. (44)
Для материалов, температурный коэффициент которых изменяется в зависимости от интервала температур, наибольший температурный интервал не должен превышать 30 град. С учетом того, чтобы погрешность не превышала 20% (см. таблицу), значение
должно быть не менее 0,5·10
1/град и погрешность измерения температуры не должна превышать 0,5 град.
2.1.32. Температурный коэффициент тангенса угла потерь подсчитывают по формуле:
, (45)
где: и
- сопротивления потерь обмотки с образцом соответственно при температурах
и
, ом;
и
- индуктивности обмотки с образцом соответственно при температурах
и
, гн.
При подсчете необходимо учитывать отличие сопротивления провода обмотки при данной температуре
от его значения при нормальной температуре
, принимая во внимание, что:
. (46)
2.1.33. Наибольшую относительную погрешность температурного коэффициента тангенса угла потерь подсчитывают по формуле:
. (47)
При интервале температур 30 град, погрешности измерения температуры не более 0,5 град и измерении сопротивления с погрешностью не выше 1% наибольшая погрешность определения температурного коэффициента тангенса угла потерь (при
2·10
1/град) составит не более 30%.
2.2. Резонансный метод
2.2.1. Резонансный метод определения перечисленных в таблице величин заключается в измерении с помощью измерителя добротности (куметра) индуктивности и добротности
намагничивающего устройства с кольцевым сердечником из испытываемого ферромагнитного материала и последующем подсчете магнитных характеристик по соответствующим формулам.
В качестве намагничивающего устройства может применяться как многовитковая, так и одновитковая обмотка (одновитковая рамка, коаксиальный держатель, высокочастотный пермеаметр). Методы определения магнитных характеристик при одновитковом намагничивании аналогичны изложенным в ГОСТ 12636-67 "Материалы магнитномягкие высокочастотные. Методы испытаний на частотах от 1 до 200 Мгц".
2.2.2. Число витков обмотки образца находят по формуле (11). В этом случае индуктивность испытываемого образца с многовитковой обмоткой находят по формуле:
, (48)
где - емкость конденсатора резонансного контура куметра, ф.
2.2.3. При испытании образца с многовитковой обмоткой после подключения обмотки к зажимам куметра устанавливают нужную частоту и регулированием емкости резонансного контура добиваются максимального отклонения указателя шкалы добротности. Затем определяют индуктивность и добротность образца, по которым подсчитывают магнитную проницаемость и тангенс угла потерь образца (вместе с обмоткой).
2.2.4. Для определения температурных коэффициентов магнитной проницаемости и тангенса угла потерь материала измеряют индуктивность и добротность образца в температурном высокочастотном пермеаметре (п.2.2.1) или в намагничивающем устройстве, помещенном в термокриостат, при двух или нескольких значениях температур в заданном диапазоне.
2.2.5. При многовитковой обмотке подсчет относительной магнитной проницаемости кольцевого образца производят по формуле (18) или (19).
2.2.6. Относительную погрешность индуктивности с помощью куметра определяют по формуле:
. (49)
Если погрешность куметра по частоте не превышает ±1%, а погрешность градуировки шкалы емкости лежит в пределах от 1 до 4% (в зависимости от величины емкости), наибольшая погрешность определения индуктивности составит 3-6% и действительной составляющей относительной магнитной проницаемости - не более 10%.
2.2.7. Тангенс угла потерь материала образца подсчитывают по формуле:
, (50)
где - добротность обмотки с образцом (отсчитывают непосредственно по шкале добротности куметра).
Член
обусловлен параметрами обмотки (п.2.1.19).
2.2.8. Относительную погрешность определения тангенса угла магнитных потерь вычисляют по формуле:
. (51)
Если погрешность измерения добротности с помощью куметра не превышает 10%, наибольшая относительная погрешность определения тангенса угла магнитных потерь составит не более 30%.
2.2.9. Подсчет температурного коэффициента магнитной проницаемости производят по формуле (43) с учетом формул (18), (22) и (48).
Наибольшую относительную погрешность определения
подсчитывают по формуле:
. (52)
где и
- емкости при резонансе, соответствующие температурам
и
, ф.
Примечание. При погрешности температуры не более ±0,5 град, интервале ее изменения 30 град и погрешности градуировки шкалы емкости куметра от 1 до 4% для определения температурного коэффициента магнитной проницаемости с погрешностью не более 20%, должно быть не менее 5·10
1/град.
2.2.10. Подсчет величины производят по формуле:
, (53)
где и
- добротности, соответствующие температурам
и
.
2.2.11. Наибольшую относительную погрешность определения подсчитывают по формуле:
. (54)
При погрешности температуры не более ±0,5 град, интервале ее изменения 30 град и погрешности градуировки шкалы добротности куметра ±10% для определения температурного коэффициента тангенса угла потерь с погрешностью, не превышающей 30%, величина
должна быть не менее 1·10
1/град.
2.3. Индукционный метод
2.3.1. Индукционный метод определения перечисленных в таблице величин заключается в измерении намагничивающего тока в первичной обмотке образца, э.д.с., индуктированной в его вторичной обмотке, мощности (потерь в образце) и последующем подсчете магнитных характеристик по соответствующим формулам.
2.3.2. Силу тока, протекающего по первичной (намагничивающей) обмотке образца, измеряют амперметром (черт.5) или определяют с помощью вольтметра и безреактивного сопротивления (черт.6).
Черт.5. Сила тока, протекающая по первичной (намагничивающей) обмотке образца, измеряемая амперметром

Черт.5
Черт.6. Сила тока, протекающая по первичной (намагничивающей) обмотке образца, определяемая вольтметром и безреактивным сопротивлением

Черт.6
Примечание. В приложении 3 даны перечень соответствующих амперметров, миллиамперметров и микроамперметров и их основные технические характеристики.
2.3.3. Для подсчета максимального значения магнитной индукции измерение э.д.с., индуктированной во вторичной обмотке образца, должно производиться вольтметрами средних или действующих значений (при известном коэффициенте формы ).
Если форма кривой э.д.с., индуктированной во вторичной обмотке образца, синусоидальна, может быть применен любой вольтметр (действующих, амплитудных или средних значений), предназначенный для заданного диапазона частот.
Примечание. В приложении 4 даны перечень вольтметров и их основные технические характеристики.
2.3.4. Для определения зависимости потерь в образцах от амплитудного значения магнитной индукции или напряженности магнитного поля применяют ваттметровый метод в соответствии со схемой, изображенной на черт.7. Эта же схема позволяет определять динамическую кривую намагничивания.
Черт.7. Схема определения зависимости потерь в образцах от амплитудного значения магнитной индукции или напряженности магнитного поля. Ваттметровый метод

Черт.7
2.3.5. На образец поверх изоляции должны быть нанесены две обмотки - намагничивающая и измерительная. Измерительную обмотку наносят равномерно распределенной или сосредоточенной в одном месте. Поверх измерительной обмотки наносят намагничивающую обмотку равномерно по всей длине окружности образца.
Число витков измерительной обмотки подсчитывают по формуле:
, (55)
где и
- напряжения на вторичной обмотке образца, в.
Число витков намагничивающей обмотки подсчитывают по формуле:
. (56)
2.3.6. Для определения динамической кривой намагничивания материала испытуемого образца его обмотки включают в цепь в соответствии со схемой черт.5 или 6.
Задавая последовательно требуемые значения (от меньших к большим) напряженности магнитного поля (пропорциональные силе тока в намагничивающей обмотке) и измеряя соответствующие им э.д.с., индуктированные в измерительной обмотке образца, определяют динамическую кривую намагничивания материала образца.
2.3.7. Если требуется определить динамическую кривую намагничивания и потери, измерения производят по схеме черт.7.
Задавая последовательно значения напряженности магнитного поля (по силе тока в намагничивающей обмотке) или магнитной индукции (по э.д.с., индуктированной в измерительной обмотке) и измеряя соответствующие им значения мощности (ваттметром), получают зависимость потерь в образце от напряженности магнитного поля или магнитной индукции.
2.3.8. Напряженность магнитного поля (максимальное значение) подсчитывают по формуле:
. (57)
2.3.9. Погрешность определения напряженности магнитного поля лежит в пределах от 2 до 6% в зависимости от класса измерительного прибора.
2.3.10. Максимальное значение магнитной индукции подсчитывают по формуле:
. (58)
2.3.11. Наибольшую относительную погрешность определения магнитной индукции подсчитывают по формуле:
. (59)
Примечание. Если наибольшая относительная погрешность определения площади поперечного сечения составит от 2 до 7%, погрешность частоты (большинства генераторов без кварцевых резонаторов) 2%, погрешность измерения напряжения 3-5%, погрешность определения коэффициента формы кривой вторичной э.д.с. - около 3%, то наибольшая относительная погрешность определения магнитной индукции лежит в пределах от 10 до 15%.
2.3.12. На основании полученных значений магнитной индукции и напряженности магнитного поля могут быть построены динамические кривые намагничивания вида:
,
,
,
,
,
.
По этим же данным может быть получена зависимость относительной амплитудной магнитной проницаемости от напряженности магнитного поля
, подсчитываемой по формуле:
. (60)
2.3.13. Наибольшая погрешность определения относительной амплитудной магнитной проницаемости при точностях измерения
и
, указанных в пп.2.3.9 и 2.3.11, лежит в пределах от 10 до 20%.
2.3.14. Подсчет удельных потерь в материале образца производят по формуле:
, (61)
где: - мощность, измеренная с помощью ваттметра, вт;
- сопротивление вторичной обмотки, ом:
,
- сопротивление параллельной обмотки ваттметра, ом;
- сопротивление вольтметра, ом.
При больших сопротивлениях и
(когда
) поправочным членом
можно пренебречь.
2.3.15. Наибольшую относительную погрешность определения удельных потерь подсчитывают по формуле:
. (62)
При измерении массы с погрешностью, не превышающей 0,5%, применении ваттметров с погрешностью измерения мощности не более 15% и вольтметров класса 2,5 наибольшая погрешность измерения удельных потерь составит 30%.
2.4. Метод биений
2.4.1. Метод биений применяют для определения температурного коэффициента магнитной проницаемости при его малом численном значении (
±20·10
1/град).
Таким температурным коэффициентом магнитной проницаемости обладают, например, магнитодиэлектрики на основе карбонильного железа, ферриты с низкой магнитной проницаемостью (20 ВЧ).
2.4.2. Температурный коэффициент магнитной проницаемости определяют по изменению частоты генератора вследствие изменения под влиянием температуры индуктивности катушки с сердечником из испытываемого материала, включенной в контур измерительного генератора.
С помощью электронного осциллографа сравнивают разностную частоту, полученную при смешении колебаний двух высокочастотных генераторов (основного и измерительного), с частотой генератора звуковых частот.
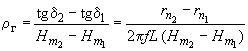
2.4.3. Блок-схема, по которой осуществляют измерения методом биений, изображена на черт.8.
Черт.8. Блок-схема измерения "бета(1)" методом биений

Черт.8
Высокочастотный блок позволяет получать напряжения, частоты которых пропорциональны измеряемому коэффициенту . Этот блок включает в себя два высокочастотных генератора: измерительный и основной, смеситель и усилитель низкой частоты.
2.4.4. Частоту основного генератора выбирают равной требуемой частоте испытаний. Ввиду высоких требований к генераторам в отношении стабильности их частот, основной генератор должен иметь кварцевый резонатор. Для повышения стабильности частоты измерительного и основного генератора они должны быть термостатированы, с тем, чтобы колебания температуры внутри термостата не превышали ±0,5 град. Конденсатор переменной емкости измерительного генератора должен обладать малым температурным коэффициентом (не больше 10·10 1/град).
Генератор звуковых частот должен давать возможность производить отсчет частоты с точностью до 1 гц при изменении частоты не более 5 гц за 1 ч.
2.4.5. В зависимости от частоты основного (кварцевого) генератора, магнитной проницаемости материала испытываемого образца и пределов изменения емкости конденсатора , входящего в контур измерительного генератора, подсчитывают число витков обмотки образца по формулам (11) и (48).
Если испытания проводят при температурах выше 373 °К, провод для обмотки должен иметь эмалевую изоляцию.
2.4.6. Перед измерением образец с обмоткой высушивают при температуре 373 °К в течение 1 ч (в отдельном термостате или в том же термокриостате, в котором производят измерения). Если измерения производят не непосредственно после просушивания, до начала измерений образцы должны храниться в эксикаторе.
2.4.7. Испытываемый образец с обмоткой включают в контур измерительного конденсатора. Если необходимо определять в широком интервале температур, измерения следует начинать с низких температур.
Задав на звуковом генераторе частоту, лежащую в середине его диапазона, изменением емкости конденсатора измерительного генератора добиваются остановки фигуры Лиссажу на экране осциллографа. Это означает, что разностная частота (измерительного и основного генераторов) равна частоте звукового генератора. Значение разностной частоты измеряют при каждой фиксированной температуре, устанавливаемой в термокриостате.
Если выбирать разностную частоту таким образом, чтобы увеличению емкости резонансного контура, в который включен испытываемый образец, соответствовало увеличение разностной частоты, то будет положительным в том случае, когда при увеличении температуры наблюдается увеличение разностной частоты, и наоборот.
2.4.8. Температурный коэффициент магнитной проницаемости подсчитывают по формуле:
, (63)
где: и
- значения разностных частот соответственно при температурах
и
, отсчитываемые по шкале генератора звуковых частот, гц;
- частота основного генератора, гц.
2.4.9. Наибольшую относительную погрешность определения подсчитывают по формуле:
. (64)
Абсолютная погрешность измерения разностной частоты на выходе установки для определения
не должна превышать 10 гц.
Примечание. При погрешности измерения температуры в термокриостате не более 0,5 град и интервале температур 30 град наибольшая относительная погрешность определения не превысит 20%.
ПРИЛОЖЕНИЕ 1. ПЕРЕЧЕНЬ основных буквенных обозначений, применяемых в формулах настоящего стандарта
ПРИЛОЖЕНИЕ 1 к ГОСТ 12635-67
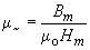
| - магнитная постоянная; |
- относительная амплитудная магнитная проницаемость; | |
- действительная составляющая относительной комплексной магнитной проницаемости | |
- то же, при температуре 25 °С; | |
- мнимая составляющая относительной комплексной магнитной проницаемости | |
- относительная обратимая магнитная проницаемость; | |
- коэффициент амплитудной нестабильности проницаемости, м/а; | |
- тангенс угла магнитных потерь; | |
- то же, при температуре 25 °C; | |
- тангенс угла потерь на гистерезис; | |
- тангенс угла частотных потерь; | |
- коэффициент потерь на гистерезис, м/а; | |
- коэффициент частотных потерь, 1/гц; | |
- коэффициент дополнительных потерь; | |
- температурный коэффициент магнитной проницаемости, 1/град; | |
- температурный коэффициент тангенса угла магнитных потерь, 1/град; | |
- полные потери, вт; | |
- удельные полные потери, вт/кг; | |
- максимальное значение синусоидальной кривой магнитной индукции, тл; | |
- максимальное значение искаженной кривой магнитной индукции, тл; | |
- максимальное значение синусоидальной кривой напряженности магнитного поля, а/м; | |
| - максимальное значение искаженной кривой напряженности магнитного поля, а/м; |
- действующее значение напряженности переменного магнитного поля, а/м; | |
- напряженность постоянного магнитного поля, а/м; | |
| - сила постоянного тока и действующее значение силы переменного тока, а; |
- максимальное значение синусоидальной кривой тока, а; | |
- максимальное значение намагничивающего тока в обмотке образца, а; | |
- максимальное значение искаженной кривой тока, а; | |
- намагничивающий ток, при учете потерь из-за собственной емкости обмотки и активной составляющей тока, обусловленной потерями в образце; | |
- действующее значение напряжения, в; | |
- максимальное значение синусоидальной кривой напряжения, в; | |
- максимальное значение искаженной кривой напряжения, в; | |
- среднее значение напряжения, в; | |
- сопротивление переменному току, ом; | |
- сопротивление обмотки постоянному току, ом; | |
- активное сопротивление обмотки при заданной частоте, ом; | |
| - сопротивление обмотки с образцом, измеренное при заданной частоте, ом; |
- сопротивление обмотки с образцом (при заданной частоте с учетом поправки на собственную емкость обмотки), ом; | |
- сопротивление потерь материала, ом; | |
- относительный температурный коэффициент электрического сопротивления материала провода, 1/град; | |
- полное сопротивление, ом; | |
- индуктивность, гн; | |
- индуктивность обмотки с образцом, гн; | |
- индуктивность обмотки с образцом, с учетом собственной емкости, гн; | |
- взаимная индуктивность, гн; | |
- взаимная индуктивность между обмотками образца, гн; | |
- емкость, ф; | |
- собственная емкость обмотки образца, ф; | |
- добротность; | |
- частота, гц; | |
- круговая частота переменного тока; | |
- число витков намагничивающей обмотки, нанесенной на образец двойным проводом для образования двух обмоток при мостовом методе измерения; | |
- число витков намагничивающей обмотки образца; | |
- число витков измерительной обмотки образца; | |
| - наружный, внутренний, средний и гармонический диаметры кольцевого образца, м; |
- площадь поперечного сечения образца, м | |
- толщина образца, м; | |
- масса образца, кг; | |
- коэффициент формы кривой напряжения; | |
- коэффициент нелинейных искажений; | |
- коэффициент амплитуды; | |
- коэффициент зависимости активного сопротивления от частоты намагничивающего тока и марки провода (скин-эффект); | |
- температура по шкале Цельсия, °С. |
ПРИЛОЖЕНИЕ 2. ХАРАКТЕРИСТИКИ аппаратуры, применяемой при испытаниях образцов магнитномягких материалов мостовым методом
ПРИЛОЖЕНИЕ 2 к ГОСТ 12635-67
Наименование аппаратуры | Основные характеристики аппаратуры | ||
Мост по резонансной схеме (измерительная установка УИММ-2, | Мост по резонансной схеме (измерительная установка УИМ-2, завод "Эталон") | Мост по схеме со взаимной индуктивностью (измерительная установка УВИМ-1, | |
Частотный диапазон, кгц | 10-1000 | 10-1000 | 10-50 |
Погрешности аппаратуры, % | 1 для | 0,3 для | 0,5 для |
5 для | 1 для | ||
10 для | 10 для | ||
Магазин сопротивления: | |||
а) пределы | (1-10 | (10 | - |
б) погрешность, % | 0,1 | 0,1 | - |
в) дополнительные характеристики | - |
| - |
Постоянные сопротивления: | |||
а) пределы, ом |
|
|
|
б) погрешность, % | 0,1 | 0,05 | 0,05 |
в) постоянные времени, сек |
|
|
|
а) пределы | (0,0001-1) мкф | (50-11150) пф - воздушные конденсаторы |
|
(0,01-1) мкф - слюдяные конденсаторы |
| ||
б) погрешность | 0,1% | Воздушные конденсаторы: где |
|
Слюдяные конденсаторы: 0,1% | 0,1% (для | ||
в) тангенс угла потерь конденсаторов |
|
|
|
|
| ||
Индикатор: | |||
а) чувствительность дел/мкв | 0,2-1 | 0,2-1 | 5 |
б) избирательность, дб | 50 | 50 | 50 |
а) выходная мощность, вт | 10 | 10 | 10 |
б) искажения, % |
|
|
|
в) погрешность, % | 0,01 | 0,01 | 0,01 |
Схемы и уравнения равновесия |
|
|
|
ПРИЛОЖЕНИЕ 3. ПЕРЕЧЕНЬ амперметров, миллиамперметров и микроамперметров и их основные характеристики
ПРИЛОЖЕНИЕ 3 к ГОСТ 12635-67
Тип при- | Пределы измерений | Погрешность в номиналь- | Номиналь- | Погрешность в расширен- | Расши- | Система прибора | Допол- |
Т13 | 1-3 ма | 1,5 | 50 гц - | 3 | 15-40 Мгц | Термоэлектри- | |
Т15 | 10-30-50 ма | 1 | 20 гц - | 2 | до 75 Мгц | Термоэлектри- | |
100 ма | 20 гц - | до 60 Мгц | |||||
300 ма | 20 гц - | до 30 Мгц | |||||
Т15/1 | 5 ма | 1 | 20 гц - | 2 | до 75 Мгц | Термоэлектри- | |
Т18 | 0,5-1-2; 5 а | 1,5 | 50 гц - | 3 | 2-5 Мгц | Термоэлектри- | |
Т133 | 100-250-500-1000 мка | 1,5 | 20 гц - | 3 | 0,5-1 Мгц | Термоэлектри- |
|
Ф506 | 10-30-100-300 мка | 1,0 | 20 гц - | 2 | 40 кгц - 60 кгц | Электронная |
|
Ф533 | 0,03-0,1-0,3-1-3-10- | 0,5 | 40 гц - | 1 | 20 гц - 50 кгц | Электронная |
|
ПРИЛОЖЕНИЕ 4. ПЕРЕЧЕНЬ вольтметров и милливольтметров и их основные характеристики
ПРИЛОЖЕНИЕ 4 к ГОСТ 12635-67
Тип при- | Пределы | Погрешность в номи- | Номи- | Погрешность в расши- | Расши- | Сис- | Дополни- | Примечание |
Т16 | 0,75-1,5-3 в | 1,5 | 20 гц - | 3 | 20-40 Мгц | Термо- |
| |
7,5-15-30 в | 20 гц - | |||||||
Т132 | 3-7,5-15-30 в | 1,5 | 20 гц - 200 кгц | 3 | 0,2-0,4 Мгц | Термо- |
| |
Т131 | 75-150-300 мв | 1,5 | 20 гц - | 3 | 1-2 Мгц | Термо- |
| |
750-1500 мв | 20 гц - 0,5 Мгц | 0,5-1 Мгц | ||||||
В3-2А | 10-30-100-300 мв | 2,5 | 55 гц - | 4 | 40 гц - 400 кгц | Элек- |
| |
1-3-10-30-100-300 в | 6 | 20 гц - | ||||||
В3-3 | 10-30-100-300-1000 мв | 3 | 50 гц - | 5 | 30 гц - | Элек- |
| |
В3-4 | 10-30-100-300-1000 мв | 2,5 | 400 гц - 20 кгц | 4 | 20 гц - 500 кгц | Элек- |
|
|
В3-5 | 0,05-0,1-0,2- | 4 | 40 гц - 500 кгц | 10 | 20 гц - | Элек- |
|
|
В3-6 | 0,5-1-2-5-10-20- | 6 | 30 гц - 200 кгц | 10 | 5 гц - | Элек- |
| для |
В3-7 | 3-10-30-100-300- | 1,5 | 100 гц - | 2 | 40 гц - | Элек- |
|
|
2,5 | 20 гц - 200 кгц | |||||||
1 мв | 2,5 | |||||||
10-30-100-300 в | 2,5 | 3 | 40 гц - | |||||
4 | 20 гц - 200 кгц | |||||||
5 | 20 гц - 200 кгц | |||||||
4 | 40 гц - | |||||||
В3-9 | 20-1250 мв |
| 1000 гц - 30 Мгц | - | - | - | - |
|
В3-12 | 20-50 мв | 4 | 100 кгц - 150 Мгц | 6 | 150-200 Мгц | Элек- |
| |
В3-15 | 0,25-0,5-1-2,5-5- | 4-6 | 1 кгц - 100 Мгц | 6-10 | 50 гц - 300 Мгц | Элек- |
|
|
В3-19 | 1-3-10-30-100-300 мв | 4 | 50 гц - 200 кгц | 6 | 20 гц - | Элек- |
|
|
ВК7-7 | 1,5-5-15-50-150 в | 2,5 | 400 гц - 25 Мгц | 6 | 100-200 Мгц | Элек- |
| |
Ф506 | 10-30-100-300 мв | 1 | 20 гц - | 2 | 40 кгц - 60 кгц | Элек- |
| |
Ф534 | 0,3-1-3-10- | 0,5 | 40 гц - | 1 | 20 гц - | Элек- |
|
ПРИЛОЖЕНИЕ 5. ГРАФИКИ коэффициентов N, G и K и пример расчета K("омега") для провода марки ЛЭШО 12х0,07
ПРИЛОЖЕНИЕ 5 к ГОСТ 12635-67
ГРАФИКИ
коэффициентов ,
и
(черт.1, 2 и 3)
и пример расчета для провода марки ЛЭШО 12х0,07
| ||||
100 | 0,25 | 1,0000 | 0,00006 | 1,000 |
200 | 0,34 | 1,0000 | 0,00020 | 1,0022 |
300 | 0,41 | 1,0000 | 0,00035 | 1,0039 |
500 | 0,53 | 1,0000 | 0,00122 | 1,0134 |
600 | 0,58 | 1,0005 | 0,00175 | 1,0198 |
1000 | 0,75 | 1,0015 | 0,00480 | 1,0543 |

Черт.1

Черт.2

Черт.3
Электронный текст документа
подготовлен ЗАО "Кодекс" и сверен по:
официальное издание
М.: Издательство стандартов, 1967
Разместите заказ
сами сделают вам предложение

;
; 

