ГОСТы сталей. ГОСТ 3443-87
ГОСТ 3443-87
Группа В89
МЕЖГОСУДАРСТВЕННЫЙ СТАНДАРТ
ОТЛИВКИ ИЗ ЧУГУНА С РАЗЛИЧНОЙ ФОРМОЙ ГРАФИТА
Методы определения структуры
Cast iron castings with graphite of different form. Methods of structure determination
MКC 77.140.80
ОКП 41 1100
Дата введения 1988-07-01
ИНФОРМАЦИОННЫЕ ДАННЫЕ
1. РАЗРАБОТАН И ВНЕСЕН Министерством энергетического машиностроения
2. УТВЕРЖДЕН И ВВЕДЕН В ДЕЙСТВИЕ Постановлением Государственного комитета СССР по стандартам от 26.02.87 N 614
3. Стандарт соответствует международному стандарту ИСО 945-75* в части методики построения шкал для оценки формы, размеров и распределения включений графита
________________
* Доступ к международным и зарубежным документам, упомянутым в тексте, можно получить, обратившись в Службу поддержки пользователей. - Примечание изготовителя базы данных.
4. ВЗАМЕН ГОСТ 3443-77
5. ССЫЛОЧНЫЕ НОРМАТИВНО-ТЕХНИЧЕСКИЕ ДОКУМЕНТЫ
| Обозначение НТД, на который дана ссылка | Номер приложения |
| ИСО 945-75 | 1 |
6. Ограничение срока действия снято по протоколу N 7-95 Межгосударственного совета по стандартизации, метрологии и сертификации (ИУС 11-95)
7. ПЕРЕИЗДАНИЕ. Август 2005 г.
Настоящий стандарт распространяется на отливки из чугуна конструкционного назначения с различной формой графита и устанавливает методы определения структуры серого чугуна с пластинчатым графитом, высокопрочного чугуна с шаровидным и вермикулярным графитом и ковкого чугуна с компактным графитом.
Стандарт предназначен для оценки структуры нелегированного и низколегированного чугуна в литом состоянии, подвергнутого отжигу для снятия внутренних напряжений, высокотемпературному отжигу, нормализации или другим видам термической обработки для получения необходимой структуры.
Стандарт не распространяется на высоколегированный чугун.
Стандарт соответствует международному стандарту ИСО 945-75 в части, касающейся методики построения шкал для оценки формы, размеров и распределения включений графита (см. приложение 1).
1. ОБЩИЕ ПОЛОЖЕНИЯ
1. ОБЩИЕ ПОЛОЖЕНИЯ
1.1. Структуру чугуна определяют по графиту и металлической основе.
При определении графита оценке подлежат: форма, распределение, размеры, количество включений графита.
При определении металлической основы оценке подлежат: вид структуры, форма перлита, содержание перлита (или феррита), дисперсность перлита, строение, распределение, размеры ячеек сетки и площадь включений фосфидной эвтектики, количество и размеры включений цементита (или цементита ледебурита).
1.2. Для обозначения компонентов структуры и их характерных особенностей применяют условные обозначения, указанные в табл.1.
Таблица 1
| Структурная составляющая | Оцениваемый параметр | Условное обозначение |
| Графит: | | |
| пластинчатый | | ПГ |
| вермикулярный | | ВГ |
| шаровидный | | ШГ |
| компактный | | КГ |
| | Форма включений | ПГф; ВГф; ШГф; КГф |
| | Размер включений | ПГд; ШГд; КГд и цифровое значение среднего размера (длина или диаметр) включений графита (мкм) |
| | Распределение включений | ПГр; ВГр; ШГр |
| | Количество включений | ПГ; ВГ; ШГ и цифровое значение средней площади (%), занятой графитом на микрошлифе |
| Металлическая основа | Вид структуры: | |
| | феррит | Ф |
| | перлит пластинчатый | Пт1 |
| | перлит зернистый | Пт2 |
| | троостит | Т |
| | бейнит | Б |
| | мартенсит | М |
| Перлит | Дисперсность | ПД и цифровое значение среднего расстояния между пластинами цементита (мкм) |
| Перлит или феррит | Содержание | П или Ф и цифровое значение средней площади (%), занятой этими составляющими на микрошлифе |
| Фосфидная эвтектика | Строение: | ФЭ |
|
| ФЭ1 | |
| | тройная | ФЭ3 |
| | тройная | ФЭ4 |
| | тройная и пластины цементита | ФЭ5 |
| | Распределение | ФЭр |
| | Диаметр ячеек сетки | ФЭд и цифровое значение среднего диаметра ячеек сетки (мкм) |
| | Площадь включений | ФЭп и цифровое значение средней площади изолированных включений (мкм |
| Цементит | Количество включений | Ц и цифровое значение средней площади (%), занятой цементитом на микрошлифе |
| | Площадь включений | Цп и цифровое значение средней площади изолированных включений цементита (мкм |
2. ОТБОР И ИЗГОТОВЛЕНИЕ ОБРАЗЦОВ
2.1. Образцы для приготовления шлифов исследования структуры вырезаются из отливок, приливных или специально отлитых проб, а также литых заготовок, применяемых для изготовления образцов для механических испытаний.
Не допускается применять образцы, вырезанные из стояка, выпора или прибыли.
Допускается подготовка шлифа на рабочей поверхности отливки без вырезки специального образца.
2.2. Отбор образцов и изготовление шлифов для определения структуры проводят таким образом, чтобы не нарушать в них структуру чугуна.
Если в технических условиях на отливку указана термическая обработка, то образцы для анализа структуры отбирают после термической обработки.
Специально отлитые заготовки, приливы или пробы для образцов подвергают термической обработке вместе с отливкой.
2.3. Порядок отбора и количество образцов для определения структуры, а также требования по структуре чугуна указываются в технических условиях на отливку.
2.4. При вырезке образцов из отливки следует учитывать неоднородность структуры чугуна в зависимости от толщины стенки и длины отливки.
Образцы отбирают таких размеров и сечений, чтобы они давали полное представление о структуре отливок.
Для толстостенных отливок образец должен быть площадью не менее 3 см, но не более 9 см
, для тонкостенных отливок площадью шлифа - не менее 0,2 см
. Для мелких деталей (например индивидуальные поршневые кольца) допускаются шлифы меньших размеров. Высота шлифа не должна быть более 15-20 мм.
Место вырезки образцов из отливки должно быть определено на чертеже.
При определении структуры на образцах, вырезанных из приливов к отливкам, или отдельно отлитых проб необходимо, чтобы толщина стенки и условия кристаллизации прилива (или пробы) и отливки были одинаковыми.
Размер прилива и его расположение на отливке должны быть указаны на чертеже.
При определении структуры непосредственно на рабочей поверхности отливки шлиф изготавливают на глубине, равной припуску на механическую обработку. Допускается также изготовление шлифа после механической обработки отливки.
3. ПРОВЕДЕНИЕ ИСПЫТАНИЙ
3.1. Поверхность шлифа должна быть зеркальной, без рисок от операций шлифования и полирования, окислов и других загрязнений.
3.2. Исследование графита проводят на нетравленном шлифе, а металлической основы - на шлифе после травления.
Для травления поверхности шлифа применяют реактивы, приведенные в приложении 2.
3.3. Для определения структуры чугуна шлифа просматривают под микроскопом при увеличениях, указанных на эталонных шкалах приложения 3.
Для оценки структуры выбирают участки шлифа, расположенные от его края на расстоянии не менее или
толщины или диаметра образца.
3.4. Оценка структуры чугуна проводится визуально сопоставлением структуры, видимой в микроскопе, со структурой эталона соответствующей шкалы.
Для более точной оценки структуры следует применять линейный, точечный или планиметрический методы количественной металлографии, а также специальные автоматические установки Квантимет, Эпиквант и др.
3.5. Определение содержания графита
3.5.1. В зависимости от вида чугуна графит в его структуре определяется по шкалам 1-4 приложения 3: чугун с пластинчатым графитом - шкале 1, чугун с вермикулярным графитом - шкале 2, чугун с шаровидным графитом - шкале 3, чугун с компактным графитом - шкале 4.
3.5.2. Форма включений графита в структуре чугуна оценивается: для чугуна с пластинчатым графитом - по шкале 1А, с вермикулярным графитом - шкале 2А, с шаровидным графитом - шкале 3А и с компактным графитом - шкале 4А.
Если в структуре чугуна имеется графит различной формы, то следует визуально оценивать процентную долю каждой формы и указывать ее при обозначении структуры.
3.5.3. В зависимости от размера (длины или диаметра) включений графита структура чугуна оценивается по табл.2 и шкалам: для чугуна с пластинчатым графитом - шкале 1Б, с шаровидным графитом - шкала 3Б, с компактным графитом - шкала 4Б.
Таблица 2
| Обозначение | Длина включений пластинчатого графита, мкм | Обозначение | Диаметр включений шаровидного или компактного графита, мкм | ||||||
| ПГд15 | | До | 15 | ШГд15; КГд15 | | До | 15 | ||
| ПГд25 | От | 15 | " | 30 | ШГд25; КГд25 | От | 15 | " | 30 |
| ПГд45 | " | 30 | " | 60 | ШГд45; КГд45 | " | 30 | " | 60 |
| ПГд90 | " | 60 | " | 120 | ШГд90; КГд90 | " | 60 | " | 120 |
| ПГд180 | " | 120 | " | 250 | ШГд180; КГд180 | " | 120 | " | 250 |
| ПГд350 | " | 250 | " | 500 | ШГд360; КГд360 | " | 250 | " | 500 |
| ПГд750 | " | 500 | " | 1000 | | | |||
| ПГд1000 | " | 1000 | | | |||||
Определение размеров включений графита проводится по средней длине или диаметру трех наибольших включений на микрошлифе, измеренных не менее чем в трех полях зрения.
Если в структуре чугуна имеется графит различной формы, размеры его включений определяются для каждой формы.
3.5.4. В зависимости от распределения включений графита структура чугуна оценивается: для чугуна с пластинчатым графитом по шкале 1В, с вермикулярным графитом по шкале 2Б, чугуна с шаровидным графитом - шкале 3В.
При наличии в структуре чугуна включений графита различных видов распределения, занимающих площадь до 1,0% общей площади шлифа, их следует оценивать как "следы".
3.5.5. В зависимости от количества включений графита структура чугуна с пластинчатым графитом оценивается по табл.3 и шкале 1Г, с шаровидным графитом по табл.3 и шкале 3Г.
Таблица 3
| Обозначение | Площадь, занятая графитом, % | |||
| ПГ2, ШГ2 | До | 3 | ||
| ПГ4, ШГ4 | От | 3 | " | 5 |
| ПГ6, ШГ6 | " | 5 | " | 8 |
| ПГ10, ШГ10 | " | 8 | " | 12 |
| ПГ12, ШГ12 | " | 12 | ||
Количество включений графита оценивается средним процентом площади, занятой на микрошлифе, и определяется не менее чем в 3 полях зрения.
3.5.6. Количество шаровидного графита в процентах в структуре чугуна с вермикулярным графитом оценивается по табл.4 и шкале 2В.
Таблица 4
| Обозначение | Площадь, занятая шаровидным графитом, % | |||
| ВГ100 | | 0 | ||
| ВГ98 | | До | 5 | |
| ВГ92 | От | 5 | " | 10 |
| ВГ85 | " | 10 | " | 20 |
| ВГ70 | " | 20 | " | 40 |
Доля шаровидного графита по отношению к вермикулярному оценивается средним процентом площади, занятой указанным графитом на шлифе и определенной не менее чем в 3 полях зрения.
3.6. Определение металлической основы
3.6.1. В зависимости от типа металлической основы структура чугуна определяется по шкале 5.
3.6.2. В зависимости от количества перлита или феррита в процентах (перлит + феррит = 100%) структура чугуна оценивается по табл.5 и шкале 6 приложения 3; для крупных и средних отливок из чугуна с пластинчатым графитом при малой скорости их охлаждения - ряд 1, для тонкостенных отливок из чугуна с пластинчатым графитом при повышенной скорости их охлаждения - ряд 2, для отливок из чугуна с вермикулярным графитом - ряд 3, для отливок из чугуна с шаровидным графитом - ряд 4, для отливок из ковкого чугуна - ряд 5.
Таблица 5
| Обозначение | Площадь, занятая перлитом, % | |||
| П | От | 98 | ||
| П96 | " | 94 | до | 98 |
| П92 | " | 90 | до | 94 |
| П85 | " | 80 | до | 90 |
| П70 | " | 60 | до | 80 |
| П45 | " | 30 | до | 60 |
| П20 | " | 10 | до | 30 |
| П6 | " | 2 | до | 10 |
| П0 | | " | 2 | |
| Ф0 | До | 2 | ||
| Ф4 | От | 2 | " | 6 |
| Ф8 | " | 6 | " | 10 |
| Ф15 | " | 10 | " | 20 |
| Ф30 | " | 20 | " | 40 |
| Ф55 | " | 40 | " | 70 |
| Ф80 | " | 70 | " | 90 |
| Ф94 | " | 90 | " | 98 |
| Ф | " | 98 | ||
Количество перлита или феррита оценивается средним процентом площади, занятой этими структурными составляющими на шлифе и определенной не менее чем в 3 полях зрения.
3.6.3. Вид краевой зоны в образцах из ковкого чугуна определяется по шкале 7.
3.6.4. В зависимости от степени дисперсности пластинчатого перлита структурного чугуна оценивается по табл.6 и шкале 8 приложения 3.
Таблица 6
| Обозначение | Расстояние между пластинами цементита, мкм | |||
| ПД0,3 | До | 0,3 | ||
| ПД0,5 | От | 0,3 | " | 0,8 |
| ПД1,0 | " | 0,8 | " | 1,3 |
| ПД1,4 | " | 1,3 | " | 1,6 |
| ПД1,6 | " | 1,6 | ||
Дисперсность пластинчатого перлита определяется средним расстоянием между пластинами цементита. Это расстояние измеряется в зернах перлита наибольшей дисперсности, где пластины цементита расположены перпендикулярно к плоскости шлифа.
При необходимости более точного определения дисперсности перлита следует пользоваться методом оценки, приведенным в приложении 2.
3.6.5. В зависимости от строения фосфидной эвтектики структура чугуна оценивается по шкале 9А: при травлении шлифа 4,0%-ным спиртовым раствором азотной кислоты - ряд 1, при травлении шлифа нагретым до 70-80 °С раствором Мураками - ряд 2.
3.6.6. В зависимости от характера распределения значений фосфидной эвтектики структура чугуна оценивается по шкале 9Б.
3.6.7. В зависимости от диаметра ячеек сетки фосфидной эвтектики структура чугуна оценивается по табл.7 и шкале 9В приложения 3.
Таблица 7
| Обозначение | Диаметр ячеек сетки, мкм | |||
| ФЭд250 | До | 250 | ||
| ФЭд400 | От | 250 | " | 500 |
| ФЭд650 | " | 500 | " | 750 |
| ФЭд1000 | " | 750 | " | 1250 |
| ФЭд1250 | " | 1250 | ||
Диаметр ячейки сетки определяется средним значением диаметров трех наибольших ячеек.
3.6.8. В зависимости от размера изолированных включений фосфидной эвтектики, определяемой средней площадью трех наибольших включений, структура чугуна оценивается по табл.8 и шкале 9Г обязательного приложения 3.
Таблица 8
| Обозначение | Площадь, наибольших включений, мкм | |||
| ФЭп2000 | До | 2000 | ||
| ФЭп6000 | От | 2000 | " | 10000 |
| ФЭп13000 | " | 10000 | " | 16000 |
| ФЭп20000 | " | 16000 | " | 20000 |
| ФЭп25000 | " | 25000 | ||
3.6.9. В зависимости от количества цементита или цементита ледебурита структура чугуна оценивается по табл.9 и шкале 10А обязательного приложения 3.
Таблица 9
| Обозначение | Площадь, занятая цементитом или цементитом ледебурита, % | |||
| Ц2 | До | 2 | ||
| Ц4 | От | 2 | " | 5 |
| Ц10 | " | 5 | " | 15 |
| Ц25 | " | 15 | " | 40 |
| Ц40 | " | 40 | ||
Количество цементита или цементита ледебурита оценивается средним процентом площади, занимаемой этими включениями на шлифе и определяемой не менее чем в трех полях зрения.
При наличии в структуре чугуна включений цементита в количестве менее 1,0% (одно-два включения площадью менее 2000 мкм в двух-трех полях зрения) их следует оценивать как "следы".
3.6.10. В зависимости от размера изолированных включений цементита или цементита ледебурита, определяемого средней площадью трех наибольших включений, структура чугуна оценивается по табл.10 и шкале 10Б приложения 3.
Таблица 10
| Обозначение | Площадь наибольших включений цементита или цементита ледебурита, мкм | ||||
| Цп2000 | До | 2000 | |||
| Цп6000 | От | 2000 | " | 10000 | |
| Цп13000 | " | 10000 | " | 16000 | |
| Цп20000 | " | 16000 | " | 25000 | |
| Цп25000 | " | 25000 | |||
Примеры записи результатов определения структуры
Структура чугуна с равномерно распределенным пластинчатым графитом прямолинейной формы длиной 60-120 мкм; металлическая основа: перлит пластинчатый в количестве от 30 до 60% с межпластинчатым расстоянием 0,5 мкм; фосфидная эвтектика тройная, игольчатого строения в виде отдельных включений:
ПГф1-ПГр1-ПГд90-Пт1-П45-Пд0,5-ФЭ3-ФЭр1
Структура чугуна с шаровидным графитом правильной формы диаметром от 30 до 60 мкм; металлическая основа: 60% пластинчатого перлита и зернистый перлит:
ШГф5-ШГд45-Пт1-П70-Пт2
Структура ковкого чугуна с включениями графита компактной формы диаметром 40-50 мкм; металлическая основа: 60% пластинчатого перлита с межпластинчатым расстоянием 0,8 мкм, 40% феррита.
КГф3-КГд45-Пт1-П70-Ф30-Пд1,0
Структура чугуна с вермикулярным графитом утолщенной формы, неравномерно распределенного, количество вермикулярного графита 85%; металлическая основа 80% феррита.
ВГф3-ВГр2-ВГ85-Ф80.
ПРИЛОЖЕНИЕ 1 (справочное)
ПРИЛОЖЕНИЕ 1
Справочное
Таблица 11
Соответствие обозначений эталонов для оценки формы графита в шкалах настоящего стандарта и стандарта ИСО 945-75
| Форма графита | Обозначение эталона | Обозначение эталона в стандарте |
| Пластинчатая прямолинейная | ПГф1 | I |
| Гнездообразная | ПГф4 | II |
| Червеобразная | ВГф2 | III |
| Нитевидная | КГф1 | IV |
| Компактная | КГф3 | V |
| Шаровидная | ШГф5 | VI |
| Игольчатая | ПГф3 | - |
Таблица 12
Соответствие обозначений эталонов для оценки распределения графита в шкалах настоящего стандарта и стандарта ИСО 945-75
| Распределение графита | Обозначение эталона | Обозначение эталона в стандарте ИСО 945-75 |
| Равномерное | ПГр1 | А |
| Неравномерное | ПГр2 | С |
| Розеточное | ПГр7 | В |
| Междендритное | ПГр8 | D |
| | ПГр9 | Е |
| Веточное | ПГр5 | - |
| Колонии пластинчатого графита | ПГр3 | - |
| Колонии междендритного графита | ПГр4 | - |
| Сетчатое | ПГр6 | - |
Таблица 13
Соответствие обозначений эталонов для оценки размера (длины и диаметра) включений графита в шкалах настоящего стандарта и стандарта ИСО 945-75
| Длина или диаметр включений, мкм | Обозначение эталона | Обозначение эталона в стандарте ИСО 945-75 | |||
| Св. | 1000 | | 1 | ||
| От | 500 | до | 1000 | ПГд | 2 |
| " | 250 | " | 500 | ПГд, ШГд360 | 3 |
| " | 120 | " | 250 | ПГд, ШГд180 | 4 |
| " | 60 | " | 125 | ПГд, ШГд90 | 5 |
| " | 30 | " | 60 | ПГд, ШГд45 | 6 |
| " | 15 | " | 30 | ПГд, ШГд25 | 7 |
| " | 15 | ПГд, ШГд15 | 8 | ||
ПРИЛОЖЕНИЕ 2 (рекомендуемое)
ПРИЛОЖЕНИЕ 2
Рекомендуемое
Состав реактивов для травления шлифов и выявления общей структуры чугуна и отдельных структурных составляющих
| Назначение травления | Наименование и состав реактива | Способ травления | Результат травления |
| Общее представление о структуре, выявление перлита пластинчатого и зернистого, троостита, мартенсита | 4%-ный раствор азотной кислоты (4 см | Травление при комнатной температуре | Перлит и троостит темные, феррит светлый |
| Бейнит или мартенсит | 1 г пикриновой кислоты и 95 см | | Бейнит темный, мертенсит светлый |
| эвтектика Фосфидная* | Пикрат натрия (2 г пикриновой кислоты, 10 г
| Травление нагретым до 70-80 °С раствором пикрата натрия с последующим травлением шлифа в 4%-ном растворе азотной кислоты | Фосфид темно-коричневый, цементит и феррит белые. При длительном травлении цементит окрашивается в коричневый цвет |
| | Реактив Мураками [2 г соли | Травление нагретым до 70-80 °С реактивом с последующим травлением шлифа в 4%-ном растворе азотной кислоты | Фосфид темно-коричневый, цементит белый, феррит серо-голубой |
| Характер распределения, размер ячеек сетки, размер включений | 4%-ный раствор азотной кислоты или для более глубокого травления 10%-ный раствор азотной кислоты (10 мл и 90 мл этилового спирта) | Травление при комнатной температуре | Цементит и фосфидная эвтектика белые, фон металлической основы темный |
| Цементит | То же | То же | То же |
________________
* Текст документа соответствует оригиналу. - Примечание изготовителя базы данных.
Оценка дисперсности перлита
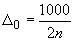
Определение дисперсности перлита проводится следующим методом: в плоскости шлифа под микроскопом при помощи окулярмикрометра на произвольной секущей прямой длиной 1000 мкм подсчитывают количество пересекаемых ею под произвольными углами пластин цементита . Затем действительное среднее между пластинами цементита расстояние (
) в микрометрах вычисляют по формуле
.
ПРИЛОЖЕНИЕ 3 (обязательное)
ПРИЛОЖЕНИЕ 3
Обязательное
ШКАЛА 1. ОПРЕДЕЛЕНИЕ ГРАФИТА В СТРУКТУРЕ ЧУГУНА С ПЛАСТИНЧАТЫМ ГРАФИТОМ
ШКАЛА 1. ОПРЕДЕЛЕНИЕ ГРАФИТА В СТРУКТУРЕ ЧУГУНА С ПЛАСТИНЧАТЫМ ГРАФИТОМ
А. Форма включения графита
А. Форма включения графита
Увеличено в 100 раз
| Пластинчатая | Пластинчатая |
|
|
|
| ПГф1 | ПГф2 |
| Игольчатая | Гнездообразная |
|
|
|
| ПГф3 | ПГф4 |
Б. Длина включений графита (мкм)
Б. Длина включений графита (мкм)
Разместите заказ
сами сделают вам предложение





