ГОСТы сталей. ГОСТ 22663-77
ГОСТ 22663-77*
Группа В79
ГОСУДАРСТВЕННЫЙ СТАНДАРТ СОЮЗА ССР
МАТЕРИАЛЫ ТЕРМОЭЛЕКТРОДНЫЕ ДЛЯ НИЗКОТЕМПЕРАТУРНЫХ ТЕРМОПАР
Метод испытания на однородность
Thermoelectrode materials for low-temperature thermocouples.
Method of homogeneity test
ОКСТУ 1909
Дата введения 1980-01-01
Постановлением Государственного комитета стандартов Совета Министров СССР от 12 августа 1977 г. N 1960 срок введения установлен с 01.01.80
Проверен в 1984 г. Постановлением Госстандарта от 10.07.84 N 2444 срок действия продлен до 01.01.90**
_______________
** Ограничение срока действия снято по протоколу N 4-93 Межгосударственного Совета по стандартизации, метрологии и сертификации (ИУС N 4, 1994 год). - Примечание изготовителя базы данных.
* ПЕРЕИЗДАНИЕ (май 1985 г.) с Изменением N 1, утвержденным в июле 1984 г. (ИУС 11-84).
Настоящий стандарт распространяется на термоэлектродные материалы в форме круглых проволок без покрытия диаметром от 0,1 до 0,7 мм, используемые для составления низкотемпературных термопар с рабочим диапазоном измеряемых температур от минус 200 до 100 °С, и устанавливает метод испытания термоэлектродных материалов на однородность.
Метод основан на регистрации изменений т.э.д.с. неоднородности участков проволоки, возникающих при передвижении испытуемой проволоки в поле градиента температур от комнатной до температуры кипения жидкого азота.
Основным показателем качества термоэлектродных материалов является значение размаха т.э.д.с. неоднородности материала проволоки.
Определение терминов, встречающихся в стандарте, приведено в справочном приложении 1.
1. МЕТОД ОТБОРА ОБРАЗЦОВ
1. МЕТОД ОТБОРА ОБРАЗЦОВ
1.1. Длина и количество образцов термоэлектродных материалов, подлежащих испытаниям на однородность, указываются в нормативно-технической документации на конкретную продукцию.
1.2. Для проведения испытания на однородность испытуемый образец проволоки в катушке (бухте) делят по длине на участки размером 2 м, нумеруя их порядковым номером 1,2 ... N.
1.3. Испытанию на однородность должно подвергаться не менее 50 из всех двухметровых участков испытуемого образца, порядковые номера которых выбирают по ГОСТ 11.003-73.
Примечание. При длине испытуемого образца проволоки менее 100 м испытанию подвергают весь образец.
2. АППАРАТУРА
2.1. Испытание проволоки на однородность должно проводиться на установке УИН-1, прошедшей метрологическую аттестацию в соответствии с требованиями ГОСТ 8.326-78.
2.2. Параметры установки УИН-1 должны удовлетворять следующим требованиям.
2.1; 2.2. (Измененная редакция, Изм. N 1).
2.2.1. Диапазон измерений т.э.д.с. неоднородности не должен превышать 100 мкВ.
2.2.2. Погрешность измерения т.э.д.с. неоднородности проволоки не должна превышать значения, равного 0,75 мкВ.
2.2.3. Граничная частота пропускания установки (на уровне 0,9) должна быть не менее 0,9 Гц.
2.2.4. Дрейф показаний установки после 60 мин прогрева не должен превышать 2 мкВ/ч.
2.2.5. Разность температур свободных концов образца сравнения и соединительного проводника должна быть не более 0,1 °С.
2.2.6. Среднее квадратическое значение напряжения шумов в контактных системах не должно превышать 0,2 мкВ.
2.2.7. Скорость передвижения участков проволоки при испытаниях не должна превышать 10 мм/с, а при перемотке - 200 мм/с.
2.2.8. Изменение уровня жидкого азота в термостатной ванне за время испытаний не должно превышать ±2,0 мм.
3. ПОДГОТОВКА К ИСПЫТАНИЮ
3.1. На подающем барабане механизма передвижения установки УИН-1 устанавливают контактную систему из материала, одноименного с материалом испытуемой проволоки.
(Измененная редакция, Изм. N 1).
3.2. От начала бухты (катушки) испытуемой проволоки отрезают два метровых отрезка, используемых в дальнейшем в качестве образца сравнения и соединительного проводника.
3.3. Зачищенный наждачной бумагой конец образца испытуемой проволоки закрепляют в стержне контактной системы подающего барабана механизма передвижения.
3.4. Образец проволоки наматывают на подающий барабан. При перемотке поверхность проволоки протирают тампоном, смоченным в спирте-ректификате. Расход спирта-ректификата составляет 1 г на 100 м испытуемой проволоки.
3.5. Другой зачищенный конец образца испытуемой проволоки после перемотки закрепляют в серебряном стержне контактной системы приемного барабана.
4. ПРОВЕДЕНИЕ ИСПЫТАНИЙ
4.1. При проведении испытания должны соблюдаться следующие условия:
температура помещения, в котором проводится испытание, должна соответствовать значению 20±5 °С;
относительная влажность помещения не должна превышать 80%;
влияние внешних электрических и магнитных полей, кроме земных, не должно вызывать дополнительной погрешности измерения т.э.д.с. неоднородности, превышающей половину погрешности измерений из-за шумов в контактных системах.
4.2. Сопротивление цепи образец сравнения - испытуемый образец проволоки - соединительный проводник не должно превышать значения, указанного в паспорте усилителя для сопротивления входной цепи.
4.3. Включают движение диаграммной ленты потенциометра и производят запись кривой "электрического нуля" на длине ленты около 150 мм. При записи кривой "электрического нуля" следует осуществить запись калибровочного сигнала. Затем отключают движение диаграммной ленты.
4.4. Осуществляют перемотку образца проволоки с подающего барабана на приемный со скоростью не более 200 мм/с до начала участка, номер которого выбран в соответствии с требованиями п.1.3.
4.5. Осуществляют передвижение испытуемого участка проволоки со скоростью не более 10 мм/с и производят запись кривой изменений т.э.д.с. неоднородности по его длине.
4.6. Цикл испытаний по п.п.4.4 и 4.5 повторяют до тех пор, пока не будет осуществлена запись кривых т.э.д.с. неоднородности всех выбранных по п.1.3 участков длиной 2 м.
5. ОБРАБОТКА РЕЗУЛЬТАТОВ
5.1. Параллельно краю диаграммной ленты проводят линию (условный уровень) на длине всех кривых т.э.д.с. неоднородности так, чтобы она не пересекала ни одну кривую.
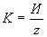
5.2. Определяют максимальное () и минимальное (
) отклонение т.э.д.с. неоднородности от условного уровня. Вычисляют значение размаха т.э.д.с. неоднородности (
) в мкВ испытанного образца проволоки по формуле
,
где - коэффициент перевода, мкВ/мм, вычисляемый по формуле
,
где - значение калибровочного сигнала, мкВ;
- значение калибровочного сигнала на диаграммной ленте, мм.
Определение размаха т.э.д.с. неоднородности испытуемого образца приведено в справочном приложении 3.
Примечание. Оценка значений размаха т.э.д.с. неоднородности на участке длиной 2 м проводится по максимальному значению из размахов т.э.д.с. неоднородности всех участков проволоки, подвергшихся испытанию.
5.3. Значение размаха т.э.д.с. неоднородности
испытанного образца заносят в сертификат на проволоку катушки.
ПРИЛОЖЕНИЕ 1 (справочное). ОПРЕДЕЛЕНИЕ ТЕРМИНОВ, ВСТРЕЧАЮЩИХСЯ В СТАНДАРТЕ
ПРИЛОЖЕНИЕ 1
Справочное
Термоэлектродвижущаяся сила неоднородности (т.э.д.с. неоднородности) - электродвижущая сила, возникающая при нахождении одного из участков испытуемой проволоки в поле градиента температуры и измеряемая на ее концах.
Размах т.э.д.с. неоднородности - разность крайних членов вариационного ряда значений т.э.д.с. неоднородности проволоки по длине испытуемого образца.
Вариационный ряд - совокупность членов выборок многократных измерений, расположенных в возрастающей последовательности, то есть
,
где
- результаты измерений.
Кривая "электрического нуля" - кривая т.э.д.с. неоднородности входной цепи фотокомпенсационного усилителя, в разрыв которой включено только устройство для подачи калибровочного сигнала.
ПРИЛОЖЕНИЕ 2 (Исключено, Изм. N 1).
ПРИЛОЖЕНИЕ 3 (справочное). ОПРЕДЕЛЕНИЕ РАЗМАХА Т.Э.Д.С. НЕОДНОРОДНОСТИ ИСПЫТУЕМОГО ОБРАЗЦА
ПРИЛОЖЕНИЕ 3
Справочное
Пример. На чертеже представлена часть диаграммной ленты 1 с записью кривой "электрического нуля" 2, калибровочного сигнала 3, напряжение которого составляет 15 мкВ, и кривых т.э.д.с. неоднородности 4, 5, 6, 7 четырех участков испытуемого образца проволоки.
Для определения размаха т.э.д.с. неоднородности на исследованных участках проволоки проводят на диаграммной ленте 1 условный уровень 8 параллельно краю 9 диаграммной ленты 1. Находят точки кривых т.э.д.с. неоднородности, имеющих максимальное и минимальное
удаление от условного уровня 8. С помощью масштабной линейки измеряют значения отклонений
и
, а также значения калибровочного сигнала
:
40 мм;
15 мм; 2
5 мм.
Подсчитывают значение размаха т.э.д.с. неоднородности
.
15 мкВ.
Представление результатов измерений т.э.д.с. неоднородности на диаграммной ленте
Электронный текст документа
подготовлен ЗАО "Кодекс" и сверен по:
официальное издание
М.: Издательство стандартов, 1985
Разместите заказ
сами сделают вам предложение

