ГОСТы сталей. ГОСТ 6613-86
ГОСТ 6613-86
Группа В76
МЕЖГОСУДАРСТВЕННЫЙ СТАНДАРТ
СЕТКИ ПРОВОЛОЧНЫЕ ТКАНЫЕ С КВАДРАТНЫМИ ЯЧЕЙКАМИ
Технические условия
Square meshed woven wire cloths. Specifications
МКС 77.140.65
ОКСТУ 1997
Дата введения 1988-01-01
ИНФОРМАЦИОННЫЕ ДАННЫЕ
1. РАЗРАБОТАН И ВНЕСЕН Министерством электротехнической промышленности СССР
2. УТВЕРЖДЕН И ВВЕДЕН В ДЕЙСТВИЕ Постановлением Государственного Комитета СССР по стандартам от 21.09.86 N 2466
3. ВЗАМЕН ГОСТ 6613-73, ГОСТ 3584-73
4. ССЫЛОЧНЫЕ НОРМАТИВНО-ТЕХНИЧЕСКИЕ ДОКУМЕНТЫ
Обозначение НТД, на который дана ссылка | Номер пункта, подпункта |
ГОСТ 20.57.406-81 | 4.1 |
ГОСТ 427-75 | 4.5 |
ГОСТ 492-73 | 2.2 |
ГОСТ 4381-87 | 4.6 |
ГОСТ 5017-74 | 2.2 |
ГОСТ 8828-89 | 5.3 |
ГОСТ 9569-79 | 5.3 |
ГОСТ 14004-68 | 4.13 |
ГОСТ 14192-96 | 5.6 |
ГОСТ 15150-69 | 5.8 |
ГОСТ 15527-2004 | 2.2 |
ГОСТ 15846-2002 | 5.4 |
ГОСТ 16272-79 | 5.3 |
ГОСТ 16511-86 | 5.3 |
ГОСТ 18477-79 | 5.7 |
ГОСТ 18482-79 | 5.1 |
ГОСТ 24597-81 | 5.5 |
5. Ограничение срока действия снято по протоколу N 2-92 Межгосударственного совета по стандартизации, метрологии и сертификации (ИУС 2-93)
6. ИЗДАНИЕ (март 2006 г.) с Изменением N 1, утвержденным в марте 1988 г. (ИУС 5-88)
Настоящий стандарт распространяется на проволочные тканые сетки с квадратными ячейками из цветных металлов и их сплавов, применяемые для контроля и разделения материалов по размеру частиц, фильтрации жидкостей, газов и других целей.
1. ОСНОВНЫЕ ПАРАМЕТРЫ И РАЗМЕРЫ
1. ОСНОВНЫЕ ПАРАМЕТРЫ И РАЗМЕРЫ
1.1. Сетки по точности изготовления подразделяют:
- нормальной точности - Н
- высокой точности - В
- контрольные - К.
Точность изготовления и применяемость сеток указаны в табл.1.
Таблица 1
Точность | Применяемость |
Нормальная | Фильтрация жидкостей, газов и другие цели |
Высокая | Разделение по размеру зерен дробленых материалов |
Контрольные | Контроль различных материалов по размеру частиц при дроблении, измельчении и обогащении |
1.2. Номинальный размер стороны ячеек в свету, диаметр проволоки, предельные отклонения размеров ячеек и диаметра проволоки сеток должны соответствовать указанным в табл.2-4.
Коды ОКП приведены в приложении 1.
Таблица 2
Сетки нормальной точности
Размеры, мм
Номер сетки | Диаметр проволоки | Номинальный размер стороны ячейки в свету | Предельное отклонение среднего арифметического размера стороны ячейки от номинального | Максимальное отклонение размера стороны ячейки от номинального | Допускаемое число ячеек с максимальным размером, % | |
Номин. | Пред. откл. | |||||
004 | 0,030 | ±0,004 | 0,040 | ±0,004 | +0,028 | 8 |
0045 | 0,036 | 0,045 | ±0,005 | +0,031 | ||
005 | 0,036 | 0,050 | ±0,006 | +0,034 | ||
0056 | 0,040 | 0,056 | ±0,006 | +0,038 | ||
0063 | 0,040 | 0,063 | ±0,007 | +0,041 | ||
0071 | 0,050 | 0,071 | ±0,007 | +0,045 | ||
008 | 0,055 | 0,080 | ±0,008 | +0,050 | ||
009 | 0,060 | ±0,006 | 0,090 | ±0,009 | +0,055 | |
01 | 0,060 | 0,100 | ±0,009 | +0,060 | ||
0112 | 0,080 | 0,112 | ±0,010 | +0,067 | ||
0125 | 0,080 | 0,125 | ±0,011 | +0,074 | ||
014 | 0,090 | 0,140 | ±0,012 | +0,081 | ||
016 | 0,100 | ±0,010 | 0,160 | ±0,014 | +0,091 | |
018 | 0,120 | 0,180 | ±0,015 | +0,099 | ||
02 | 0,120 | 0,200 | ±0,016 | +0,106 | ||
0224 | 0,120 | 0,224 | ±0,018 | +0,116 | ||
025 | 0,120 | 0,250 | ±0,020 | +0,125 | ||
028 | 0,140 | 0,280 | ±0,022 | +0,140 | ||
0315 | 0,160 | 0,315 | ±0,024 | +0,151 | ||
0355 | 0,160 | 0,355 | ±0,026 | +0,163 | ||
04 | 0,160 | 0,400 | ±0,029 | +0,180 | ||
045 | 0,200 | ±0,015 | 0,450 | ±0,032 | +0,194 | |
05 | 0,250 | 0,500 | ±0,040 | +0,210 | ||
056 | 0,250 | 0,560 | ±0,040 | +0,220 | ||
063 | 0,300 | 0,630 | ±0,050 | +0,250 | ||
07 | 0,300 | 0,700 | ±0,050 | +0,280 | ||
08 | 0,300 | 0,800 | ±0,060 | +0,310 | ||
09 | 0,400 | 0,900 | ±0,060 | +0,340 | ||
1 | 0,400 | 1,000 | ±0,070 | +0,370 | ||
1,25 | 0,400 | 1,250 | ±0,080 | +0,450 | ||
1,6 | 0,500 | +0,020 | 1,600 | ±0,100 | +0,560 | |
2 | 0,500 | 2,000 | ±0,120 | +0,700 | ||
2,5 | 0,500 | 2,500 | ±0,150 | +0,880 | ||
Таблица 3
Сетки высокой точности
Размеры, мм
Номер сетки | Диаметр проволоки | Номинальный размер стороны ячейки в свету | Предельное отклонение среднего арифметического размера стороны ячейки от номинального | Максимальное отклонение размера стороны ячейки от номинального | Допускаемое число ячеек с максимальным размером, % | |
Номин. | Пред. откл. | |||||
004 | 0,030 | ±0,003 | 0,040 | ±0,004 | +0,021 | 5 |
0045 | 0,036 | 0,045 | ±0,004 | +0,023 | ||
005 | 0,036 | 0,050 | ±0,005 | +0,025 | ||
0056 | 0,040 | 0,056 | ±0,005 | +0,028 | ||
0063 | 0,040 | 0,063 | ±0,005 | +0,028 | ||
0071 | 0,050 | 0,071 | ±0,006 | +0,032 | ||
008 | 0,055 | 0,080 | ±0,006 | +0,032 | ||
009 | 0,060 | ±0,004 | 0,090 | ±0,007 | +0,036 | |
01 | 0,060 | 0,100 | ±0,008 | +0,040 | ||
0112 | 0,080 | 0,112 | ±0,008 | +0,040 | ||
0125 | 0,080 | 0,125 | ±0,009 | +0,044 | ||
014 | 0,090 | 0,140 | ±0,010 | +0,046 | ||
016 | 0,100 | ±0,005 | 0,160 | ±0,012 | +048* | |
018 | 0,120 | 0,180 | ±0,012 | +0,054 | ||
02 | 0,120 | 0,200 | ±0,012 | +0,060 | ||
0224 | 0,120 | 0,224 | ±0,014 | +0,067 | ||
025 | 0,120 | 0,250 | ±0,015 | +0,068 | ||
028 | 0,140 | 0,280 | ±0,017 | +0,070 | ||
0315 | 0,160 | 0,315 | ±0,019 | +0,079 | ||
0355 | 0,160 | 0,355 | ±0,021 | +0,089 | ||
04 | 0,160 | 0,400 | ±0,024 | +0,096 | ||
045 | 0,200 | ±0,008 | 0,450 | ±0,027 | +0,099 | |
05 | 0,250 | 0,500 | ±0,030 | +0,100 | ||
056 | 0,250 | 0,560 | ±0,030 | +0,110 | ||
063 | 0,300 | 0,630 | ±0,040 | +0,130 | ||
07 | 0,300 | 0,700 | ±0,040 | +0,140 | ||
08 | 0,300 | 0,800 | ±0,050 | +0,160 | ||
09 | 0,400 | ±0,012 | 0,900 | ±0,050 | +0,180 | |
1 | 0,400 | 1,000 | ±0,060 | +0,200 | ||
1,25 | 0,400 | 1,250 | ±0,070 | +0,230 | ||
1,6 | 0,500 | ±0,015 | 1,600 | ±0,090 | +0,290 | |
2 | 0,500 | 2,000 | ±0,110 | +0,360 | ||
2,5 | 0,500 | 2,500 | ±0,140 | +0,450 | ||
________________
* Текст документа соответствует оригиналу. - Примечание изготовителя базы данных.
Таблица 4
Сетки высокой точности*
________________
* Письмом Росстандарта от 29.08.2019 г. N 1978-ОГ/03 разъясняется, что "В наименовании таблицы 4 ГОСТ 6613-86 допущена опечатка". Следует читать: Сетки контрольные. - Примечание изготовителя базы данных.
Размеры в мм
Номер | Диаметр проволоки | Номинальный размер стороны ячейки в свету | Предельное отклонение среднего арифметического размера стороны ячейки от номинального | Максимальное отклонение размера стороны ячейки от номинального* | Допускаемое число ячеек с максимальным размером, % | |
Номин. | Пред. откл. | |||||
004 | 0,030 | ±0,003 | 0,040 | ±0,003 | 0,012-0,021 | 5 |
0045 | 0,036 | 0,045 | ±0,003 | 0,013-0,022 | ||
005 | 0,036 | 0,050 | ±0,003 | 0,013-0,023 | ||
0056 | 0,040 | 0,056 | ±0,004 | 0,014-0,025 | ||
0063 | 0,040 | 0,063 | ±0,004 | 0,015-0,026 | ||
0071 | 0,050 | 0,071 | ±0,004 | 0,016-0,028 | ||
008 | 0,055 | 0,080 | ±0,004 | 0,017-0,030 | ||
009 | 0,060 | ±0,004 | 0,090 | ±0,005 | 0,018-0,032 | |
01 | 0,060 | 0,100 | ±0,005 | 0,019-0,034 | ||
0112 | 0,080 | 0,112 | ±0,005 | 0,021-0,036 | ||
0125 | 0,080 | 0,125 | ±0,006 | 0,022-0,038 | ||
014 | 0,090 | 0,140 | ±0,007 | 0,024-0,041 | ||
016 | 0,100 | ±0,005 | 0,160 | ±0,007 | 0,026-0,044 | |
018 | 0,120 | 0,180 | ±0,008 | 0,027-0,047 | ||
02 | 0,120 | 0,200 | ±0,008 | 0,029-0,050 | ||
0224 | 0,120 | 0,224 | ±0,009 | 0,032-0,054 | ||
025 | 0,120 | 0,250 | ±0,010 | 0,034-0,058 | ||
028 | 0,140 | 0,280 | ±0,011 | 0,037-0,062 | ||
0315 | 0,160 | 0,315 | ±0,013 | 0,040-0,067 | ||
0355 | 0,160 | 0,355 | ±0,014 | 0,043-0,072 | ||
04 | 0,160 | 0,400 | ±0,016 | 0,047-0,078 | ||
045 | 0,200 | ±0,008 | 0,450 | ±0,018 | 0,051-0,084 | |
05 | 0,250 | 0,500 | ±0,020 | 0,060-0,090 | ||
056 | 0,250 | 0,560 | ±0,020 | 0,060-0,100 | ||
063 | 0,300 | 0,630 | ±0,030 | 0,070-0,100 | ||
07 | 0,300 | 0,700 | ±0,030 | 0,070-0,110 | ||
08 | 0,300 | 0,800 | ±0,030 | 0,080-0,120 | ||
09 | 0,400 | ±0,012 | 0,900 | ±0,030 | 0,090-0,130 | |
1 | 0,400 | 1,000 | ±0,040 | 0,090-0,140 | ||
1,25 | 0,400 | 1,250 | ±0,040 | 0,100-0,160 | ||
1,6 | 0,500 | ±0,015 | 1,600 | ±0,060 | 0,130-0,190 | |
2 | 0,500 | 2,000 | ±0,070 | 0,150-0,230 | ||
2,5 | 0,500 | 2,500 | ±0,090 | 0,180-0,260 | ||
_____________
* Текст документа соответствует оригиналу. См. ярлык "Примечания". - Примечание изготовителя базы данных.
(Измененная редакция, Изм. N 1).
1.3. Ширина сеток должна соответствовать указанной в табл.5.
Таблица 5
Номер сетки | Ширина сетки, мм | Пред. откл., % | |
нормальной точности | высокой точности и контрольной | ||
004-0063 | 1000 | 1000 | ±1 |
0071-014 | 1000, 1300 и 1500 | 1000 | |
016-2,5 | 1000, 1500 | 1000 | |
1.4. Минимальная длина отрезка должна соответствовать указанной в табл.6.
Таблица 6
Номер сетки | Длина отрезка, мм, не менее |
004-0063 | 1000 |
0071-056 | 1500 |
063-2,5 | 3000 |
1.5. Количество ячеек, живое сечение и масса сеток указаны в приложении 2.
Пример условного обозначения сетки нормальной точности полутомпаковой номера 05:
Сетка полутомпаковая 05 Н ГОСТ 6613-86.
2. ТЕХНИЧЕСКИЕ ТРЕБОВАНИЯ
2.1. Сетки должны быть изготовлены в соответствии с требованиями настоящего стандарта по технологической документации, утвержденной в установленном порядке.
2.2. Для изготовления сеток контрольных, высокой и нормальной точности номеров 004-016 должна применяться проволока из бронзы марки БрОФ 6,5-0,4 по ГОСТ 5017*, для сеток номеров 0071-2,5 - проволока из полутомпака марки Л-80 по ГОСТ 15527**.
_________________
* На территории Российской Федерации действует ГОСТ 5017-2006;
** На территории Российской Федерации документ не действует. Действует ГОСТ 15527-2004. - Примечания изготовителя базы данных.
Сетки высокой и нормальной точности номеров 004-045 изготовляют из никеля марки НП-2 по ГОСТ 492*.
________________
* На территории Российской Федерации документ не действует. Действует ГОСТ 492-2006. - Примечание изготовителя базы данных.
Сетки должны быть изготовлены из отожженной проволоки.
(Измененная редакция, Изм. N 1).
2.3. На поверхности проволоки не должно быть следов протяжки, трещин, влияющих на размер сторон ячеек, а также плен, закатов и окалины.
Допускаются цвета побежалости.
2.4. При изготовлении сеток применяют полотняное и саржевое переплетения (чертеж).
Полотняное переплетение | Саржевое переплетение |
|
|
Виды и порядок переплетений сеток должны соответствовать указанным в табл.7.
Таблица 7
Номер сетки | Вид и порядок переплетения |
| Саржевое |
| Полотняное |
| Полотняное |
Для сеток саржевого переплетения допускается в качестве утка использовать проволоку ближайшего большего диаметра, указанного в табл.2, 3 и 4.
2.5. Сетки не должны иметь механических повреждений, обрывов проволок длиной более 10 мм, резких изгибов, влияющих на размер ячеек, сшитых мест и зеленых коррозионных пятен.
2.6. Количество и размеры ткацких пороков на каждые 25 м не должны превышать указанных в табл.8.
Таблица 8
Номер сетки | Петли, обрывы до 10 мм, сращивание концов проволок и захлестыши до 30 мм, шт., не более, для сеток | Спайки размером 10х10 мм, шт., | ||
нормальной точности | высокой точности | контрольные | ||
004-0063 | 100 | 80 | 80 | 5 |
0071-0125 | 75 | 60 | 40 | 4 |
014-056 | 60 | 40 | 20 | 2 |
063-2,5 | 50 | 20 | 10 | - |
Для никелевых сеток допускаемое количество ткацких пороков увеличивается на 25%.
2.7. Расстояние между дефектными участками (механические повреждения, обрывы проволоки длиной более 10 мм, захлестыши, участки сетки, несоответствующие табл.2-4, 7, 8 и др.) по длине и ширине сеток должно быть не менее:
100 мм - для сеток номеров 004-008;
300 мм - для сеток номеров 009-025;
500 мм - для сеток номеров 028-2,5.
Общая площадь дефектных участков сеток не должна превышать 10% от общей площади сетки в рулоне.
(Измененная редакция, Изм. N 1).
2.8. При изготовлении сеток на бесчелночных станах концы проволок утка в кромках должны быть обрезаны.
3. ПРАВИЛА ПРИЕМКИ
3.1. Для проверки соответствия сетки требованиям стандарта проводят приемосдаточные испытания.
3.2. Сетки предъявляют к приемке партиями. Партия должна состоять из сеток одного номера и материала и оформлена одним документом о качестве, содержащим:
товарный знак или наименование и товарный знак предприятия-изготовителя;
условное обозначение сетки;
результаты испытаний (средний арифметический и максимальный размеры ячеек);
наименование материала проволоки;
диаметр проволоки, мм;
число отрезков сетки в рулоне;
количество метров в каждом отрезке или рулоне;
клеймо технического контроля;
дату выпуска.
3.3. Сетки подвергают проверке сплошным контролем.
3.4. При получении неудовлетворительных результатов проверки хотя бы по одному из показателей соответствующий участок сетки должен быть условно исключен из общего метража сетки.
4. МЕТОДЫ ИСПЫТАНИЙ
4.1. Испытания и измерения должны быть проведены в нормальных климатических условиях по ГОСТ 20.57.406.
4.2. Сетки проверяют на контрольном столе или проверочной машине при перемотке рулонов. Сетки номеров 004-056 проверяют при просвечивании.
4.3. Размеры сторон ячеек в свету с максимальным отклонением должны быть проверены в местах с наибольшими отклонениями, но не менее чем в трех местах и не ближе 20 мм от кромок.
Размеры сторон ячеек в свету измеряют отдельно по основе и по утку:
для сеток номеров 004-045 - микроскопом с окулярмикрометром при увеличении 50-120 с ценой деления шкалы 0,001 мм;
для сеток номеров 05-2,5 - микроскопом при увеличении 24-40 с ценой деления шкалы 0,01-0,05 мм.
4.4. Число ячеек с максимальными отклонениями от номинального размера определяют на 1 дм сетки.
4.5. Для определения среднего арифметического размера стороны ячейки в свету подсчитывают число ячеек на определенной длине или измеряют соответствующую определенному числу ячеек длину участка.
Проверку проводят в местах с наибольшими отклонениями, но не менее чем в трех местах и не ближе 20 мм от кромок.
Средний арифметический размер стороны ячеек в свету () по основе и по утку определяют по формуле
,
где для сеток номеров 004-056: - длина участка, на котором расположены последовательно отсчитанные ячейки, равная:
для сеток номеров 004-0063 - 2 мм,
для сеток номеров 0071-014 - 5 мм,
для сеток номеров 016-056 - 10 мм; - число ячеек, последовательно отсчитанных на участке длиной
,
- диаметр проволоки, мм;
для сеток номеров 063-1: - длина участка, на котором расположены 30 последовательно отсчитанных в соответствующем направлении ячеек, мм;
- число последовательно отсчитанных ячеек, равное 30;
- диаметр проволоки, мм;
для сеток номеров 1,25-2,5: - длина участка, на котором расположены 20 последовательно отсчитанных ячеек, мм;
- число последовательно отсчитанных ячеек, равное 20;
- диаметр проволоки, мм.
Длину участка и подсчет количества ячеек измеряют микроскопом:
для сеток номеров 004-0063 - при увеличении 30-40;
для сеток номеров 0071-014 - при увеличении 24-40;
для сеток номеров 0016-0056 - текстильной лупой при увеличении 7-10 по ГОСТ 25706-83 или другим равноценным инструментом;
для сеток номеров 063-2,5 - линейкой измерительной по ГОСТ 427 с ценой деления 1 мм.
4.6. Диаметр проволоки измеряют перед заправкой на ткацкий станок.
Проволоку диаметром 0,03-0,10 мм проверяют оптиметром с ценой деления шкалы 0,001 мм или другим равноценным инструментом, диаметром 0,11-0,5 мм - микрометром рычажным типа МР 25 по ГОСТ 4381.
4.7. Ширину сетки проверяют в трех местах отрезка сетки на расстоянии не менее 50 мм от его концов и в середине измерительной линейкой с ценой деления 1 мм по ГОСТ 427.
4.8. Длину отрезка сетки измеряют измерительной линейкой с ценой деления 1 мм по ГОСТ 427.
4.9. Качество поверхности проволоки, переплетение проволок и наличие ткацких пороков проверяют визуально.
4.10. Площадь дефектных участков и расстояние между ними измеряют измерительной линейкой с ценой деления 1 мм по ГОСТ 427.
4.11. Дефектные участки сетки должны быть отмечены мягким карандашом. Допускается отмечать мягким карандашом ткацкие пороки.
4.12. Правильность маркировки и упаковки проверяют внешним осмотром.
4.13. Массу брутто ящика проверяют взвешиванием на весах по ГОСТ 14004 с погрешностью не более 1%.
5. МАРКИРОВКА, УПАКОВКА, ТРАНСПОРТИРОВАНИЕ И ХРАНЕНИЕ
5.1. Сетки должны быть намотаны с равномерным натяжением в рулоны диаметром не более 190 мм на трубы из алюминиевых сплавов по ГОСТ 18482 или трубы из других материалов, не уступающих по прочности алюминиевым и не вызывающих коррозии сеток, по нормативно-технической документации. Допускается сетки номеров 04-2,5 нормальной точности на трубу (или стержень) не наматывать.
5.2. Длина сетки в рулоне должна быть не менее 3 м. Рулон может состоять из нескольких отрезков сетки одного номера.
5.3. Рулон сетки должен быть обернут бумагой по ГОСТ 23436 и двухслойной битумной бумагой по ГОСТ 8828 и перевязан в середине и по краям так, чтобы обеспечить сохранность сетки от разматывания.
Бронзовые сетки упаковывают в парафинированную бумагу по ГОСТ 9569* и двухслойную битумную бумагу по ГОСТ 8828 и перевязывают в середине и по краям.
______________
* На территории Российской Федерации действует ГОСТ 9569-2006. - Примечание изготовителя базы данных.
Допускается упаковка в другую бумагу, обеспечивающую сохранность сетки, по нормативно-технической документации.
Рулон сетки должен быть упакован в деревянный ящик по ГОСТ 16511 или другие деревянные ящики по нормативно-технической документации. Рулон в ящике должен быть закреплен с помощью вкладышей в горизонтальном положении с точками опоры на выступающие концы трубы.
Сетки номеров 04-2,5 нормальной точности допускается при транспортировании повагонными отправками и в контейнерах не упаковывать в ящики.
По требованию потребителя рулон сетки упаковывают в поливинилхлоридную пластифицированную пленку по ГОСТ 16272 или другую пленку, обеспечивающую сохранность качества сетки, по нормативно-технической документации.
5.4. Упаковка сеток, предназначенных для районов Крайнего Севера и приравненных к ним местностей, должна проводиться в соответствии с требованиями ГОСТ 15846.
5.5. Масса грузового места должна быть не более 80 кг. Укрупнение грузовых мест в транспортные пакеты проводится в соответствии с требованиями ГОСТ 24597.
5.6. Транспортная маркировка - по ГОСТ 14192 с нанесением манипуляционных знаков "Хрупкое. Осторожно", "Беречь от влаги", "Верх".
5.7. Сетки транспортируют всеми видами транспорта в крытых транспортных средствах в соответствии с правилами перевозки грузов, действующими на данном виде транспорта.
Сетки транспортируют железнодорожным транспортом повагонными или мелкими отправками. Допускается транспортирование в контейнерах по ГОСТ 18477.
5.8. Условия транспортирования и хранения сеток в части воздействия климатических факторов должны соответствовать требованиям ГОСТ 15150 группе жесткости 6.
5.9. Условия хранения сеток должны соответствовать требованиям ГОСТ 15150 группе жесткости 2.
6. ГАРАНТИИ ИЗГОТОВИТЕЛЯ
6.1. Изготовитель гарантирует соответствие сетки требованиям настоящего стандарта при соблюдении условий хранения.
Гарантийный срок хранения сетки - 6 мес со дня изготовления.
ПРИЛОЖЕНИЕ 1 (обязательное).
ПРИЛОЖЕНИЕ 1
Обязательное
Таблица 1
Полутомпаковые сетки
Нормальная точность | Высокая точность | Контрольные | Номер сетки | |||
Код ОКП | КЧ | Код ОКП | КЧ | Код ОКП | КЧ | |
1997110006 | 02 | 1997120006 | 08 | 1997130006 | 03 | 0071 |
1997110007 | 01 | 1997120007 | 07 | 1997130007 | 02 | 008 |
1997110008 | 00 | 1997120008 | 06 | 1997130008 | 01 | 009 |
1997110009 | 10 | 1997120009 | 05 | 1997130009 | 00 | 01 |
1997110010 | 06 | 1997120010 | 01 | 1997130010 | 07 | 0112 |
1997110011 | 05 | 1997120011 | 00 | 1997130011 | 08 | 0125 |
1997110012 | 04 | 1997120012 | 10 | 1997130012 | 05 | 014 |
1997110013 | 03 | 1997120013 | 09 | 1997130013 | 04 | 016 |
1997110014 | 02 | 1997120014 | 08 | 1997130014 | 03 | 018 |
1997110015 | 01 | 1997120015 | 07 | 1997130015 | 02 | 02 |
1997110016 | 00 | 1997120016 | 06 | 1997130016 | 01 | 0224 |
1997110017 | 10 | 1997120017 | 05 | 1997130017 | 00 | 025 |
1997110018 | 09 | 1997120018 | 04 | 1997130018 | 10 | 028 |
1997110019 | 08 | 1997120019 | 03 | 1997130019 | 09 | 0315 |
1997110020 | 04 | 1997120020 | 10 | 1997130020 | 05 | 0355 |
1997110021 | 03 | 1997120021 | 09 | 1997130021 | 04 | 04 |
1997110022 | 02 | 1997120022 | 08 | 1997130022 | 03 | 045 |
1997110023 | 01 | 1997120023 | 07 | 1997130023 | 02 | 05 |
1997110024 | 00 | 1997120024 | 06 | 1997130024 | 01 | 056 |
1997110025 | 10 | 1997120025 | 05 | 1997130025 | 00 | 063 |
1997110026 | 09 | 1997120026 | 04 | 1997130026 | 10 | 07 |
1997110027 | 08 | 1997120027 | 03 | 1997130027 | 09 | 08 |
1997110028 | 07 | 1997120028 | 02 | 1997130028 | 08 | 09 |
1997110029 | 06 | 1997120029 | 01 | 1997130029 | 07 | 1 |
1997110030 | 02 | 1997120030 | 08 | 1997130030 | 03 | 1,25 |
1997110031 | 01 | 1997120031 | 07 | 1997130031 | 02 | 1,6 |
1997110032 | 00 | 1997120032 | 06 | 1997130032 | 01 | 2 |
1997110033 | 10 | 1997120033 | 05 | 1997130033 | 00 | 2,5 |
Таблица 2
Бронзовые сетки
Нормальная точность | Высокая точность | Контрольные | Номер сетки | |||
Код ОКП | КЧ | Код ОКП | КЧ | Код ОКП | КЧ | |
1997210001 | 01 | 1997220001 | 07 | 1997230001 | 02 | 004 |
1997210002 | 00 | 1997220002 | 06 | 1997230002 | 01 | 0045 |
1997210003 | 10 | 1997220003 | 05 | 1997230003 | 00 | 005 |
1997210004 | 09 | 1997220004 | 04 | 1997230004 | 10 | 0056 |
1997210005 | 08 | 1997220005 | 03 | 1997230005 | 09 | 0063 |
1997210006 | 07 | 1997220006 | 02 | 1997230006 | 08 | 0071 |
1997210007 | 06 | 1997220007 | 01 | 1997230007 | 07 | 008 |
1997210008 | 05 | 1997220008 | 00 | 1997230008 | 06 | 009 |
1997210009 | 04 | 1997220009 | 10 | 1997230009 | 05 | 01 |
1997210010 | 00 | 1997220010 | 06 | 1997230010 | 01 | 0112 |
1997210011 | 10 | 1997220011 | 05 | 1997230011 | 00 | 0125 |
1997210012 | 09 | 1997220012 | 04 | 1997230012 | 10 | 014 |
1997210013 | 08 | 1997220013 | 03 | 1997230013 | 03 | 016 |
Таблица 3
Никелевые сетки
Нормальная точность | Высокая точность | Номер сетки | ||
Код ОКП | КЧ | Код ОКП | КЧ | |
1997310001 | 06 | 1997320001 | 01 | 004 |
1997310002 | 05 | 1997320002 | 00 | 0045 |
1997310003 | 04 | 1997320003 | 10 | 005 |
1997310004 | 03 | 1997320004 | 09 | 0056 |
1997310005 | 02 | 1997320005 | 08 | 0063 |
1997310006 | 01 | 1997320006 | 07 | 0071 |
1997310007 | 00 | 1997320007 | 06 | 008 |
1997310008 | 10 | 1997320008 | 05 | 009 |
1997310009 | 09 | 1997320009 | 04 | 01 |
1997310010 | 05 | 1997320010 | 00 | 0112 |
1997310001 | 06 | 1997320001 | 01 | 004 |
1997310002 | 05 | 1997320002 | 00 | 0045 |
1997310003 | 04 | 1997320003 | 10 | 005 |
1997310004 | 03 | 1997320004 | 09 | 0056 |
1997310005 | 02 | 1997320005 | 08 | 0063 |
1997310006 | 01 | 1997320006 | 07 | 0071 |
1997310007 | 00 | 1997320007 | 06 | 008 |
1997310008 | 10 | 1997320008 | 05 | 009 |
1997310009 | 09 | 1997320009 | 04 | 01 |
1997310010 | 05 | 1997320010 | 00 | 0112 |
1997310011 | 04 | 1997320011 | 10 | 0125 |
1997310012 | 03 | 1997320012 | 09 | 014 |
1997310013 | 02 | 1997320013 | 08 | 016 |
1997310014 | 01 | 1997320014 | 07 | 018 |
1997310015 | 00 | 1997320015 | 06 | 02 |
1997310016 | 10 | 1997320016 | 05 | 0224 |
1997310017 | 09 | 1997320017 | 04 | 025 |
1997310018 | 08 | 1997320018 | 03 | 028 |
1997310019 | 07 | 1997320019 | 02 | 0315 |
1997310020 | 03 | 1997320020 | 09 | 0355 |
1997310021 | 02 | 1997320021 | 08 | 04 |
1997310022 | 01 | 1997320022 | 07 | 045 |
(Измененная редакция, Изм. N 1).
ПРИЛОЖЕНИЕ 2 (справочное). Количество ячеек, живое сечение и масса сеток
ПРИЛОЖЕНИЕ 2
Справочное
Номер сетки | Количество ячеек на 1 дм, шт. | Количество ячеек на 1 см | Живое сечение сетки, % | Масса 1 м | ||
никелевой | бронзовой | полутомпаковой | ||||
004 | 1429,0 | 20420,0 | 32,7 | 0,183 | 0,181 | - |
0045 | 1235,0 | 15252,0 | 30,9 | 0,227 | 0,225 | - |
005 | 1163,0 | 13526,0 | 33,8 | 0,215 | 0,212 | - |
0056 | 1042,0 | 10858,0 | 34,0 | 0,237 | 0,235 | - |
0063 | 971,0 | 9428,0 | 37,4 | 0,221 | 0,219 | - |
0071 | 826,0 | 6823,0 | 34,4 | 0,292 | 0,288 | 0,284 |
008 | 741,0 | 5491,0 | 35,1 | 0,315 | 0,312 | 0,307 |
009 | 666,0 | 4435,0 | 36,0 | 0,342 | 0,338 | 0,332 |
01 | 625,0 | 3906,0 | 39,1 | 0,320 | 0,320 | 0,311 |
0112 | 521,0 | 2714,0 | 34,0 | 0,475 | 0,471 | 0,462 |
0125 | 488,0 | 2381,0 | 37,2 | 0,445 | 0,440 | 0,433 |
014 | 435,0 | 1892,0 | 37,0 | 0,501 | 0,496 | 0,487 |
016 | 385,0 | 1482,0 | 37,9 | 0,547 | 0,542 | 0,532 |
018 | 333,0 | 1109,0 | 36,0 | - | - | 0,664 |
02 | 313,0 | 980,0 | 39,1 | - | - | 0,624 |
0224 | 291,0 | 847,0 | 42,4 | - | - | 0,581 |
025 | 270,0 | 729,0 | 45,6 | - | - | 0,539 |
028 | 238,0 | 566,0 | 44,4 | - | - | 0,647 |
0315 | 211,0 | 445,0 | 44,0 | - | - | 0,749 |
0355 | 194,0 | 376,0 | 47,0 | - | - | 0,689 |
04 | 178,6 | 320,0 | 51,0 | - | - | 0,636 |
045 | 154,0 | 237,0 | 47,9 | - | - | 0,857 |
05 | 133,0 | 177,0 | 44,4 | - | - | 1,157 |
056 | 123,0 | 151,0 | 47,8 | - | - | 1,070 |
063 | 107,0 | 116,0 | 45,9 | - | - | 1,351 |
07 | 100,0 | 100,0 | 49,0 | - | - | 1,242 |
08 | 91,0 | 83,0 | 53,0 | - | - | 1,128 |
09 | 76,0 | 59,1 | 47,9 | - | - | 1,697 |
1 | 71,0 | 51,0 | 51,0 | - | - | 1,575 |
1,25 | 61,0 | 37,2 | 57,3 | - | - | 1,337 |
1,6 | 47,0 | 22,6 | 58,0 | - | - | 1,641 |
2 | 40,0 | 16,0 | 64,0 | - | - | 1,379 |
2,5 | 33,3 | 11,2 | 70,0 | - | - | 1,148 |
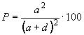
Живое сечение сетки ( ) вычисляют по формуле
%,
где - диаметр проволоки, мм,
- размер стороны ячейки в свету, мм.
Электронный текст документа
подготовлен АО "Кодекс" и сверен по:
официальное издание
М.: Стандартинформ, 2006
Разместите заказ
сами сделают вам предложение
