ГОСТы сталей. ГОСТ 3067-88
ГОСТ 3067-88
Группа B75
МЕЖГОСУДАРСТВЕННЫЙ СТАНДАРТ
КАНАТ СТАЛЬНОЙ ДВОЙНОЙ СВИВКИ ТИПА ТК КОНСТРУКЦИИ 6х19(1+6+12)+1х19(1+6+12)
Сортамент
Two lay steel rоре type TК construction 6x19(1+6+12)+1x19(1+6+12). Dimensions
МКС 77.140.65
ОКП 12 5100, 12 5200
Дата введения 1990-07-01
УТВЕРЖДЕН И ВВЕДЕН В ДЕЙСТВИЕ Постановлением Государственного комитета СССР по стандартам от 09.09.88 N 3131
Ограничение срока действия снято Постановлением Госстандарта от 22.04.92 N 428
ВЗАМЕН ГОСТ 3067-74
Издание (май 2011 г.) с Изменением N 1, утвержденным в апреле 1992 г. (ИУС 7-92)
1. Настоящий стандарт распространяется на стальные двойной свивки канаты с точечным касанием проволок в прядях типа ТК с металлическим сердечником.
Стандарт не распространяется на канаты, применяемые на грузоподъемных кранах.

2. Канаты подразделяются:
по назначению:
грузовые - Г;
по механическим свойствам:
марка ВК,
марка В,
марка 1;
по виду покрытия поверхности проволок в канате:
из проволоки без покрытия,
из оцинкованной проволоки в зависимости от поверхностной плотности цинка: С, Ж;
по направлению свивки каната:
правой,
левой - Л;
по сочетанию направлений свивки элементов каната:
крестовой;
по способу свивки:
раскручивающиеся;
нераскручивающиеся - Н;
по точности изготовления:
нормальной,
повышенной - Т;
по степени уравновешенности:
рихтованные - Р,
нерихтованные.
Примеры условных обозначений
Канат диаметром 8,4 мм, грузового назначения, марки 1, из проволоки без покрытия, левой крестовой свивки, нераскручивающийся, нерихтованный, нормальной точности, маркировочной группы 1770 Н/мм (180 кгс/мм
):
Канат 8,4-Г-1-Л-Н-1770 ГОСТ 3067-88
Канат диаметром 4,0 мм, грузового назначения, марки В, оцинкованный по группе Ж, правой крестовой свивки, нераскручивающийся, нерихтованный, повышенной точности, маркировочной группы 1960 Н/мм (200 кгс/мм
):
Канат 4-Г-В-Ж-Н-Т-1960 ГОСТ 3067-88
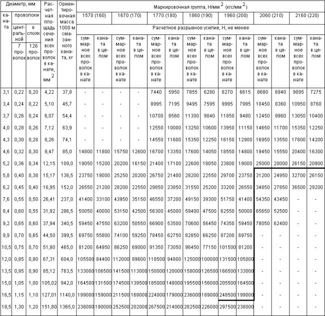
3. Диаметр каната и основные параметры его должны соответствовать приведенным в таблице.
Примечания:
1. Канаты, разрывное усилие которых приведено слева от жирной линии, изготовляют из проволоки без покрытия и оцинкованной. При этом канаты из оцинкованной проволоки группы Ж диаметрами 12,0-16,5 мм маркировочной группы 1960 Н/мм (200 кгс/мм
) изготовляют по согласованию изготовителя с потребителем.
Канаты, разрывное усилие которых указано справа от жирной линии, изготовляют из проволоки без покрытия, по согласованию изготовителя с потребителем канаты изготовляют из оцинкованной проволоки.
2. Диаметры канатов более 10 мм округлены до целых чисел или до 0,5 мм.
3. Допускается изготовление канатов с утолщенным сердечником, при этом диаметр каната не должен выходить за пределы, установленные ГОСТ 3241-91.
2, 3. (Измененная редакция, Изм. N 1).
4. Технические требования, правила приемки, методы испытаний, маркировка, упаковка, транспортирование и хранение - по ГОСТ 3241-91.
Электронный текст документа
подготовлен АО "Кодекс" и сверен по:
официальное издание
Канаты стальные. Сортамент: Сб.ГОСТов. -
М.: Стандартинформ, 2011
Разместите заказ
сами сделают вам предложение

