ГОСТы сталей. ГОСТ 3064-80
ГОСТ 3064-80
Группа В75
МЕЖГОСУДАРСТВЕННЫЙ СТАНДАРТ
КАНАТ ОДИНАРНОЙ СВИВКИ ТИПА ТК КОНСТРУКЦИИ 1х37(1+6+12+18)
Сортамент
One lay rоре type TК construction 1х37(1+6+12+18). Dimensions
МКС 77.140.65
ОКП 12 5100, 12 5200
Дата введения 1982-01-01
Постановлением Государственного комитета СССР по стандартам от 23 апреля 1980 г. N 1833 дата введения установлена 01.01.82
Ограничение срока действия снято Постановлением Госстандарта от 22.11.91 N 1752
ВЗАМЕН ГОСТ 3064-66
Издание (май 2011 г.) с Изменениями N 1, 2, утвержденными в ноябре 1986 г., ноябре 1991 г. (ИУС 2-87, 2-92)
1. Настоящий стандарт распространяется на стальные канаты одинарной свивки с точечным касанием проволок в канате типа ТК.

2. Канаты подразделяются по признакам
по назначению:
грузовые - Г;
по механическим свойствам марок: ВК, В, 1;
по виду покрытия поверхности проволок в канате:
из проволоки без покрытия,
из оцинкованной проволоки в зависимости от поверхностной плотности цинка: С, Ж, ОЖ;
по направлению свивки:
правой,
левой - Л;
по способу свивки:
нераскручивающиеся - Н,
раскручивающиеся;
по степени крутимости:
малокрутящиеся - МК;
по точности изготовления:
нормальной,
повышенной - Т;
по степени уравновешенности:
рихтованные - Р,
нерихтованные.
Примеры условных обозначений
Канат диаметром 7,0 мм, грузового назначения, марки В, из проволоки без покрытия, левой свивки, нераскручивающийся, нерихтованный, повышенной точности, маркировочной группы 1770 Н/мм (180 кгс/мм
):
Канат 7-Г-В-Л-Н-Т-1770 ГОСТ 3064-80
То же, диаметром 12,0 мм, грузового назначения, марки I, оцинкованной по группе ОЖ, правой свивки, раскручивающийся, рихтованный, нормальной точности, маркировочной группы 1570 Н/мм (160 кгс/мм
):
Канат 12-Г-I-ОЖ-Р-1570 ГОСТ 3064-80
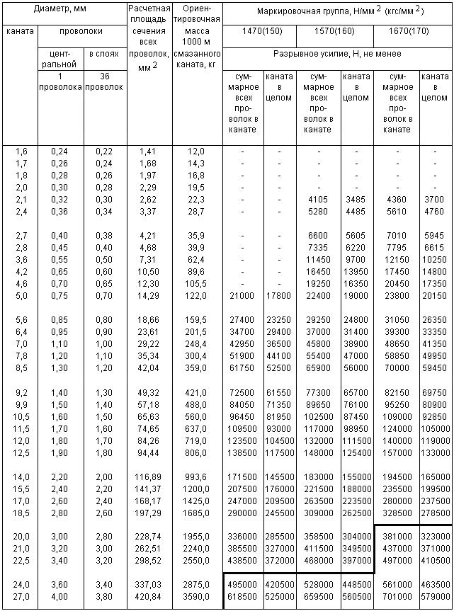
3. Диаметр каната и основные параметры его должны соответствовать указанным в таблице.
Диаметр, мм | Расчетная площадь сечения всех проволок, мм | Ориентировочная масса 1000 м смазанного каната, кг | Маркировочная группа, Н/мм | |||
каната | проволоки | 1370 (140) | ||||
центральной | в слоях | Разрывное усилие, H, не менее | ||||
1 проволока | 36 проволок | суммарное всех проволок в канате | каната в целом | |||
1,6 | 0,24 | 0,22 | 1,41 | 12,0 | - | - |
1,7 | 0,26 | 0,24 | 1,68 | 14,3 | - | - |
1,8 | 0,28 | 0,26 | 1,97 | 16,8 | - | - |
2,0 | 0,30 | 0,28 | 2,29 | 19,5 | - | - |
2,1 | 0,32 | 0,30 | 2,62 | 22,3 | - | - |
2,4 | 0,36 | 0,34 | 3,37 | 28,7 | - | - |
2,7 | 0,40 | 0,38 | 4,21 | 35,9 | - | - |
2,8 | 0,45 | 0,40 | 4,68 | 39,9 | - | - |
3,6 | 0,55 | 0,50 | 7,31 | 62,4 | - | - |
4,2 | 0,65 | 0,60 | 10,50 | 89,6 | - | - |
4,6 | 0,70 | 0,65 | 12,30 | 105,5 | - | - |
5,0 | 0,75 | 0,70 | 14,29 | 122,0 | 19600 | 16650 |
5,6 | 0,85 | 0,80 | 18,66 | 159,5 | 25600 | 21700 |
6,4 | 0,95 | 0,90 | 23,61 | 201,5 | 32350 | 27450 |
7,0 | 1,10 | 1,00 | 29,22 | 248,4 | 40050 | 34050 |
7,8 | 1,20 | 1,10 | 35,34 | 300,4 | 48450 | 41150 |
8,5 | 1,30 | 1,20 | 42,04 | 359,0 | 57650 | 49000 |
9,2 | 1,40 | 1,30 | 49,32 | 421,0 | 67650 | 57450 |
9,9 | 1,50 | 1,40 | 57,18 | 488,0 | 78450 | 66600 |
10,5 | 1,60 | 1,50 | 65,63 | 560,0 | 90000 | 76450 |
11,5 | 1,70 | 1,60 | 74,65 | 637,0 | 102000 | 87000 |
12,0 | 1,80 | 1,70 | 84,26 | 719,0 | 115500 | 97850 |
12,5 | 1,90 | 1,80 | 94,44 | 806,0 | 129500 | 109500 |
14,0 | 2,20 | 2,00 | 116,89 | 993,6 | 160000 | 135500 |
15,5 | 2,40 | 2,20 | 141,37 | 1200,0 | 193500 | 164000 |
17,0 | 2,60 | 2,40 | 168,17 | 1425,0 | 230500 | 195500 |
18,5 | 2,80 | 2,60 | 197,29 | 1685,0 | 270500 | 229500 |
20,0 | 3,00 | 2,80 | 228,74 | 1955,0 | 313500 | 266500 |
21,0 | 3,20 | 3,00 | 262,51 | 2240,0 | 360000 | 305500 |
22,5 | 3,40 | 3,20 | 298,52 | 2550,0 | 409500 | 347000 |
24,0 | 3,60 | 3,40 | 337,03 | 2875,0 | 462000 | 396000 |
27,0 | 4,00 | 3,80 | 420,84 | 3590,0 | 577000 | 490000 |
Продолжение

Продолжение

Продолжение

Примечания:
1. Канаты, разрывное усилие которых приведено слева от жирной линии, изготовляют из проволоки без покрытия и оцинкованной. При этом канаты из оцинкованной проволоки групп Ж и ОЖ диаметрами 24,0 и 27,0 мм маркировочной группы 1370 Н/мм (140 кгс/мм
), 20,0-22,5 мм маркировочной группы 1470 Н/мм
(150 кгс/мм
), 14,0-22,5 мм маркировочной группы 1570 Н/мм
(160 кгс/мм
), 14,0-18,5 мм маркировочной группы 1670 Н/мм
(170 кгс/мм
), 9,9-15,5 мм маркировочной группы 1770 Н/мм
(180 кгс/мм
), 5,6-7,8 мм маркировочной группы 1960 Н/мм
(200 кгс/мм
) изготовляют по согласованию изготовителя с потребителем.
Канаты, разрывное усилие которых приведено справа от жирной линии, изготовляют из проволоки без покрытия. Допускается по согласованию изготовителя с потребителем изготовление канатов из оцинкованной проволоки.
2. Диаметры канатов более 10 мм округлены до целых чисел или до 0,5 мм.
2, 3. (Измененная редакция, Изм. N 1, 2).
4. Технические требования, правила приемки, методы испытаний, маркировка, упаковка, транспортирование и хранение по ГОСТ 3241-91.
Электронный текст документа
подготовлен АО "Кодекс" и сверен по:
официальное издание
Канаты стальные. Сортамент: Сб.ГОСТов. -
М.: Стандартинформ, 2011
Разместите заказ
сами сделают вам предложение
