ГОСТы сталей. ГОСТ 12766
ГОСТ EN 12766-3-2014
МЕЖГОСУДАРСТВЕННЫЙ СТАНДАРТ
НЕФТЕПРОДУКТЫ И ОТРАБОТАННЫЕ МАСЛА
Определение полихлорированных бифенилов (PCB) и родственных соединений
Часть 3
Определение и вычисление содержания полихлорированных терфенилов (РСТ) и полихлорированных бензилтолуолов (РСВТ) методом газовой хроматографии (GC) с использованием электронозахватного детектора (ECD)
Petroleum products and used oils. Determination of polychlorinated biphenyls (PCB) and related products. Part 3. Determination and quantification of polychlorinated terphenyls (PCT) and polychlorinated benzyl toluenes (PCBT) content by gas chromatography (GC) using an electron capture detector (ECD)
МКС 75.080
75.100
Дата введения 2016-07-01
Предисловие
Цели, основные принципы и порядок проведения работ по межгосударственной стандартизации установлены в ГОСТ 1.0-92 "Межгосударственная система стандартизации. Основные положения" и ГОСТ 1.2-2009 "Межгосударственная система стандартизации. Стандарты межгосударственные, правила и рекомендации по межгосударственной стандартизации. Правила разработки, принятия, применения, обновления и отмены"
Сведения о стандарте
1 ПОДГОТОВЛЕН Федеральным государственным унитарным предприятием "Всероссийский научно-исследовательский центр стандартизации, информации и сертификации сырья, материалов и веществ" (ФГУП "ВНИЦСМВ") на основе собственного аутентичного перевода на русский язык стандарта, указанного в пункте 5
2 ВНЕСЕН Федеральным агентством по техническому регулированию и метрологии (Росстандарт)
3 ПРИНЯТ Межгосударственным советом по стандартизации, метрологии и сертификации (протокол от 14 ноября 2014 г. N 72-П)
За принятие проголосовали:
Краткое наименование страны по МК (ИСО 3166) 004-97 | Код страны по | Сокращенное наименование национального органа по стандартизации |
Армения | AM | Минэкономики Республики Армения |
Беларусь | BY | Госстандарт Республики Беларусь |
Киргизия | KG | Кыргызстандарт |
Молдова | MD | Молдова-Стандарт |
Россия | RU | Росстандарт |
Таджикистан | TJ | Таджикстандарт |
4 Приказом Федерального агентства по техническому регулированию и метрологии от 25 мая 2015 г. N 418-ст межгосударственный стандарт ГОСТ EN 12766-3-2014 введен в действие в качестве национального стандарта Российской Федерации с 1 июля 2016 г.
5 Настоящий стандарт идентичен европейскому региональному стандарту EN 12766-3:2004* Petroleum products and used oils - Determination of PCBs and related products - Part 3: Determination and quantification of polychlorinated terphenyls (PCT) and polychlorinated benzyl toluenes (PCBT) content by gas chromatography (GC) using an electron capture detector (ECD) [Нефтепродукты и отработанные масла. Определение PCB и родственных соединений. Часть 3. Определение и вычисление содержания полихлорированных терфенилов (РСТ) и полихлорированных бензилтолуолов (РСВТ) методом газовой хроматографии (GC) с использованием электронозахватного детектора (ECD)].
________________
* Доступ к международным и зарубежным документам, упомянутым в тексте, можно получить, обратившись в Службу поддержки пользователей. - Примечание изготовителя базы данных.
Европейский региональный стандарт разработан техническим комитетом CEN/TC 19 "Газообразные и жидкие топлива, смазочные материалы и родственные продукты нефтяного, синтетического и биологического происхождения".
Перевод с английского языка (en).
Официальные экземпляры европейского регионального стандарта, на основе которого подготовлен настоящий межгосударственный стандарт, и стандартов, на которые даны ссылки, имеются в Федеральном информационном фонде технических регламентов и стандартов.
Сведения о соответствии межгосударственных стандартов ссылочным стандартам приведены в дополнительном приложении ДА.
Степень соответствия - идентичная (IDT)
6 ВВЕДЕН ВПЕРВЫЕ
Информация об изменениях к настоящему стандарту публикуется в ежегодном информационном указателе "Национальные стандарты", а текст изменений и поправок - в ежемесячном информационном указателе "Национальные стандарты". В случае пересмотра (замены) или отмены настоящего стандарта соответствующее уведомление будет опубликовано в ежемесячном информационном указателе "Национальные стандарты". Соответствующая информация, уведомление и тексты размещаются также в информационной системе общего пользования - на официальном сайте Федерального агентства по техническому регулированию и метрологии в сети Интернет
1 Область применения
1 Область применения
Настоящий стандарт устанавливает метод определения содержания полихлорированных терфенилов (РСТ) и полихлорированных бензилтолуолов (РСВТ) в нефтепродуктах и аналогичных материалах стандартным разделением с помощью газовой хроматографии. Для количественного определения РСТ после хроматографического разделения используют промышленные смеси Aroclor 5442 и Aroclor 5460, для определения РСВТ-Ugilec 141.
Настоящий стандарт распространяется на нефтяные неиспользованные, отработанные и подвергнутые обработке (например, дехлорированию) масла, а также синтетические смазочные масла и нефтяные и синтетические смазочные масла, восстановленные с использованием соответствующих процедур из других материалов, например из отходов, а также на смеси растительных масел.
Примечание 1 - Настоящий стандарт разработан в дополнение к EN 12766-1 и EN 12766-2 для обеспечения метода определения общего содержания полихлорированных бифенилов в соответствии со статьями 2, 3 и 4 Директивы [1]. Общее содержание PCB в соответствии с указанной Директивой вычисляют как сумму
PCB, полученных по EN 12766-2, РСТ и РСВТ, определенных по настоящему стандарту.
Количественное определение соединений трех разных классов по настоящему стандарту возможно, если их содержание превышает сумму родственных соединений, приведенную в таблице 1.
Таблица 1 - Содержание полихлорированных соединений для их количественного определения
Класс соединений | Содержание, мг/кг, не менее | Метод испытания |
Полихлорированные бифенилы (PCB) | 8 | По ЕN 12766-2, метод А |
4 | По ЕN 12766-2, метод В | |
Полихлорированные терфенилы (РСТ) | 10 | По ЕN 12766-3 |
Полихлорированные бензилтолуолы (РСВТ) | 5 | По ЕN 12766-3 |
Общее содержание PCB и родственных продуктов | 25 | По EN 12766-2 и EN 12766-3 |
| ||
Примечание 2 - С целью упрощения и рационализации аналитической процедуры, необходимой для создания мощной, быстрой и экономичной системы инвентаризации оборудования, содержащего жидкости, классифицированные как PCB (в соответствии с Директивой [1]), предлагается с использованием соответствующих методов скрининга определить общее содержание хлора (мг/кг). Ниже приведены примеры аналитических методов определения общего содержания хлора в свежем, использованном или очищенном изоляционном масле:
I) предварительно дозированные колориметрические комплекты для измерения 25 или 50 мг/кг общего хлора (US ЕРА ain SW-846, метод 9079);
II) электрохимические методы обнаружения общего хлора в диапазоне от 2 до 2000 мг/кг (DEXSILL-2000 DXC-US ЕРА SW-846, метод 9079 и US ЕРА, SW-846, метод 9078);
III) метод длинноволновой рентгенофлуоресценции;
IV) окислительная микрокулонометрия или другие научно обоснованные аналитические методы.
По общему содержанию хлора, измеренному для конкретного образца, можно вычислить теоретическое максимальное содержание PCB. Если полученное при этом максимальное эквивалентное содержание PCB значительно ниже предела, установленного Директивой [1] (50 мг/кг общего содержания PCB) или в соответствии с нормативами конкретной страны (например, 25 мг/кг общего содержания PCB), то испытанный образец можно классифицировать как "не содержащий PCB".
Примечание 3 - Если общее содержание хлора в исследуемом образце превышает указанный предел, необходимо провести дальнейший анализ методом газовой хроматографии в соответствии с настоящим стандартом, используя общее содержание хлора в качестве:
I) руководства для определения степени разбавления, обеспечивающей работу электронозахватного детектора (ECD) в линейном диапазоне (EN 12766-1, 10.3.2);
II) метода вычисления соотношения между общим содержанием хлора и общим содержанием PCB для целей контроля качества;
III) метода для классификации опасности масла (например, в конце его срока службы, при регенерации, использовании в качестве топлива и/или утилизации в соответствии с национальным законодательством).
Примечание 4 - В настоящем стандарте "% масс." и "% об." используют для представления содержания в процентах по массе и в процентах по объему.
Предупреждение - Настоящий стандарт не ставит своей целью решить все вопросы безопасности, связанные с его применением. Пользователь стандарта несет ответственность за обеспечение соответствующих мер безопасности и охраны здоровья и определяет пригодность упомянутых ограничений перед его применением.
2 Нормативные ссылки
Для применения настоящего стандарта необходимы следующие ссылочные документы*. Для датированных ссылок применяют только указанное издание ссылочного документа. Для недатированных ссылок применяют последнее издание ссылочного документа (включая все его изменения).
________________
* Таблицу соответствия национальных стандартов международным см. по ссылке. - Примечание изготовителя базы данных.
EN 12766-1:2000 Petroleum products and used oils - Determination of PCBs and related products - Part 1: Separation and determination of selected PCB congeners by gas chromatography (GC) using an electron capture detector (ECD) [Нефтепродукты и отработанные масла. Определение PCB и родственных соединений. Часть 1. Разделение и определение выделенных родственных PCB газовой хроматографией (GC) с использованием электронозахватного детектора (ECD)]
EN 12766-2:2001 Petroleum products and used oils - Determination of PCBs and related products - Part 2: Calculation of polychlorinated biphenyl (PCB) content [Нефтепродукты и отработанные масла. Определение PCB и родственных соединений. Часть 2. Определение содержания полихлорированных бифенилов (PCB)]
ISO 3696 Water for analytical laboratory use - Specification and test methods (Вода, используемая для лабораторного анализа. Спецификация и методы испытаний)
3 Термины и определения
В разных правилах и законодательствах термин "полихлорированные бифенилы (PCB)" включает также полихлорированные терфенилы (РСТ) и полихлорированные бензилтолуолы (РСВТ). В настоящем стандарте наименование полихлорированные бифенилы определяется химической структурой, количественное определение PCB - по EN 12766-1 и EN 12766-2.
В настоящем стандарте применение терминов РСТ или РСВТ обусловлено химической структурой и приведено определение их содержания.
В соответствии с Директивой [1] результаты анализа полихлорированных бифенилов выражают общей суммой PCB, определенных по EN 12766-2, плюс содержание РСТ и РСВТ, определенных по настоящему стандарту.
В настоящем стандарте применены следующие термины с соответствующими определениями:
3.1 полихлорированный бифенил (PCB) [polychlorinated biphenyl (PCB)]: Бифенил, имеющий от 1 до 10 атомов водорода, замещенных хлором.
Примечание - С юридической точки зрения родственные бифенилы с одним, двумя или десятью замещенными атомами можно из этого определения исключить.
3.2 полихлорированный терфенил (РСТ) [polychlorinated terphenyl (РСТ)]: Терфенил, который содержит от 1 до 14 атомов хлора в качестве заместителей.
Примечание - Существует 8557 родственных полихлорированных терфенилов.
3.3 полихлорированные бензилтолуолы (РСВТ) [polychlorinated benzyl toluenes (РСВТ)]: Семейство полихлорированных монометилбифенилметанов.
3.4 родственные соединения (congeners): Любые хлорированные производные бифенилов или терфенилов, независимо от количества замещенных атомов хлора.
3.5 декахлорбифенил (DCB) [dekachlorbiphenyl (DCB)]: Родственный PCB 209.
Примечание - Этот родственный PCB используют в качестве контрольного и внутреннего стандарта.
4 Основные положения
Используют процедуру подготовки образца (очистки) для удаления большей части примесей, мешающих определению. Процедуру очистки выбирают с учетом типа образца. Ряд процедур очистки описан в EN 12766-1, раздел 8 и В.1-В.5 приложения В.
Группы родственных РСТ и РСВТ определяют с помощью газовой хроматографии высокого разрешения на капиллярной колонке с использованием электронозахватного детектора и внутреннего стандарта.
РСВТ и РСТ разделены на группы перекрывающихся родственных соединений. Хроматограммы, полученные для РСВТ и смесей РСТ Aroclor, приведены в приложении А. Вычисляют экспериментальные относительные времена удерживания (ERRT). Калибровку и количественную оценку идентифицированных пиков проводят с использованием стандартных смесей и внутреннего стандарта. Некоторые родственные соединения - маркеры (по три выбранных, наиболее распространенных для каждой промышленной смеси) определяют количественно и вычисляют общее содержание РСТ и РСВТ.
5 Реактивы и материалы
Используют только реактивы квалификации ч.д.а. и воду квалификации 3 по ISO 3696. Все реактивы и материалы, в том числе используемые для очистки, не должны содержать PCB, РСТ и РСВТ и соединений, влияющих на работу ECD. При наличии достаточного объема раствора образца содержание РСТ и РСВТ можно определить гравиметрическим методом.
5.1 Реактивы и материалы для приготовления образца (очистки)
5.1.1 Растворители высокой степени чистоты, не содержащие PCB и соединений, влияющих на работу ECD. Предпочтительным является гептан, можно также использовать 2,2,4-триметилпентан.
5.1.2 Сульфат натрия гранулированный, безводный.
5.1.3 Серная кислота чистотой от 96% масс. до 98% масс.
5.1.4 Активный силикагель для разделения образца с размером частиц от 100 до 200 мкм.
5.1.5 Колонки для твердофазной экстракции:
a) колонка вместимостью 3 см с силикагелем; масса силикагеля - 500 мг с размером частиц 40 мкм;
b) колонка вместимостью 3 см с бензолсульфоновой кислотой; масса бензолсульфоновой кислоты - 500 мг с размером частиц 40 мкм.
5.1.6 Адаптер для соединения двух колонок.
5.1.7 Вакуумная система с устройством для подключения к колонкам (дополнительно).
Реактивы и материалы, необходимые для альтернативной и дополнительной очистки, приведены в EN 12766-1, приложение В.
5.2 Реактивы и материалы для газохроматографического (GC) анализа
Примечание - Чистота всех газов должна быть не менее 99,99% об. Линию подачи газа (газа-носителя и нагнетаемого газа) оснащают фильтром-осушителем и картриджем для поглощения кислорода.
5.2.1 Гексахлорбензол чистотой не менее 99% об.
5.2.2 Газ-носитель - гелий или водород.
5.2.3 Нагнетаемый газ - азот или смесь аргон/метан в объемном соотношении 95:5.
5.3 Растворы стандартов и калибровочных растворов
Примечание - Растворы стандартов, приведенные в этом разделе, можно приобрести в виде промышленных растворов с известной концентрацией (с точностью ±5%) в углеводородных растворителях (5.1.1), полученных из веществ чистотой не менее 99% об., или приготовить из чистых материалов.
5.3.1 Раствор родственного PCB 30 номинальной концентрацией 10 мг/дм (используют в качестве контрольного пика).
5.3.2 Раствор родственного PCB 209 (DCB) номинальной концентрацией 10 мг/дм (используют в качестве контрольного пика и внутреннего стандарта).
5.3.3 Раствор внутреннего стандарта
Раствор внутреннего стандарта, содержащий 2 мг/дм родственного PCB 30 и 2 мг/дм
родственного PCB 209. В мерную колбу вместимостью 25 см
помещают 5 см
раствора по 5.3.1 и 5 см
раствора по 5.3.2 и доводят до метки растворителем (5.1.1).
5.3.4 Раствор РСВТ Ugilec 141 (Ugilec T) в растворителе (5.1.1) с точно известной концентрацией приблизительно 100 мг/дм.
5.3.5 Раствор РСТ (Aroclor 5442) в растворителе (5.1.1) с точно известной концентрацией приблизительно 100 мг/дм.
5.3.6 Раствор РСТ (Aroclor 5460) в растворителе (5.1.1) с точно известной концентрацией приблизительно 100 мг/дм.
5.3.7 Стандартный раствор РСВТ Ugilec 141 в растворителе (5.1.1) концентрацией 10 мг/дм или другой концентрацией, обеспечивающей отклик в пределах линейного рабочего диапазона газохроматографического детектора (см. также EN 12766-1, 10.3). Для приготовления стандартного раствора в мерную колбу вместимостью 10 см
помещают 7 см
растворителя, соответствующее количество Ugilec 141 (5.3.4), 1 см
раствора внутреннего стандарта (5.3.3), добавляют 1,000 г базового масла (5.4), взвешенного с точностью до 0,001 г, и доводят до метки растворителем.
5.3.8 Стандартный раствор РСТ Aroclor 5442 в растворителе (5.1.1) концентрацией 10 мг/дм или другой концентрацией, обеспечивающей отклик в пределах линейного рабочего диапазона газохроматографического детектора (см. также EN 12766-1, 10.3). Для приготовления стандартного раствора в мерную колбу вместимостью 10 см
помещают 7 см
растворителя, соответствующее количество РСТ Aroclor 5442 (5.3.5), добавляют 1 см
раствора внутреннего стандарта (5.3.3) и 1,000 г базового масла (5.4), взвешенного с точностью до 0,001 г, и доводят до метки растворителем.
5.3.9 Стандартный раствор РСТ Aroclor 5460 в растворителе (5.1.1) концентрацией 10 мг/л или другой концентрацией, обеспечивающей отклик в пределах линейного рабочего диапазона газохроматографического детектора (см. также EN 12766-1, 10.3). Для приготовления стандартного раствора в мерную колбу вместимостью 10 см помещают 7 см
растворителя, соответствующее количество РСТ Aroclor 5442 (5.3.5), точно дозируют 1 см
раствора внутреннего стандарта (5.3.3) и 1,000 г базового масла (5.4), взвешенного с точностью до 0,001 г и доводят до метки растворителем.
5.4 Базовое масло
Неиспользованное масло, не содержащее PCB, РСТ и РСВТ, как указано в EN 12766-1 (примечание к пункту 5.5).
5.5 Контрольный образец
Стандартная смесь РСТ и РСВТ в базовом масле концентрацией в середине диапазона калибровки, имеющая отклик в линейном диапазоне ECD.
6 Аппаратура
6.1 Общие положения
Все детали аппаратуры, контактирующие с образцом, особенно насадочные колонки для очистки жидкостной хроматографией, не должны содержать PCB, РСТ и РСВТ и мешающих веществ. Стеклянную посуду перед использованием очищают растворителем (5.1.1).
Допускается использовать для жидкостной хроматографии пластиковые наконечники пипеток и пластиковые колонки. Должна быть подтверждена необходимая чистота одноразовых материалов.
Дополнительно к стандартному лабораторному оборудованию и стеклянной посуде используют следующее оборудование.
6.2 Газовый хроматограф
Используют газовый хроматограф, приведенный в EN 12766-1, 6.2.
Газовый хроматограф должен обеспечивать разрешение пиков стандартных растворов (5.3.7-5.3.9) не хуже, чем приведено на рисунках А.1-А.3 приложения А. Должны наблюдаться не менее 21 пика для Ugilec 141, не менее 57 пиков РСТ для Aroclor 5460 и 81 пик РСТ для Aroclor 5442. Газовый хроматограф также должен обеспечивать воспроизводимость экспериментального относительного времени удерживания (ERRT) с точностью ±0,0015.
6.3 Колонки
Используют колонки, приведенные в EN 12766-1, 6.3.
7 Отбор и подготовка проб
Отбор и подготовка проб - по EN 12766-1, раздел 7.
Перед процедурой очистки готовят раствор образца следующим образом: в мерную колбу вместимостью 10 см взвешивают приблизительно 1,000 г гомогенизированного образца с точностью до 0,001 г, добавляют приблизительно 8 см
растворителя (5.1.1) и тщательно перемешивают, затем добавляют 1 см
раствора внутреннего стандарта (5.3.3) и содержимое колбы доводят до метки растворителем.
Для обеспечения определения содержания РСТ и РСВТ в линейном диапазоне GC детектора при необходимости образец разбавляют базовым маслом (5.4).
8 Процедура очистки
Обычно для очистки образца достаточно использовать относительно простую процедуру, приведенную в EN 12766-1, раздел 8. Если эта очистка является неудовлетворительной, можно использовать одну из альтернативных процедур по EN 12766-1 (В.1-В.5 приложения В).
Примечание - Для изоляционных жидкостей можно использовать процедуру очистки по EN 12766-1, В.2 приложения В.
9 Рабочие условия газового хроматографа
9.1 Настройка газового хроматографа
Можно использовать рабочие условия, приведенные ниже, но они должны быть оптимизированы для каждой GC системы для обеспечения получения хроматограмм стандартных исходных растворов (5.3.7-5.3.9), аналогичных хроматограммам в приложении А. В приведенном примере в качестве газа-носителя был использован водород. При использовании других газов-носителей получают другие значения времени удерживания.
9.2 Инжектор
Систему ввода устанавливают в соответствии с инструкцией изготовителя.
Примечание - Для анализа можно использовать следующие параметры:
a) инжектор с делением/без деления потока: | |
режим без деления: | температура - от 240°С до 280°С; |
клапан делителя закрыт между | 0,5-1,5 мин; |
режим с делением: | температура - от 250°С до 280°С; |
соотношение деления потока: | 5:1; |
b) инжектор для ввода проб в колонку: | температура - от 50°С до 110°С в зависимости от используемого растворителя. |
9.3 Программа температуры термостата
Программу температуры термостата выбирают так, чтобы получить хроматограмму требуемого качества. В зависимости от используемого растворителя и способа ввода пробы устанавливают начальную температуру и начальный изотермический период.
Типичные параметры приведены в таблице 2. Для получения хроматограммы необходимого качества эти параметры могут быть изменены.
Таблица 2 - Типичные параметры программы температуры термостата
Программа настройки | При постоянном давлении | При постоянном потоке (электронное управление) |
Начальный изотермический период, мин | 1 | 1 |
Начальная температура, °С | 50 | 50 |
Программирование температуры | От 50°С до 168°С со скоростью 50°С/мин | От 50°С до 168°С со скоростью 50°С/мин |
Конечный изотермический период | 290°С в течение 30 мин | 290°С в течение 46 мин |
Охлаждение до температуры, °С | 50 | 90 |
9.4 Расход газа-носителя
a) При постоянном давлении
Устанавливают давление на входе, например 270 кПа для гелия, обеспечивая скорость потока через колонку 1 см/мин при 130°С.
b) При постоянном потоке (электронное управление)
Устанавливают скорость потока через колонку 1 см/мин.
Примечание - Использование водорода в качестве газа-носителя позволяет снизить давление в колонке и сократить время анализа.
9.5 Установочные параметры электронозахватного детектора (ECD)
Температура должна быть от 300°С до 350°С.
Используют установочные параметры, рекомендованные изготовителем прибора, для обеспечения оптимальных условий линейности детектора.
Скорость потока нагнетаемого газа должна быть от 20 до 40 см/мин для обеспечения достаточной чувствительности детектора для анализируемых соединений.
10 Проверка характеристик прибора и разрешающей способности
Примечание - Работу прибора проверяют по EN 12766-1, раздел 10.
Используя стандартные хроматографические параметры, вводят стандартные растворы (5.3.7-5.3.9) подходящей концентрации в пределах линейного диапазона детектора. Сравнивают полученную хроматограмму со стандартной хроматограммой и проверяют соответствие пиков для идентификации смеси. Идентифицируют все пики, сравнивая с хроматограммами и таблицами, приведенными в приложении А, в соответствии с 6.2.
11 Калибровка
11.1 Общие положения
Примечание - Газовый хроматограф калибруют в линейном диапазоне ECD. Количество базового масла (5.4) в калибровочном растворе должно соответствовать количеству масла в растворе образца для сопоставимости влияния помех на ECD.
Предварительно очищают по 250 мкл каждого стандартного раствора (5.3.7-5.3.9) по разделу 8. Вводят каждый из полученных растворов в газовый хроматограф в соответствии с разделом 9.
11.2 Определение экспериментального относительного времени удерживания (ERRT)
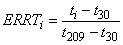
Для каждого раствора промышленной смеси (5.3.7, 5.3.8 и 5.3.9) идентифицируют и выбирают три пика-маркера в зависимости от их относительного содержания (см. таблицу 3). Для каждого пика-маркера из соответствующей промышленной смеси определяют экспериментальное относительное время удерживания ERRT относительно пиков С30 и С209 (5.3.1 и 5.3.2) по формуле
, (1)
где t - время удерживания i-го пика маркера с момента ввода;
t - время удерживания родственного PCB 30 (контрольный стандарт);
t - время удерживания родственного PCB 209 (внутренний стандарт).
В таблице 3 приведены значения экспериментального относительного времени удерживания для интересующих пиков.
Примечание 1 - Пики родственных PCB 30 (5.3.1) и PCB 209 (5.3.2) выбирают в качестве контрольных пиков для определения ERRT, поскольку они расположены отдельно от пиков родственных соединений в коммерческих смесях и позволяют получить точно повторяемые значения ERRT.
Примечание 2 - Хроматограммы трех технических смесей приведены в приложении А. Для облегчения идентификации пики-маркеры, приведенные в таблице 3, обозначены в соответствии с их родственными группами на хроматограммах.
Таблица 3 - Примеры пиков-маркеров в технических смесях
Группа родственных соединений | ERRT (пример) | Относительное содержание, % |
(PCB 28) | 0,1172 | |
(PCB 52) | 0,1854 | |
(PCB 101) | 0,3567 | |
UG 1 | 0,4375 | 7,55 |
UG 2 | 0,4602 | 11,56 |
UG 3 | 0,4999 | 14,83 |
(PCB 153) | 0,5214 | |
(PCB 138) | 0,5742 | |
(PCB 180) | 0,7031 | |
РСТ 5442-1 (РСТ 01, таблица А.2) | 0,8005 | 3,91 |
РСТ 5442-2 (РСТ 05, таблица А.2) | 0,8467 | 4,08 |
РСТ 5442-3 (РСТ 06, таблица А.2) | 0,8642 | 3,91 |
РСТ 5460-1 (РСТ 05, таблица А.3) | 1,2867 | 2,66 |
РСТ 5460-2 (РСТ 11, таблица А.3) | 1,3629 | 4,82 |
РСТ 5460-3 (РСТ 13, таблица А.3) | 1,4135 | 5,04 |
| ||
11.3 Определение экспериментальных относительных коэффициентов отклика (ERRF) для РСТ
Экспериментальные относительные коэффициенты отклика [по отношению к родственному PCB 209 (5.3.2)] для пиков маркеров в промышленных смесях (5.3.8 и 5.3.9) вычисляют по формуле
, (2)
где i - порядковый номер для выбранного пика маркера РСТ;
j - порядковые номера выбранной коммерческой смеси (5.3.8, 5.3.9);
А - площадь или высота выбранного i-го пика маркера в j-й коммерческой смеси РСТ;
w - концентрация внутреннего стандарта (родственного PCB 209), мг/дм
;
A - площадь или высота пика внутреннего стандарта (родственного PCB 209);
w - концентрации i-го пика маркера в j-й коммерческой смеси, мг/дм
. Концентрацию w
вычисляют умножением концентрации j-го РСТ в калибровочном растворе на его относительное содержание в технической смеси (в процентах), приведенное в таблице 3 для j-го РСТ, и последующим делением на 100.
Составляют таблицу калибровки, аналогичную таблице 3, в которой приведены ERRF для каждого выбранного пика маркера. Стандартные калибровочные растворы (5.3.8) и (5.3.9) для РСТ Aroclor 5442 и РСТ Aroclor 5460 при калибровке были подвергнуты хроматографическому анализу.
Для каждого i-го пика маркера каждой j-й технической смеси вычисляют ERRF путем анализа стандартных растворов 5.3.8 и 5.3.9.
11.4 Определение экспериментальных относительных коэффициентов отклика (ERRF) для РСВТ
Экспериментальный относительный коэффициент отклика ERRF вычисляют (по отношению к родственному PCB 209) для выбранного пика (пики-маркеры промышленных смесей) по формуле
, (3)
где i - порядковые номера для трех выбранных родственных соединений группы РСВТ;
A - площадь или высота выбранного i-го пика маркера РСВТ;
w - концентрация внутреннего стандарта (родственного PCB 209), мг/дм
;
A - площадь или высота пика внутреннего стандарта (родственного PCB 209);
w - концентрация i-го пика родственного соединения группы РСВТ, мг/дм
.
Концентрацию w вычисляют умножением концентрации РСВТ в калибровочном растворе на его относительное содержание в технической смеси (%), приведенное в таблице 3, и последующим делением на 100.
Составляют таблицу калибровки, аналогичную таблице 3, в которой приводят значения ERRF для каждого выбранного пика маркера. Для калибровочного раствора (5.3.7) Ugilec 141 данные получены в процессе калибровки.
Для каждого выбранного пика маркера из промышленной смеси вычисляют ERRF на основании анализа стандартного раствора калибровочной смеси (5.3.7).
12 Измерение
Вводят в газовый хроматограф раствор пробы (см. раздел 7), используя тот же объем, что и при калибровке. Хроматограмму записывают при настройках газового хроматографа, использованных при калибровке по разделу 11.
Вводят количество определяемых соединений PCB, РСТ и РСВТ, а также внутреннего стандарта в пределах калиброванного линейного диапазона чувствительности детектора. При необходимости повторяют определение с использованием другого разбавления или объема образца.
Выбранные смеси (5.5) должны быть измерены с каждой серией проб или не менее одного раза в день. Если вычисленное содержание полихлорированных соединений в последовательных измерениях отличается более чем на ±9%, систему следует откалибровать.
13 Вычисление результатов
Пики на хроматограмме идентифицируют по их экспериментальному относительному времени удерживания ERRT, вычисленному для каждого пика по формуле (1), и по образцам хроматограмм PCB, РСТ и РСВТ, приведенным в качестве примера в приложении А.
Для выбранных PCB и РСВТ не должно быть перекрывания пиков. Для количественного вычисления по хроматограмме используют метод внутреннего стандарта.
13.1 Вычисление содержания РСТ
Массу каждого i-го пика маркера РСТ т, мкг, в j-й промышленной смеси вычисляют по методу внутреннего стандарта, используя экспериментальный относительный коэффициент отклика, по формуле
, (4)
где m - масса внутреннего стандарта (родственного PCB 209)Б,* мкг;
_______________
* Текст документа соответствует оригиналу. - Примечание изготовителя базы данных.
А - площадь или высота i-го пика маркера в j-й промышленной смеси;
A - площадь или высота пика внутреннего стандарта (родственного PCB 209);
ERRF - экспериментальный относительный коэффициент отклика i-го пика маркера РСТ в j-й промышленной смеси.
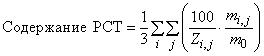
Вычисляют содержание РСТ в пробе, мг/кг, по формуле
, (5)
где т - вычисленная масса i-го пика РСТ, мкг, в j-й промышленной смеси;
Z - относительное содержание выбранного i-го пика в j-й промышленной смеси РСТ (по таблице 3);
т - масса пробы, г.
13.2 Вычисление содержания РСВТ
Массу каждого пика маркера РСВТ т, мкг, в испытуемой пробе вычисляют методом внутреннего стандарта, используя экспериментальный относительный коэффициент отклика, по формуле
, (6)
где m - масса внутреннего стандарта (родственного PCB 209), мкг;
А - площадь или высота выбранного i-го пика маркера РСВТ;
A - площадь или высота пика внутреннего стандарта (родственного PCB 209);
ERRF - экспериментальный относительный коэффициент отклика i-го пика маркера в коммерческой смеси РСВТ.
Содержание РСВТ в пробе, мг/кг, вычисляют по формуле
, (7)
где m - вычисленная масса, мкг, i-го пика маркера РСВТ промышленной смеси РСВТ;
Z - относительное содержание i-го пика в промышленной смеси РСВТ (по таблице 3);
т - масса пробы, г.
14 Вычисление общего содержания РСВ и родственных РСВ
14 Вычисление общего содержания PCB и родственных PCB
Примечание - Важно отметить, что если содержание одной из трех групп PCBcont, PCTcont или PCBTcont не может быть определено в диапазоне применимости метода, суммарное определяемое количество полихлорированных соединений по данному разделу не может быть вычислено достоверно; в таких случаях можно регистрировать только частичные результаты.
Общее содержание PCB и родственных соединений X, округленное до целого числа, мг/кг, вычисляют суммированием массовых долей PCB, РСТ и РСВТ в пробе по формуле
, (8)
где A - содержание PCB, мг/кг, вычисленное по EN 12766-2 и округленное с точностью до 0,1 мг/кг;
В - содержание РСТ, мг/кг, вычисленное по 13.1 и округленное с точностью до 0,1 мг/кг;
С - содержание РСВТ, мг/кг, вычисленное по 13.2 и округленное с точностью до 0,1 мг/кг.
Если содержание группы A, B или С определить в пределах области применения настоящего метода (см. раздел 1) невозможно, общее содержание Х не вычисляют и значение Х не приводят. В таких случаях можно указать полученные промежуточные результаты A, B или С отдельно, используя соответствующие единицы и округление, приведенное в настоящем разделе.
Каждый промежуточный результат для групп А, В или С за пределами или ниже области применения настоящего метода испытаний (см. раздел 1) определяют как:
"Менее Y", где Y - область применения метода для каждой группы (см. раздел 1).
Если результаты для двух классов A, B или С, вне и ниже области применения настоящего метода, а третий результат находится в пределах, но близко к нижнему пределу области применения, то результат для Х указывают:
"Менее Z", где Z - 25 мг/кг в соответствии с разделом 1.
15 Прецизионность
15.1 Общие сведения
Установлено, что анализ классов продуктов по методу настоящего стандарта является сложной и нетривиальной задачей в связи с продолжительностью анализа, необходимыми затратами и опытом. Труднодоступны надежные образцы с различным содержанием PCB, РСТ и РСВТ, подходящие для использования в межлабораторных исследованиях, необходимых для установления достоверных значений прецизионности.
Несмотря на то, что вычисление повторяемости и воспроизводимости проводилось по стандарту [2] следует указать, что значения, приведенные ниже, были получены на основании круговых испытаний 2 образцов в 6 лабораториях, что означает, что полученные данные не имеют числа степеней свободы, необходимого в соответствии со стандартом [2].
Поэтому обрабатывать данные и использовать значения, приведенные ниже, следует с соответствующей осторожностью. Однако независимые мнения признанных экспертов, основанные на большом ежедневном опыте работы в лаборатории, подтверждают реальность представленных значений.
15.2 Повторяемость
Расхождение r между двумя результатами испытаний, полученными одним и тем же оператором на одном и том же приборе при постоянных рабочих условиях на идентичном испытуемом материале в течение длительного времени при нормальном и правильном выполнении метода исследования, может превышать значения, приведенные в таблице 4, только в одном случае из двадцати.
15.3 Воспроизводимость
Расхождение R между двумя единичными и независимыми результатами, полученными разными операторами, работающими в разных лабораториях, на идентичном испытуемом материале в течение длительного времени при нормальном и правильном выполнении метода исследования, может превышать значения, приведенные в таблице 4, только в одном случае из двадцати.
Таблица 4 - Прецизионность межлабораторных исследований (оценка CEN/TC 19)
Образец | Номинальное содержание, мг/кг | Определенное содержание, мг/кг | Повторяемость r, мг/кг | Воспроизводимость R, мг/кг |
RRT 2-1 | ||||
A - PGB | 22,6 | 24,4 | 2,8 | 7,6 |
B - РСТ | 31,3 | 28,6 | 4,2 | 8,5 |
С - РСВТ | 30,4 | 20,3 | 3,65 | 5,7 |
X - сумма | 64,3 | 73,3 | 5,0 | 26,0 |
RRT 2-2 | ||||
A - PGB | 8,0 | 7,4 | 1,7 | 4,6 |
B - РСТ | 10,5 | 10,8 | 1,8 | 5,0 |
С - РСВТ | 5,0 | 3,7 | 2,8 | 2,7 |
X - сумма | 23,8 | 21,9 | 3,5 | 12,0 |
| ||||
16 Протокол испытаний
Протокол испытаний должен содержать:
a) вид и идентификацию испытуемого образца;
b) обозначение настоящего стандарта;
c) использованную процедуру отбора проб (раздел 7);
d) использованную процедуру очистки (раздел 8);
e) результаты испытаний (раздел 14), в том числе содержание PCB, РСТ, РСВТ и общее содержание PCB и родственных продуктов; а также указание использованного метода вычисления (А или В) по EN 12766-2;
f) любые отклонения от процедуры и особенности, отмеченные при испытании;
g) дату проведения испытаний.
Приложение А (обязательное). Типичные хроматограммы
Приложение А
(обязательное)
Рисунок А.1 - Типичная хроматограмма Ugilec 141

Времена удерживания компонентов Ugilec 141: 1 - 16,336 (контрольный стандарт PCB 30); 2 - 20,166; 3 - 30,502; 4 - 30,632; 5 - 30,952; 6 - 31,338 (пик-маркер UG 1); 7 - 31,701; 8 - 31,861; 9 - 32,125 (пик-маркер UG 2); 10 - 32,461; 11 - 32,676; 12 - 33,019; 13 - 33,127; 14 - 33,273; 15 - 33,514 (пик-маркер UG 3); 16 - 33,900; 17 - 34,271; 18 - 34,399; 19 - 34,556; 20 - 34,728; 21 - 35,238; 22 - 35,457; 23 - 36,420; 24 - 49,044; 25 - 50,927 (внутренний стандарт PCB 209)
Рисунок А.1 - Типичная хроматограмма Ugilec 141
Примечание - Времена удерживания и номера пиков PCB по IUPAC приведены по стандарту [3]. Большое количество чисел для PCB определяется большим количеством родственных соединений в Aroclor 1260 (данные получены из [4]). Данные для смесей РСТ 5442 и РСТ 5460 представлены г.Tumiatti из Sea Marconi, Турин.
Таблица А.1 - Пики Ugilec 141 и родственных PCB (с относительным содержанием) в порядке возрастания экспериментального относительного времени удерживания ERRT в диапазоне 0,408-0,641
Номер пика | ERRT (пример) | Номер родственного соединения, вариант "Все вероятно" (номер по IUPAC) | Относительное содержание, % |
54 | 0,408 | 87/115 | 1,61/0,12 |
55 | 0,416 | 85 | 0,75 |
56 | 0,422 | 136 | 1,14 |
57 | 0,427 | 77/110 | 0,15/3,09 |
UG 1 | 0,4375 | 7,55 | |
59 | 0,451 | 151/82 | 1,61/0,46 |
60 | 0,460 | 135 | 1,42 |
UG 2 | 0,4602 | 11,55 | |
61 | 0,468 | 107 | 0,26 |
62 | 0,474 | 123/149 | 0,27/3,56 |
63 | 0,477 | 118 | 2,86 |
64 | 0,495 | 134 | 0,37 |
65 | 0,499 | 114 | 0 |
UG 3 | 0,4999 | 14,83 | |
66 | 0,503 | 122/131 | 0,27/0,11 |
67 | 0,510 | 146 | 0,77 |
68 | 0,521 | 132/153 | 1,99/5,25 |
69 | 0,528 | 105 | 1,59 |
70 | 0,546 | 141 | 1,20 |
71 | 0,550 | 179 | 0,67 |
72 | 0,559 | 130 | 0,24 |
73 | 0,564 | 137/176 | 0,10/0,42 |
74 | 0,574 | 138/160/163 | 3,29/0,02/0 |
75 | 0,579 | 158 | 0,77 |
76 | 0,590 | 126/129/178 | 0/0,45/0,99 |
77 | 0,601 | 175 | 0,09 |
78 | 0,607 | 187 | 1,43 |
79 | 0,616 | 183 | 0,64 |
80 | 0,627 | 128 | 1,04 |
81 | 0,636 | 167 | 0,16 |
82 | 0,641 | 185 | 0,45 |
Рисунок А.2 - Типичная хроматограмма для РСТ Aroclor 5442
Времена удерживания компонентов Aroclor 5442: 1 - 16,337 (контрольный стандарт PCB 30); 2 - 17,267; 3 - 17,385; 4 - 18,451; 5 - 20,167; 6 - 20,712; 7 - 22,564; 8 - 23,898; 9 - 26,818; 10 - 34,809; 11 - 35,252; 12 - 37,349; 13 - 37,666; 14 - 38,739; 15 - 38,871; 16 - 39,013; 17 - 39,320; 18 - 39,677; 19 - 40,046; 20 - 40,167; 21 - 40,556; 22 - 40,712; 23 - 40,858; 24 - 41,099; 25 - 41,450; 26 - 41,638; 27 - 42,022; 28 - 42,259; 29 - 42,556; 30 - 42,667; 31 - 42,894; 32 - 43,338; 33 - 43,570; 34 - 44,049 (пик-маркер РСТ 5442-1); 35 - 44,250; 36 - 44,702; 37 - 44,964; 38 - 45,203; 39 - 45,376; 40 - 45,648 (пик-маркер РСТ 5442-2); 41 - 45,980; 42 - 46,258 (пик-маркер РСТ 5442-3); 43 - 46,634; 44 - 46,951; 45 - 47,154; 46 - 47,561; 47 - 47,885; 48 - 48,191; 49 - 48,368; 50 - 48,745; 51 - 48,935; 52 - 49,305; 53 - 49,473; 54 - 49,910; 55 - 49,965; 56 - 50,276; 57 - 50,697; 58 - 50,926 (внутренний стандарт PCB 209); 59 - 51,230; 60 - 51,695; 61 - 51,788; 62 - 52,259; 63 - 52,540; 64 - 52,936
Рисунок А.2 - Типичная хроматограмма для РСТ Aroclor 5442
Таблица А.2 - Пики РСТ Aroclor 5442 и родственных PCB (с относительным содержанием) в порядке возрастания экспериментального относительного времени удерживания ERRT в диапазоне 0,785-1,099
Номер пика | ERRТ (пример) | Номер родственного соединения, вариант "Все вероятно" (номер по IUPAC) | Относительное содержание, % |
98 | 0,785 | 196/203 | 0,69/0,99 |
РСТ01 | 0,8005 | - | 3,91 |
РСТ02 | 0,8066 | - | 2,24 |
99 | 0,812 | 189 | 0,11 |
РСТ03 | 0,8266 | - | 2,35 |
РСТ04 | 0,8335 | - | 2,61 |
100 | 0,838 | 195/208 | 0,68/0,17 |
РСТ05 | 0,8467 | - | 4,08 |
101 | 0,852 | 207 | 0,05 |
РСТ06 | 0,8642 | - | 3,91 |
102 | 0,877 | 194 | 1,3 |
103 | 0,885 | 205 | 0,15 |
РСТ07 | 0,9010 | - | 4,86 |
РСТ08 | 0,9235 | - | 2,45 |
РСТ09 | 0,9346 | - | 2,63 |
РСТ10 | 0,9416 | - | 3,82 |
104 | 0,945 | 206 | 0,45 |
РСТ11 | 0,9794 | - | 3,15 |
РСТ12 | 0,9918 | - | 2,37 |
Декахлорбифенил | 1,000 | 209 | (Внутренний стандарт) |
РСТ13 | 1,0072 | - | 2,28 |
РСТ14 | 1,0365 | - | 2,14 |
РСТ15 | 1,0450 | - | 1,93 |
РСТ16 | 1,0559 | - | 1,54 |
РСТ17 | 1,0985 | - | 1,36 |
Рисунок А.3 - Типичная хроматограмма РСТ Aroclor 5460
Пики компонентов Aroclor 5460: 1 - контрольный стандарт PCB 30; 2 - внутренний стандарт PCB 209; 3 - пик-маркер РСТ 5460-1; 4 - пик-маркер РСТ 5460-2; 5 - пик-маркер РСТ 5460-3
Рисунок А.3 - Типичная хроматограмма РСТ Aroclor 5460
Таблица А.3 - Пики РСТ Aroclor 5460 (с относительным содержанием) в порядке возрастания экспериментального относительного времени удерживания ERRT в диапазоне 1,1937-1,6091
Номер пика | ERRT | Относительное содержание, % |
Декахлорбифенил | 1,000 | - |
РСТ01 | 1,1937 | 1,23 |
РСТ02 | 1,2140 | 1,10 |
РСТ03 | 1,2295 | 1,66 |
РСТ04 | 1,2350 | 2,83 |
РСТ05 | 1,2867 | 2,66 |
РСТ06 | 1,2912 | 1,83 |
РСТ07 | 1,2954 | 2,39 |
РСТ08 | 1,3011 | 2,16 |
РСТ09 | 1,3046 | 1,92 |
РСТ10 | 1,3214 | 4,18 |
РСТ11 | 1,3629 | 4,82 |
РСТ12 | 1,3690 | 3,78 |
РСТ13 | 1,4135 | 5,04 |
РСТ14 | 1,4187 | 3,17 |
РСТ15 | 1,4253 | 2,10 |
РСТ16 | 1,4341 | 2,89 |
РСТ17 | 1,4506 | 2,20 |
РСТ18 | 1,4666 | 2,01 |
РСТ19 | 1,5083 | 2,03 |
РСТ20 | 1,5174 | 2,90 |
РСТ21 | 1,5550 | 0,65 |
РСТ22 | 1,5733 | 0,58 |
РСТ23 | 1,5829 | 0,90 |
РСТ24 | 1,6091 | 0,80 |
Библиография
[1] | Council Directive 96/59/EC on disposal of polychlorinated biphenyls and polychlorinated terphenyls (PCB/PCT), 16 September 1996 |
[2] | EN ISO 4259:1995, Petroleum products - Determination and application of precision data in relation to methods of test (ISO 4259:1992/Cor. 1:1993) |
[3] | EN 61619:1997, Insulating liquids - Contamination by polychlorinated biphenyls (PCBs) - Method of determination by capillary column gas chromatography (IEC 61619:1997) |
[4] | Schultz, Petrick and Duinker, Complete Characterisation of PCB congeners in Commercial Aroclor and Clophen Mixtures by Multidimensional GC - ECD: Environ Sci Technol., Vol 23 (7) 1989 |
Приложение ДА (справочное). Сведения о соответствии межгосударственных стандартов ссылочным стандартам
Приложение ДА
(справочное)
Таблица ДА.1 - Сведения о соответствии межгосударственных стандартов ссылочным стандартам
Обозначение и наименование ссылочного стандарта | Степень соответствия | Обозначение и наименование соответствующего межгосударственного стандарта |
EN 12766-1:2000 Нефтепродукты и отработанные масла. Определение PCB и родственных соединений. Часть 1. Разделение и определение выделенных родственных PCB газовой хроматографией (GC) с использованием электронозахватного детектора (ECD) | IDT | ГОСТ EN 12766-1-2014 Нефтепродукты и отработанные масла. Определение полихлорированных бифенилов (PCB) и родственных соединений. Часть 1. Разделение и определение выделенных родственных PCB методом газовой хроматографии (GC) с использованием электронозахватного детектора (ECD) |
EN 12766-2:2001 Нефтепродукты и отработанные масла. Определение PCB и родственных соединений. Часть 2. Определение содержания полихлорированных бифенилов (PCB) | IDT | ГОСТ EN 12766-2-2014 Нефтепродукты и отработанные масла. Определение полихлорированных бифенилов (PCB) и родственных соединений. Часть 2. Определение содержания PCB |
ISO 3696:1987 Вода, используемая для лабораторного анализа. Спецификация и методы испытаний | IDT | ГОСТ ISO 3696-2013 Вода для лабораторного анализа. Технические требования и методы контроля |
Примечание - В настоящей таблице использовано следующее условное обозначение степени соответствия стандартов: | ||
УДК 665.7:543.544.32:006.354 | МКС 75.080 | IDT |
75.100 | ||
Ключевые слова: нефтепродукты, отработанные масла, определение полихлорированных бифенилов (PCB) и родственных соединений, определение полихлорированных терфенилов (РСТ), определение полихлорированных бензилтолуолов (РСВТ), метод газовой хроматографии (GC), электронозахватный детектор (ECD) | ||
Электронный текст документа
подготовлен АО "Кодекс" и сверен по:
официальное издание
М.: Стандартинформ, 2015
Разместите заказ
сами сделают вам предложение


