ГОСТы сталей. ГОСТ 24030-80
ГОСТ 24030-80
Группа В62
МЕЖГОСУДАРСТВЕННЫЙ СТАНДАРТ
ТРУБЫ БЕСШОВНЫЕ ИЗ КОРРОЗИОННО-СТОЙКОЙ СТАЛИ
ДЛЯ ЭНЕРГОМАШИНОСТРОЕНИЯ
Технические условия
Corrosion-resistant steel seamless tubes for power engineering industry.
Specifications
МКС 23.040.10
ОКП 13 1600
Дата введения 1981-07-01
ИНФОРМАЦИОННЫЕ ДАННЫЕ
1. УТВЕРЖДЕН И ВВЕДЕН В ДЕЙСТВИЕ Постановлением Государственного комитета СССР по стандартам от 11.03.80 N 1100
2. ВВЕДЕН ВПЕРВЫЕ
3. ССЫЛОЧНЫЕ НОРМАТИВНО-ТЕХНИЧЕСКИЕ ДОКУМЕНТЫ
Обозначение НТД, на который дана ссылка | Номер пункта | |||
ГОСТ 1778-70 | 4.4 | |||
ГОСТ 2991-85 | 5.1.2 | |||
ГОСТ 3845-75 | 2.7, 4.9 | |||
ГОСТ 5632-72 | 2.1 | |||
ГОСТ 5639-82 | 4.5 | |||
ГОСТ 6032-89* | 4.6 | |||
______________ | ||||
ГОСТ 8694-75 | 4.8 | |||
ГОСТ 8695-75 | 4.7 | |||
ГОСТ 8828-89 | 5.1.2 | |||
ГОСТ 9569-79 | 5.1.2 | |||
ГОСТ 9940-81 | 2.11, 4.11 | |||
ГОСТ 9941-81 | 2.11, 4.11 | |||
ГОСТ 10006-80 | 4.10 | |||
ГОСТ 10198-91 | 5.1.2 | |||
ГОСТ 10692-80 | 3.1, 5.1 | |||
ГОСТ 17410-78 | 4.11 | |||
ГОСТ 19040-81 | 4.10 | |||
ГОСТ 24634-81 | 5.1.2 | |||
4. Ограничение срока действия снято по протоколу N 5-94 Межгосударственного совета по стандартизации, метрологии и сертификации (ИУС N 11-12-94)
5. ИЗДАНИЕ с Изменениями N 1, 2, 3, утвержденными в ноябре 1984 г., декабре 1985 г., ноябре 1989 г. (ИУС 2-85, 4-86, 2-90)
Настоящий стандарт распространяется на трубы из коррозионно-стойкой стали, применяемые для энергомашиностроения.
(Измененная редакция, Изм. N 3).
1. СОРТАМЕНТ
1. СОРТАМЕНТ
1.1. Размеры холодно- и теплодеформированных труб должны соответствовать указанным в табл.1, размеры горячедеформированных труб - в табл.2.
Таблица 1
На- | Длина мерных труб, м, не более, при толщине стенки в мм | |||||||||||||||||||||||||||||
1 | 1,2 | 1,4 | 1,5 | 1,8 | 2 | 2,2 | 2,5 | 2,8 | 3 | 3,2 | 3,5 | 4 | 4,5 | 5 | 5,5 | 6 | 6,5 | 7 | 7,5 | 8 | 8,5 | 9 | 9,5 | 10 | 11 | 12 | 14 | 16 | 18 | |
6 | 7 | 7 | 7 | 7 | - | - | - | - | - | - | - | - | - | - | - | - | - | - | - | - | - | - | - | - | - | - | - | - | - | - |
7 | 7 | 7 | 7 | 7 | - | - | - | - | - | - | - | - | - | - | - | - | - | - | - | - | - | - | - | - | - | - | - | - | - | - |
8 | 7 | 7 | 7 | 7 | 7 | 7 | - | - | - | - | - | - | - | - | - | - | - | - | - | - | - | - | - | - | - | - | - | - | - | - |
9 | 7 | 7 | 7 | 7 | 7 | 7 | - | - | - | - | - | - | - | - | - | - | - | - | - | - | - | - | - | - | - | - | - | - | - | - |
10 | 7 | 7 | 7 | 7 | 7 | 7 | 7 | 7 | - | - | - | - | - | - | - | - | - | - | - | - | - | - | - | - | - | - | - | - | - | - |
11 | 7 | 7 | 7 | 7 | 7 | 7 | 7 | 7 | - | - | - | - | - | - | - | - | - | - | - | - | - | - | - | - | - | - | - | - | - | - |
12 | 7 | 7 | 7 | 7 | 7 | 7 | 7 | 7 | - | - | - | - | - | - | - | - | - | - | - | - | - | - | - | - | - | - | - | - | - | - |
13 | 7 | 7 | 7 | 7 | 7 | 7 | 7 | 7 | - | - | - | - | - | - | - | - | - | - | - | - | - | - | - | - | - | - | - | - | - | - |
14 | 7 | 7 | 7 | 7 | 7 | 7 | 7 | 7 | 7 | 7 | - | - | - | - | - | - | - | - | - | - | - | - | - | - | - | - | - | - | - | - |
15 | 7 | 7 | 7 | 7 | 7 | 7 | 7 | 7 | 7 | 7 | - | - | - | - | - | - | - | - | - | - | - | - | - | - | - | - | - | - | - | - |
16 | 7 | 7 | 7 | 7 | 7 | 7 | 7 | 7 | 7 | 7 | - | - | - | - | - | - | - | - | - | - | - | - | - | - | - | - | - | - | - | - |
17 | 7 | 7 | 7 | 7 | 7 | 7 | 7 | 7 | 7 | 7 | - | - | - | - | - | - | - | - | - | - | - | - | - | - | - | - | - | - | - | - |
18 | 7 | 7 | 7 | 7 | 7 | 7 | 7 | 7 | 7 | 7 | 7 | 7 | - | - | - | - | - | - | - | - | - | - | - | - | - | - | - | - | - | - |
19 | 7 | 7 | 7 | 7 | 7 | 7 | 7 | 7 | 7 | 7 | 7 | 7 | - | - | - | - | - | - | - | - | - | - | - | - | - | - | - | - | - | - |
20 | 7 | 7 | 7 | 7 | 7 | 7 | 7 | 7 | 7 | 7 | 7 | 7 | 7 | - | - | - | - | - | - | - | - | - | - | - | - | - | - | - | - | - |
21 | 7 | 7 | 7 | 7 | 7 | 7 | 7 | 7 | 7 | 7 | 7 | 7 | 7 | - | - | - | - | - | - | - | - | - | - | - | - | - | - | - | - | - |
22 | 7 | 7 | 7 | 7 | 7 | 7 | 7 | 7 | 7 | 7 | 7 | 7 | 7 | - | - | - | - | - | - | - | - | - | - | - | - | - | - | - | - | - |
23 | 7 | 7 | 7 | 7 | 7 | 7 | 7 | 7 | 7 | 7 | 7 | 7 | 7 | - | - | - | - | - | - | - | - | - | - | - | - | - | - | - | - | - |
24 | 7 | 7 | 7 | 7 | 7 | 7 | 7 | 7 | 7 | 7 | 7 | 7 | 7 | - | - | - | - | - | - | - | - | - | - | - | - | - | - | - | - | - |
25 | 7 | 7 | 7 | 7 | 7 | 7 | 7 | 7 | 7 | 7 | 7 | 7 | 7 | 7 | - | - | - | - | - | - | - | - | - | - | - | - | - | - | - | - |
27 | 7 | 7 | 7 | 7 | 7 | 7 | 7 | 7 | 7 | 7 | 7 | 7 | 7 | 7 | - | - | - | - | - | - | - | - | - | - | - | - | - | - | - | - |
28 | 7 | 7 | 7 | 7 | 7 | 7 | 7 | 7 | 7 | 7 | 7 | 7 | 7 | 7 | - | - | - | - | - | - | - | - | - | - | - | - | - | - | - | - |
30 | 7 | 7 | 7 | 7 | 7 | 7 | 7 | 7 | 7 | 7 | 7 | 7 | 7 | 7 | 7 | 7 | - | - | - | - | - | - | - | - | - | - | - | - | - | - |
32 | 7 | 7 | 7 | 7 | 7 | 7 | 7 | 7 | 7 | 7 | 7 | 7 | 7 | 7 | 7 | 7 | - | - | - | - | - | - | - | - | - | - | - | - | - | - |
34 | 7 | 7 | 7 | 7 | 7 | 7 | 7 | 7 | 7 | 7 | 7 | 7 | 7 | 7 | 7 | 7 | - | - | - | - | - | - | - | - | - | - | - | - | - | - |
35 | 7 | 7 | 7 | 7 | 7 | 7 | 7 | 7 | 7 | 7 | 7 | 7 | 7 | 7 | 7 | 7 | - | - | - | - | - | - | - | - | - | - | - | - | - | - |
36 | 7 | 7 | 7 | 7 | 7 | 7 | 7 | 7 | 7 | 7 | 7 | 7 | 7 | 7 | 7 | 7 | - | - | - | - | - | - | - | - | - | - | - | - | - | - |
38 | 7 | 7 | 7 | 7 | 7 | 7 | 7 | 7 | 7 | 7 | 7 | 7 | 7 | 7 | 7 | 7 | 7 | - | - | - | - | - | - | - | - | - | - | - | - | - |
40 | - | 7 | 7 | 7 | 7 | 7 | 7 | 7 | 7 | 7 | 7 | 7 | 7 | 7 | 7 | 7 | 7 | - | - | - | - | - | - | - | - | - | - | - | - | - |
42 | - | 7 | 7 | 7 | 7 | 7 | 7 | 7 | 7 | 7 | 7 | 7 | 7 | 7 | 7 | 7 | 7 | - | - | - | - | - | - | - | - | - | - | - | - | - |
45 | - | 7 | 7 | 7 | 7 | 7 | 7 | 7 | 7 | 7 | 7 | 7 | 7 | 7 | 7 | 7 | 7 | - | - | - | - | - | - | - | - | - | - | - | - | - |
48 | - | - | 7 | 7 | 7 | 7 | 7 | 7 | 7 | 7 | 7 | 7 | 7 | 7 | 7 | 7 | 7 | 7 | 7 | 7 | - | - | - | - | - | - | - | - | - | - |
50 | - | - | 7 | 7 | 7 | 7 | 7 | 7 | 7 | 7 | 7 | 7 | 7 | 7 | 7 | 7 | 7 | 7 | 7 | 7 | - | - | - | - | - | - | - | - | - | - |
51 | - | - | 7 | 7 | 7 | 7 | 7 | 7 | 7 | 7 | 7 | 7 | 7 | 7 | 7 | 7 | 7 | 7 | 7 | 7 | - | - | - | - | - | - | - | - | - | - |
53 | - | - | 7 | 7 | 7 | 7 | 7 | 7 | 7 | 7 | 7 | 7 | 7 | 7 | 7 | 7 | 7 | 7 | 7 | 7 | - | - | - | - | - | - | - | - | - | - |
54 | - | - | 7 | 7 | 7 | 7 | 7 | 7 | 7 | 7 | 7 | 7 | 7 | 7 | 7 | 7 | 7 | 7 | 7 | 7 | - | - | - | - | - | - | - | - | - | - |
56 | - | - | - | 7 | 7 | 7 | 7 | 7 | 7 | 7 | 7 | 7 | 7 | 7 | 7 | 7 | 7 | 7 | 7 | 7 | - | - | - | - | - | - | - | - | - | - |
57 | - | - | - | 7 | 7 | 7 | 7 | 7 | 7 | 7 | 7 | 7 | 7 | 7 | 7 | 7 | 7 | 7 | 7 | 7 | - | - | - | - | - | - | - | - | - | - |
60 | - | - | - | - | 7 | 7 | 7 | 7 | 7 | 7 | 7 | 7 | 7 | 7 | 7 | 7 | 7 | 7 | 7 | 7 | 7 | 7 | - | - | - | - | - | - | - | - |
63 | - | - | - | - | 7 | 7 | 7 | 7 | 7 | 7 | 7 | 7 | 7 | 7 | 7 | 7 | 7 | 7 | 7 | 7 | 7 | 7 | - | - | - | - | - | - | - | - |
65 | - | - | - | - | 7 | 7 | 7 | 7 | 7 | 7 | 7 | 7 | 7 | 7 | 7 | 7 | 7 | 7 | 7 | 7 | 7 | 7 | - | - | - | - | - | - | - | - |
68 | - | - | - | - | 7 | 7 | 7 | 7 | 7 | 7 | 7 | 7 | 7 | 7 | 7 | 7 | 7 | 7 | 7 | 7 | 7 | 7 | - | - | - | - | - | - | - | - |
70 | - | - | - | - | 7 | 7 | 7 | 7 | 7 | 7 | 7 | 7 | 7 | 7 | 7 | 7 | 7 | 7 | 7 | 7 | 7 | 7 | - | - | - | - | - | - | - | - |
73 | - | - | - | - | 7 | 7 | 7 | 7 | 7 | 7 | 7 | 7 | 7 | 7 | 7 | 7 | 7 | 7 | 7 | 7 | 7 | 7 | - | - | - | - | - | - | - | - |
75 | - | - | - | - | 7 | 7 | 7 | 7 | 7 | 7 | 7 | 7 | 7 | 7 | 7 | 7 | 7 | 7 | 7 | 7 | 7 | 7 | - | - | - | - | - | - | - | - |
76 | - | - | - | - | - | - | - | - | - | 7 | 7 | 7 | 7 | 7 | 7 | 7 | 7 | 7 | 7 | 7 | 7 | 7 | - | - | - | - | - | - | - | - |
80 | - | - | - | - | - | - | - | - | - | 7 | 7 | 7 | 7 | 7 | 7 | 7 | 7 | 7 | 7 | 7 | 7 | 7 | - | - | - | - | - | - | - | - |
83 | - | - | - | - | - | - | - | - | - | 7 | 7 | 7 | 7 | 7 | 7 | 7 | 7 | 7 | 7 | 7 | 7 | 7 | - | - | - | - | - | - | - | - |
85 | - | - | - | - | - | - | - | - | - | 7 | 7 | 7 | 7 | 7 | 7 | 7 | 7 | 7 | 7 | 7 | 7 | 7 | - | - | - | - | - | - | - | - |
89 | - | - | - | - | - | - | - | - | - | 7 | 7 | 7 | 7 | 7 | 7 | 7 | 7 | 7 | 7 | 7 | 7 | 7 | - | - | - | - | - | - | - | - |
90 | - | - | - | - | - | - | - | - | - | 7 | 7 | 7 | 7 | 7 | 7 | 7 | 7 | 7 | 7 | 7 | 7 | 7 | - | - | - | - | - | - | - | - |
95 | - | - | - | - | - | - | - | - | - | 7 | 7 | 7 | 7 | 7 | 7 | 7 | 7 | 7 | 7 | 7 | 7 | 7 | 7 | 7 | 7 | - | - | - | - | - |
100 | - | - | - | - | - | - | - | - | - | 7 | 7 | 7 | 7 | 7 | 7 | 7 | 7 | 7 | 7 | 7 | 7 | 7 | 7 | 7 | 7 | - | - | - | - | - |
102 | - | - | - | - | - | - | - | - | - | 7 | 7 | 7 | 7 | 7 | 7 | 7 | 7 | 7 | 7 | 7 | 7 | 7 | 7 | 7 | 7 | - | - | - | - | - |
108 | - | - | - | - | - | - | - | - | - | 7 | 7 | 7 | 7 | 7 | 7 | 7 | 7 | 7 | 7 | 7 | 7 | 7 | 7 | 7 | 7 | - | - | - | - | - |
110 | - | - | - | - | - | - | - | - | - | - | - | 7 | 7 | 7 | 7 | 7 | 7 | 7 | 7 | 7 | 7 | 7 | 7 | 7 | 7 | 7 | - | - | - | - |
114 | - | - | - | - | - | - | - | - | - | - | - | - | - | - | - | - | 7 | 7 | 7 | 7 | 7 | 7 | 7 | 7 | 7 | 7 | - | - | - | - |
120 | - | - | - | - | - | - | - | - | - | - | - | 7 | 7 | 7 | 7 | 7 | 7 | 7 | 7 | 7 | 7 | 7 | 7 | 7 | 7 | 7 | 7 | - | - | - |
121 | - | - | - | - | - | - | - | - | - | - | - | - | - | - | 7 | 7 | 7 | 7 | 7 | 7 | 7 | - | - | - | - | - | - | - | - | - |
127 | - | - | - | - | - | - | - | - | - | - | - | - | - | - | 7 | 7 | 7 | 7 | 7 | 7 | 7 | - | - | - | - | - | - | - | - | - |
130 | - | - | - | - | - | - | - | - | - | - | - | 7 | 7 | 7 | 7 | 7 | 7 | 7 | 7 | 7 | 7 | 7 | 7 | 7 | 7 | 6,5 | 6,5 | - | - | - |
133 | - | - | - | - | - | - | - | - | - | - | - | - | - | - | 7 | 7 | 7 | 7 | 7 | 7 | 7 | - | - | - | - | - | - | - | - | - |
140 | - | - | - | - | - | - | - | - | - | - | - | 7 | 7 | 7 | 7 | 7 | 7 | 7 | 7 | 7 | 7 | 7 | 7 | 7 | 7 | 6,5 | 6,5 | - | - | - |
146 | - | - | - | - | - | - | - | - | - | - | - | - | - | - | 7 | 7 | 7 | 7 | 7 | 7 | 7 | - | - | - | - | - | - | - | - | - |
150 | - | - | - | - | - | - | - | - | - | - | - | 7 | 7 | 7 | 7 | 7 | 7 | 7 | 7 | 7 | 7 | 7 | 7 | 7 | 7 | 7 | 6,5 | 6 | 4,5 | 4 |
152 | - | - | - | - | - | - | - | - | - | - | - | - | - | - | - | - | 7 | 7 | 7 | 7 | 7 | 7 | 7 | 7 | 7 | 7 | 6,5 | 6 | 4,5 | 4 |
159 | - | - | - | - | - | - | - | - | - | - | - | - | - | - | 7 | 7 | 7 | 7 | 7 | 7 | 7 | - | - | - | - | - | - | - | - | - |
160 | - | - | - | - | - | - | - | - | - | - | - | - | 7 | 7 | 7 | 7 | 7 | 7 | 7 | 7 | 7 | 7 | 7 | 7 | 7 | 7 | 7 | 6,5 | 4,5 | 4,5 |
170 | - | - | - | - | - | - | - | - | - | - | - | - | 7 | 7 | 7 | 7 | 7 | 7 | 7 | 7 | 7 | 7 | 7 | 7 | 7 | 6,5 | 6,5 | 6 | 4 | 4 |
180 | - | - | - | - | - | - | - | - | - | - | - | - | 7 | 7 | 7 | 7 | 7 | 7 | 7 | 7 | 7 | 7 | 7 | 7 | 7 | 7 | 6 | 6 | 4,5 | 4 |
194 | - | - | - | - | - | - | - | - | - | - | - | - | - | - | - | - | 7 | 7 | 7 | 7 | 7 | 7 | 7 | 7 | 7 | 7 | 6 | 6 | - | - |
200 | - | - | - | - | - | - | - | - | - | - | - | - | 7 | 7 | 7 | 7 | 7 | 7 | 7 | 7 | 7 | 7 | 7 | 7 | 7 | 7 | 7 | 6,5 | - | - |
220 | - | - | - | - | - | - | - | - | - | - | - | - | 7 | 7 | 7 | 7 | 7 | 7 | 7 | 7 | 7 | 7 | 7 | 7 | 6,5 | 6,5 | 6 | 6 | - | - |
250 | - | - | - | - | - | - | - | - | - | - | - | - | 7 | 7 | 7 | 7 | 7 | 7 | 7 | 7 | 7 | 7 | 7 | 7 | 6,5 | - | - | - | - | - |
273 | - | - | - | - | - | - | - | - | - | - | - | - | - | - | - | - | 6,5 | 6,5 | 6 | 6 | 5,5 | 5,5 | 5 | 5 | 5 | 4 | 4 | - | - | - |
Таблица 2
На- | Длина мерных труб, м, не более, при толщине стенки, мм | |||||||||||||||||||||||||
5 | 5,5 | 6 | 6,5 | 7 | 7,5 | 8 | 8,5 | 9 | 9,5 | 10 | 11 | 12 | 13 | 14 | 15 | 16 | 17 | 18 | 19 | 20 | 22 | 24 | 25 | 26 | 28 | |
76 | 5,8 | 5,8 | 5,8 | 5,8 | 5,8 | 5,8 | 5,8 | 5,8 | 5,8 | 5,8 | 5,8 | - | - | - | - | - | - | - | - | - | - | - | - | - | - | - |
83 | 5,8 | 5,8 | 5,8 | 5,8 | 5,8 | 5,8 | 5,8 | 5,8 | 5,8 | 5,8 | 5,8 | - | - | - | - | - | - | - | - | - | - | - | - | - | - | - |
89 | 5,8 | 5,8 | 5,8 | 5,8 | 5,8 | 5,8 | 5,8 | 5,8 | 5,8 | 5,8 | 5,8 | 5 | 5 | 4 | 4 | - | - | - | - | - | - | - | - | - | - | - |
95 | 5,8 | 5,8 | 5,8 | 5,8 | 5,8 | 5,8 | 5,8 | 5,8 | 5,8 | 5,8 | 5,8 | 5 | 5 | 4 | 4 | - | - | - | - | - | - | - | - | - | - | - |
102 | 5,8 | 5,8 | 5,8 | 5,8 | 5,8 | 5,8 | 5,8 | 5,8 | 5,8 | 5,8 | 5,8 | 5 | 5 | 4 | 4 | 4 | 4 | 4 | 4 | - | - | - | - | - | - | - |
108 | 5,8 | 5,8 | 5,8 | 5,8 | 5,8 | 5,8 | 5,8 | 5,8 | 5,8 | 5,8 | 5,8 | 5 | 5 | 4 | 4 | 4 | 4 | 4 | 4 | - | - | - | - | - | - | - |
114 | 5,8 | 5,8 | 5,8 | 5,8 | 5,8 | 5,8 | 5,8 | 5,8 | 5,8 | 5,8 | 5,8 | 5 | 5 | 4 | 4 | 4 | 4 | 4 | 4 | - | - | - | - | - | - | - |
121 | - | - | - | - | - | - | - | 5,8 | 5,8 | 5,8 | 5,8 | 5,5 | 5,5 | 5,5 | 5 | 5 | 5 | 4 | 4 | 4 | 4 | 3 | - | - | - | - |
127 | - | - | - | - | - | - | - | 5,8 | 5,8 | 5,8 | 5,8 | 5,5 | 5,5 | 5,5 | 5 | 5 | 5 | 5 | 4,5 | 4,5 | 4 | 3 | - | - | - | - |
133 | - | - | - | - | - | - | - | 5,8 | 5,8 | 5,8 | 5,8 | 5,5 | 5,5 | 5,5 | 5 | 5 | 5 | 5 | 4,5 | 4,5 | 4 | 3 | - | - | - | - |
140 | - | - | - | - | - | - | - | 5,8 | 5,8 | 5,8 | 5,8 | 5,5 | 5,5 | 5,5 | 5 | 5 | 5 | 5 | 4,5 | 4,5 | 4 | 3 | - | - | - | - |
146 | - | - | - | - | - | - | - | 5 | 5 | 5 | 5 | 5 | 5 | 5 | 5 | 5 | 5 | 5 | 5 | 5 | 4,5 | 4,5 | - | - | - | - |
152 | - | - | - | - | - | - | - | 5 | 5 | 5 | 5 | 5 | 5 | 5 | 5 | 5 | 5 | 5 | 5 | 5 | 4,5 | 4,5 | - | - | - | - |
159 | - | - | - | - | - | - | - | 5 | 5 | 5 | 5 | 5 | 5 | 5 | 5 | 5 | 5 | 5 | 5 | 5 | 4,5 | 4,5 | - | 4,5 | - | - |
168 | - | - | - | - | 5 | 5 | 5 | 5 | 5 | 5 | 5 | 5 | 5 | 5 | 5 | 5 | 5 | 5 | 5 | 5 | 4,5 | 4,5 | - | - | - | - |
180 | - | - | - | - | - | - | 5 | 5 | 5 | 5 | 5 | 5 | 5 | 5 | 5 | 5 | 5 | 5 | 5 | 5 | 4,5 | 4,5 | 4,5 | 4,0 | 3,5 | 3,5 |
194 | - | - | - | - | - | - | 5 | 5 | 5 | 5 | 5 | 5 | 5 | 5 | 5 | 5 | 5 | 5 | 5 | 5 | 4,5 | 4,5 | 4,5 | 4 | 3,5 | 3,5 |
219 | - | - | - | - | - | - | - | - | - | - | 5 | 5 | 5 | 5 | 5 | 5 | 5 | 5 | 5 | 5 | - | - | - | 4,5 | - | - |
245 | - | - | - | - | - | - | - | - | - | - | - | 5 | 5 | 5 | 5 | 5 | 5 | 5 | 5 | 5 | - | - | - | - | - | - |
273 | - | - | - | - | - | - | - | - | - | - | - | 5 | 5 | 5 | 5 | 5 | 5 | 5 | 5 | - | 4,5 | - | - | - | - | - |
325 | - | - | - | - | - | - | - | - | - | - | - | - | 5 | 5 | 5 | 5 | 5 | - | - | - | - | - | - | - | - | - |
1.2. По длине трубы подразделяются, как указано в пп.1.2.1; 1.2.2.
1.2.1. Холодно- и теплодеформированные:
мерной длины - не более длины, указанной в табл.1; по согласованию изготовителя с потребителем трубы изготовляют длиной до 12,5 м;
длины, кратной мерной, - в пределах мерной длины с припуском на каждый рез по 5 мм и предельным отклонением по всей длине +15 мм;
немерной длины - от 1,5 до 8 м; по согласованию изготовителя с потребителем трубы изготовляют длиной до 12,5 м. По согласованию изготовителя с потребителем трубы диаметром до 25 мм изготовляют длиной до 16 м.
1.2.2. Горячедеформированные:
мерной длины - не более указанной в табл.2;
немерной длины - от 1,5 до 7 м; по согласованию изготовителя с потребителем трубы изготовляют длиной более 7 м;
длины, кратной мерной, - в пределах мерной длины с припуском на каждый рез по 5 мм и предельным отклонением по всей длине +15 мм.
1.2.1, 1.2.2. (Измененная редакция, Изм. N 2).
1.3. В партии немерных труб допускается не более 15% труб, в метрах, длиной до 1,5 м, но не менее 0,75 м для горячедеформированных труб и 0,5 м - для холодно- и теплодеформированных.
1.4. Предельные отклонения наружного диаметра труб указаны в табл.3, толщины стенки - в табл.4.
Таблица 3
Наружный диаметр, мм | Предельные отклонения, не более |
От 6 до 15 включ. | ±0,20 мм |
" 16 " 30 " | ±0,25 мм |
" 31 " 50 " | ±0,40 мм |
" 51 " 68 " | ±0,80% |
" 70 " 325 " | ±1,25% |
Примечание. По требованию потребителя для труб диаметром 146-273 мм предельные отклонения по наружному диаметру не должны превышать ±1,0%.
Таблица 4
Толщина стенки, мм | Предельные отклонения, %, |
От 1 до 1,8 включ. | ±15 |
От 2 до 5 включ. - для труб диаметром до 100 мм включ. | ±10 |
От 2 до 5 включ. - для труб диаметром св. 100 мм | ±12,5 |
Св. 5 |
(Измененная редакция, Изм. N 2).
1.5. По требованию потребителя трубы изготовляют размерами и с предельными отклонениями, указанными в табл.5.
Таблица 5
Наружный диаметр, мм | Предельные отклонения, не более | Толщина стенки, мм | Предельные отклонения, %, |
13 | ±0,2 мм | 1,5 | ±12,5 |
14 | 1,8 | +12,5 | |
18 | 2,5 | ±12,5 | |
19 | 1,5 | ||
40 | ±1,0% | 3,0 | |
76 | ±1,25% | 12,0 | ±10,0 |
89 | 4,5 | ±12,5 | |
96 | 5,0 | ||
108 | 11,0 | +12,5 | |
108 | 13,0 | ±10,0 | |
121 | 5,5 | ||
127 | ±1,0% | 14,0 | |
140 | 15,0 | +12,5 | |
180 | 17,0 | ±12,5 | |
219 | 24,5 | +20,0 |
1.6. Кривизна трубы на любом участке длиной 1 м не должна превышать:
для холодно- и теплодеформированных труб - 1 мм;
для горячедеформированных труб:
1,5 мм - при толщине стенки до 10 мм включительно;
2,0 мм - при толщине стенки св. 10 до 20 мм включительно;
4,0 мм - при толщине стенки св. 20 мм.
Примеры условных обозначений труб
Труба холодно- и теплодеформированная, группы А, диаметром 76 мм с толщиной стенки 5 мм, немерная, из стали марки 08Х18Н10Т:
Труба АХ 76х5 - 08Х18Н10Т ГОСТ 24030-80
То же, группы Б, кратная 1,5 м:
Труба БХ 76х5х1500 кр - 08Х18Н10Т ГОСТ 24030-80
То же, горячедеформированная, группы А, мерная, длиной 3 м:
Труба АГ 76х5х3000 - 08Х18Н10Т ГОСТ 24030-80
2. ТЕХНИЧЕСКИЕ ТРЕБОВАНИЯ
2.1. Трубы должны изготовляться в соответствии с требованиями настоящего стандарта и по технологическому регламенту, утвержденному в установленном порядке, из стали марки 08Х18Н10Т с массовой долей элементов, в процентах: углерода, марганца, кремния, соответственно, не более - 0,08, 1,5, 0,8; хрома 17,0-19,0; никеля 10,0-11,0; титана - 5хС-0,6; серы, фосфора, азота, соответственно, не более - 0,020, 0,035, 0,05.
Трубы изготовляют из деформированной заготовки.
Примечание. Содержание остаточных элементов - в соответствии с ГОСТ 5632.
(Измененная редакция, Изм. N 1).
2.2. Содержание нитридов и карбонитридов строчечных не должно превышать (по максимальному баллу):
2,5 балла - для труб диаметром 76 мм и менее;
3,5 балла - для труб диаметром более 76 мм.
Равномерно распределенные включения баллом не ограничиваются.
Содержание неметаллических включений (по максимальному баллу) не должно превышать:
3 балла - оксиды и силикаты;
1 балл - сульфиды;
2 балла - силикаты недеформирующиеся.
2.3. Величина зерна металла готовых труб должна быть не крупнее:
5 балла - для труб диаметром 76 мм и менее;
4 балла - для труб диаметром более 76 мм.
Для горячедеформированных труб с толщиной стенки 15 мм и более допускается изготовлять трубы с величиной зерна не крупнее 3 балла.
2.4. Трубы не должны быть склонны к межкристаллитной коррозии.
2.5. На трубах не должно быть трещин и надрывов при сплющивании.
2.6. На трубах не должно быть трещин и надрывов при раздаче.
2.7. Трубы должны выдерживать гидравлическое давление () в соответствии с требованиями ГОСТ 3845. При этом величина
принимается равной 40% от временного сопротивления разрыву для данной марки стали.
Способность труб выдерживать гидравлическое давление обеспечивается технологией производства.
2.8. Концы труб должны быть обрезаны под прямым углом и зачищены от заусенцев.
2.9. Трубы должны быть термически обработанными (аустенизированными) и правленными.
(Измененная редакция, Изм. N 1).
2.10. Механические свойства труб должны соответствовать указанным в табл.6.
Таблица 6
Наружный диаметр, мм | Предел текучести после термической обработки | Временное сопротивление разрыву | Относительное удлинение | Предел текучести |
при 623 К (350 °С) | при 293 К (20 °С) | при 623 К (350 °С) | ||
Не менее | ||||
Группа А | ||||
До 76 включ. | 176-323 (18-33) |
|
| 176-343 (18-35) |
Св. 76 | - | 176-333 (18-34) | ||
Группа Б | ||||
До 76 включ. | Не менее 147 (15) |
|
|
|
Св. 76 | - | |||
Примечания:
1. Для готовых труб групп А и Б с толщиной стенки более 15 мм временное сопротивление разрыву должно быть не менее 490 МПа (50 кгс/мм).
2. Относительное удлинение, определяемое на патрубках диаметром менее 18 мм для групп А и Б, должно быть не менее 35%.
2.11. По требованию потребителя поверхность труб должна быть:
а) электрохимполированная наружная;
б) электрохимполированная наружная и внутренняя;
в) электрохимполированная внутренняя;
г) механически обработанная или шлифованная наружная;
д) светлая после травления;
е) светлая после термической обработки в безокислительной атмосфере;
ж) механически обработанная внутренняя (для горячедеформированных труб).
По требованию потребителя трубы, термически обработанные в безокислительной атмосфере, могут изготовляться без механической обработки, шлифовки, травления и электрохимполировки, если качество поверхности труб удовлетворяет требованиям настоящего стандарта.
С внутренней электрохимполированной поверхностью изготовляют трубы внутренним диаметром 10 мм и более.
Для труб, применяемых для дальнейшего предела, по требованию потребителя допускается изготовление с поверхностью в соответствии с ГОСТ 9940 для горячедеформированных и ГОСТ 9941 для холоднодеформированных труб.
(Измененная редакция, Изм. N 1, 2).
2.12. Наружная и внутренняя поверхности готовых труб должны быть чистыми и не иметь трещин, плен, рванин, надрывов, закатов, местных контактных проплавлений, травильной сыпи.
На наружной и внутренней поверхностях допускаются шероховатость, риски и задиры, рябизна, цвета побежалости, отдельные царапины, пологие вмятины, а также следы зачистки, расточки и обточки; при этом толщина стенки не должна быть меньше допустимых минимальных значений. Места зачистки дефектов должны быть обработаны до чистоты, соответствующей остальной поверхности труб, с проверкой на полноту удаления дефектов.
На наружной поверхности допускаются поперечные риски от шлифовального камня.
На внутренней поверхности электрохимполированных труб допускаются матовые полоски, вызванные скоплениями нитридов и карбонитридов титана.
2.13. Качество наружной и внутренней поверхности должно соответствовать образцам, согласованным изготовителем и потребителем.
3. ПРАВИЛА ПРИЕМКИ
3.1. Трубы принимают партиями. Партия должна состоять из труб одного размера и одного режима термической обработки, а по требованию потребителя - одной плавки и быть оформлена одним документом о качестве - по ГОСТ 10692 со следующим дополнением:
химический состав стали и содержание неметаллических включений - по документу о качестве на трубную заготовку;
режим термической обработки.
Количество труб в партии не более 400 шт.
3.2. Контролю наружной поверхности, размеров, наличия дефектов в металле, гидравлическим давлением, на склонность к межкристаллитной коррозии, а также труб группы А на величину зерна и на растяжение при 623 К (350 °С) готовых труб подвергают каждую трубу.
Контролю внутренней поверхности подвергают:
каждую трубу внутренним диаметром 10 мм и более;
2% труб внутренним диаметром менее 10 мм.
3.1, 3.2. (Измененная редакция, Изм. N 1).
3.3. Для контроля качества труб от партии отбирают:
3 трубы - на сплющивание и раздачу.
При этом для труб группы Б допускается определение объема испытаний на основе статистических методов.
Группа А:
10% - на растяжение при 623 К (350 °С) труб диаметром до 76 мм после термической обработки;
5% - на растяжение при 293 К (20 °С);
3% - на нитриды и карбонитриды титана.
Группа Б:
10% - на величину зерна;
5% - на растяжение при 623 К (350 °С) готовых труб, а также термически обработанных труб диаметром до 76 мм включительно;
2% - на растяжение при 293 К (20 °С);
1% - на нитриды и карбонитриды титана.
Примечания:
1. В случае ультразвукового контроля величины зерна проводится дополнительный металлографический контроль на 5% труб от партии.
2. В случае контроля труб методом твердости проводят дополнительный контроль методом растяжения на 3% труб от партии.
3.4. При получении неудовлетворительных результатов испытаний хотя бы по одному из показателей по нему проводят повторное испытание на удвоенном количестве труб, отобранных от той же партии.
Результаты повторного испытания распространяются на всю партию.
4. МЕТОДЫ ИСПЫТАНИЙ
4.1. Для контроля качества от каждой отобранной трубы отрезают по одному образцу.
4.2. Осмотр наружной и внутренней поверхности труб проводят без применения увеличительных приборов.
Для труб внутренним диаметром 10 мм и более осмотр проводят перископом с двух концов на длину 4,2 м.
Для труб внутренним диаметром менее 10 мм осмотр проводят на разрезанных образцах длиной 200 мм. Образцы отрезают с двух концов трубы.
4.3. Измерение размеров труб проводят измерительным инструментом, обеспечивающим необходимую точность измерения.
Допускается контролировать толщину стенки труб ультразвуковым методом по нормативно-технической документации.
4.4. Контроль нитридных включений проводят для труб с толщиной стенки 2 мм и более по методу Ш3 или Ш6 по ГОСТ 1778 на продольных шлифах. Для труб с толщиной стенки менее 2 мм контроль проводят по нормативно-технической документации.
(Измененная редакция, Изм. N 2).
4.5. Определение величины зерна металлографическим методом проводят по ГОСТ 5639.
Определение величины зерна ультразвуковым методом проводят по нормативно-технической документации. В случае разногласий в оценке качества используют металлографический метод.
4.6. Проверку склонности к межкристаллитной коррозии проводят по методу AM ГОСТ 6032. Допускается проводить проверку по методу АМУ; в случае разногласий в оценке качества проверка проводится по методу AM ГОСТ 6032.
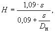
4.7. Испытание на сплющивание проводят на трубах с толщиной стенки не более 9 мм по ГОСТ 8695 до получения между сплющивающими поверхностями расстояния () в миллиметрах, вычисляемого по формуле

где - номинальная толщина стенки трубы, мм;
- номинальный наружный диаметр трубы, мм.
4.8. Испытание на раздачу проводят на трубах диаметром до 40 мм по ГОСТ 8694 оправкой с углом конусности 30° на величину, равную 10% первоначального диаметра.
4.9. Испытание гидравлическим давлением проводят по ГОСТ 3845 с выдержкой труб под давлением не менее 10 с.
4.10. Испытание на растяжение проводят при 293 К (20 °С) по ГОСТ 10006, при 623 К (350 °С) - по ГОСТ 19040. Скорость перемещения подвижного захвата не более 10 мм/мин, в случае разногласий в оценке качества - 4 мм/мин. Допускается превышение скорости испытаний до 40 мм/мин после достижения предела текучести.
Контроль механических свойств допускается проводить методом твердости по технической документации, согласованной в установленном порядке.
4.11. Контроль наличия дефектов в металле труб проводят ультразвуковым методом по ГОСТ 17410 и технической документации.
Ультразвуковой контроль проводят при настройке аппаратуры на искусственные дефекты, нанесенные на наружную и внутреннюю поверхности испытательного образца и имеющие глубину от номинальной толщины стенки:
(4,5±0,5)% (группа А) и (7±0,5)% (группа Б) для труб диаметром более 10 мм с отношением диаметра к толщине стенки более или равном 5;
10% для труб диаметром 10 мм и менее с отношением диаметра к толщине стенки более или равном 5 (группы А и Б) и труб с поверхностью в соответствии с ГОСТ 9940 и ГОСТ 9941.
Для труб с отношением диаметра к толщине стенки менее 5 ультразвуковой контроль проводят на трубах, у которых отношение диаметра к толщине стенки 5 и более; настройка аппаратуры осуществляется на соответствующую глубину риски (4,5; 7 или 10%). Ультразвуковому контролю могут подвергаться готовые трубы при настройке аппаратуры на искусственный дефект глубиной 10%.
5. МАРКИРОВКА, УПАКОВКА, ТРАНСПОРТИРОВАНИЕ И ХРАНЕНИЕ
5.1. Маркировку, упаковку, транспортирование и хранение проводят по ГОСТ 10692 со следующими дополнениями.
5.1.1. Каждая труба диаметром 20 мм и более с толщиной стенки 2,5 мм и более должна иметь клейма на расстоянии не более 50 мм от конца или на торце: товарного знака завода-изготовителя, марки стали, группы изготовления (А или Б), номера партии, номера трубы.
Трубы диаметром менее 20 мм с толщиной стенки менее 2,5 мм клеймят номером трубы и группой (А или Б). На маркированном участке трубы допускается искажение профиля. Качество поверхности на участке клеймения не определяется. Величина маркированной части трубы входит в общую длину трубы.
(Измененная редакция, Изм. N 1).
5.1.2. Трубы должны быть переложены бумагой по ГОСТ 8828 или ГОСТ 9569, упакованы в ящики по ГОСТ 10198 или по ГОСТ 2991, или ГОСТ 24634.
Допускается упаковка труб с поверхностью без наружной полировки в решетчатые ящики по ГОСТ 10198 или по ГОСТ 2991 или ГОСТ 24634, или в другую упаковку по нормативно-технической документации.
Допускается укладка в один ящик по ГОСТ 10198 или по ГОСТ 2991, или ГОСТ 24634 нескольких пакетов или труб различных типоразмеров при условии их разделения.
По согласованию изготовителя с потребителем трубы без наружной полировки поставляются без упаковки в ящики или решетчатые ящики.
(Измененная редакция, Изм. N 1, 2).
Текст документа сверен по:
официальное издание
Трубы металлические и соединительные части к ним.
Часть 1. Трубы бесшовные гладкие: Сб. ГОСТов. -
М.: ИПК Издательство стандартов, 2004
Разместите заказ
сами сделают вам предложение
